Cu(OH)2 and CuO Nanorod Synthesis on Piezoresistive Cantilevers for the Selective Detection of Nitrogen Dioxide
Abstract
:1. Introduction
2. Materials and Methods
2.1. Growth of CuO Nanorods on the Piezoresistive Cantilevers
2.2. Explosives and Volatile Organic Compounds Detection
3. Results and Discussion
3.1. Piezoresistive Cantilevers Covered with CuO Nanorods
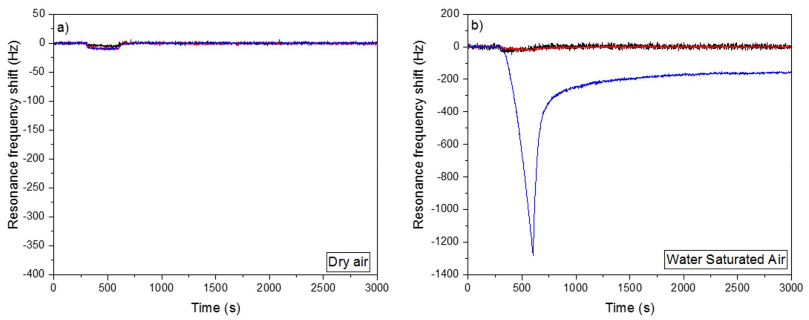
3.2. Detection Results
4. Conclusions
Acknowledgments
Author Contributions
Conflicts of Interest
References
- Barnes, J.R.; Stephenson, R.J.; Welland, M.E.; Gerber, C.; Gimzewski, J.K. Photothermal spectroscopy with femtojoule sensitivity using a micromechanical device. Nature 1994, 372, 79–81. [Google Scholar] [CrossRef]
- Chen, G.Y.; Thundat, T.; Wachter, E.A.; Warmack, R.J. Adsorption induced surface stress and its effects on resonance frequency of microcantilevers. J. Appl. Phys. 1995, 77, 3618–3622. [Google Scholar] [CrossRef]
- Pinnaduwage, L.A.; Tian, D.; Yi, F.; Thundat, T.; Lareau, R.T. Adsorption of trinitrotoluene on uncoated silicon microcantilever surfaces. Langmuir 2004, 20, 2690–2694. [Google Scholar] [CrossRef] [PubMed]
- Cottineau, T.; Pronkin, S.N.; Acosta, M.; Mény, C.; Spitzer, D.; Keller, V. Synthesis of vertically aligned titanium dioxide nanotubes on microcantilevers for new nanostructured micromechanical sensors for explosive detection. Sens. Actuators B Chem. 2013, 182, 489–497. [Google Scholar] [CrossRef]
- Maute, M.; Raible, S.; Prins, F.E.; Kern, D.P.; Ulmer, H.; Weimar, U.; Göpel, W. Detection of volatile organic compounds (VOCs) with polymer-coated cantilevers. Sens. Actuators B Chem. 1999, 58, 505–511. [Google Scholar] [CrossRef]
- Urbiztondo, M.A.; Peralta, A.; Pellejero, I.; Sesé, J.; Pina, M.P.; Dufour, I.; Santamaria, J. Detection of organic vapours with Si cantilevers coated with inorganic (zeolites) or organic (polymer) layers. Sens. Actuators B Chem. 2012, 171–172, 822–831. [Google Scholar] [CrossRef]
- Liu, Y.; Xu, P.; Yu, H.; ZuO, G.; Cheng, Z.; Lee, D.-W.; Li, X. Hyper-branched sensing polymer directly constructed on a resonant micro-cantilever for the detection of trace chemical vapor. J. Mater. Chem. 2012, 22, 18004–18009. [Google Scholar] [CrossRef]
- Li, P.; Li, X. A single-sided micromachined piezoresistive SiO2 cantilever sensor for ultra-sensitive detection of gaseous chemicals. J. Micromech. Microeng. 2006, 16, 2539–2546. [Google Scholar] [CrossRef]
- Thundat, T.; Chen, G.Y.; Warmack, R.J.; Allison, D.P.; Wachter, E.A. Vapor detection using resonating microcantilevers. Anal. Chem. 1995, 67, 519–521. [Google Scholar] [CrossRef]
- Spitzer, D.; Cottineau, T.; Piazzon, N.; Josset, S.; Schnell, F.; Pronkin, S.N.; Savinova, E.R.; Keller, V. Bio-inspired nanostructured sensor for the detection of ultralow concentrations of explosives. Angew. Chem. Int. Ed. 2012, 51, 5334–5338. [Google Scholar] [CrossRef] [PubMed]
- Kilinc, N.; Cakmak, O.; Kosemen, A.; Ermek, E.; Ozturk, S.; Yerli, Y.; Ozturk, Z.Z.; Urey, H. Fabrication of 1D ZnO nanostructures on MEMS cantilever for VOC sensor application. Sens. Actuators B Chem. 2014, 202, 357–364. [Google Scholar] [CrossRef]
- Xu, J.; Bertke, M.; Gad, A.; Yu, F.; Hamdana, G.; Bakin, A.; Peiner, E. Fabrication of ZnO nanorods on MEMS piezoresistive silicon microcantilevers for environmental monitoring. Proceedings 2017, 1, 290. [Google Scholar] [CrossRef]
- Ruan, W.; Li, Y.; Tan, Z.; Liu, L.; Jiang, K.; Wang, Z. In situ synthesized carbon nanotube networks on a microcantilever for sensitive detection of explosive vapors. Sens. Actuators B Chem. 2013, 176, 141–148. [Google Scholar] [CrossRef]
- Xu, P.; Li, X.; Yu, H.; Liu, M.; Li, J. Self-assembly and sensing-group graft of pre-modified CNTs on resonant micro-cantilevers for specific detection of volatile organic compound vapors. J. Micromech. Microeng. 2010, 20, 115003–115009. [Google Scholar] [CrossRef]
- Xu, P.; Yu, H.; Li, X. Functionalized mesoporous silica for microgravimetric sensing of trace chemical vapors. Anal. Chem. 2011, 83, 3448–3454. [Google Scholar] [CrossRef] [PubMed]
- Lee, D.; Zandieh, O.; Kim, S.; Jeon, S.; Thundat, T. Sensitive and selective detection of hydrocarbon/water vapor mixtures with a nanoporous silicon microcantilever. Sens. Actuators B Chem. 2015, 206, 84–89. [Google Scholar] [CrossRef]
- Kim, K.-M.; Jeong, H.-M.; Kim, H.-R.; Choi, K.-I.; Kim, H.-J.; Lee, J.-H. Selective detection of NO2 using Cr-doped nanorods. Sensors 2012, 12, 8013–8025. [Google Scholar] [CrossRef] [PubMed]
- Park, W.J.; Kim, M.H.; Koo, B.H.; Choi, W.J.; Lee, J.-L.; Baik, J.M. Alternatively driven dual nanowire arrays by ZnO and CuO for selective sensing of gases. Sens. Actuators B Chem. 2013, 185, 10–16. [Google Scholar] [CrossRef]
- Chen, J.; Wang, K.; Hartman, L.; Zhou, W. H2S detection by vertically aligned CuO nanowire array sensors. J. Phys. Chem. C 2008, 112, 16017–16021. [Google Scholar] [CrossRef]
- Yi, D.; Senesac, L.; Thundat, T. Speciation of energetic materials on a microcantilever using surface reduction. Scanning 2008, 30, 108–212. [Google Scholar] [CrossRef] [PubMed]
- Yang, Y.J.; Li, W.; Chen, X. Highly enhanced electrocatalytic oxidation of glucose on Cu(OH)2/CuO nanotube arrays modified copper electrode. J. Solid State Electrochem. 2012, 16, 2877–2881. [Google Scholar] [CrossRef]
- Zhou, S.; Feng, X.; Shi, H.; Chen, J.; Zhang, F.; Song, W. Direct growth of vertically aligned arrays of Cu(OH)2 nanotubes for the electrochemical sensing of glucose. Sens. Actuators B Chem. 2013, 177, 445–452. [Google Scholar] [CrossRef]
- Jiang, X.; Herricks, T.; Xia, Y. CuO nanowires can be synthesized by heating copper substrates in air. Nano Lett. 2002, 2, 1333–1338. [Google Scholar] [CrossRef]
- Liu, Y.; Chu, Y.; Zhuo, Y.; Li, M.; Li, L.; Dong, L. Anion-controlled construction of CuO honeycombs and flowerlike assemblies on copper foils. Cryst. Growth Des. 2007, 7, 467–470. [Google Scholar] [CrossRef]
- Umar, A.A.; Oyama, M. A seed-mediated growth method for vertical array of single-crystalline CuO nanowires on surface. Cryst. Growth Des. 2007, 7, 2404–2409. [Google Scholar] [CrossRef]
- Wu, X.; Bai, H.; Zhang, J.; Chen, F.; Shi, G. Copper hydroxide nanoneedle and nanotube arrays fabricated by anodization of copper. J. Phys. Chem. B 2005, 109, 22836–22842. [Google Scholar] [CrossRef] [PubMed]
- Singh, D.P.; Ojha, A.K.; Srivastava, O.N. Synthesis of different Cu(OH)2 and CuO (nanowires, rectangles, seed-, belt-, and sheetlike) nanostructures by simple wet chemical route. J. Phys. Chem. C 2009, 113, 3409–3418. [Google Scholar] [CrossRef]
- Schlur, L.; Bonnot, K.; Spitzer, D. Synthesis of Cu(OH)2 and CuO nanotubes arrays on a silicon wafer. RSC Adv. 2015, 5, 6061–6070. [Google Scholar] [CrossRef]
- Filenko, D.; Ivanov, Z.; Volland, B.E.; Ivanova, K.; Rangelow, I.W.; Nikolov, N.; Gorszalk, T.; Mielczarski, J. Experimental setup for characterization of self-actuated microcantilevers with piezoresistive readout for chemical recognition of volatile substances. Rev. Sci. Instrum. 2008, 79, 094101. [Google Scholar] [CrossRef] [PubMed]
- Abedinov, N.; Popov, C.; Yordanov, Z.; Ivanov, T.; Gotszalk, T.; Grabiec, P.; Kulisch, W.; Rangelow, I.W.; Filenko, D.; Shirshov, Y. Chemical recognition based on micromachined silicon cantilever array. J. Vac. Sci. Technol. B 2003, 21, 2931–2936. [Google Scholar] [CrossRef]
- Abedinov, N.; Grabiec, P.; Gotszalt, T.; Ivanov, T.; Voigt, J.; Rangelow, I.W. Micromachined piezoresistive cantilever array with integrated resistive microheater for calorimetry and mass detection. J. Vac. Sci. Technol. A 2001, 19, 2884–2888. [Google Scholar] [CrossRef]
- Gotszalk, T.; Grabiec, P.; Rangelow, I.W. Piezoresistive sensors for scanning probe microscopy. Ultramicroscopy 2000, 82, 39–48. [Google Scholar] [CrossRef]
- Pedrak, R.; Ivanov, T.; Gotszalk, T.; Hudek, P.; Fortagne, O.; Rangelow, I.W. Micromachined AFM sensor with integrated piezoresistive sensor and thermal bimorph actuator for high-speed tapping-mode AFM and phase-imaging in higher eigenmodes. J. Vac. Sci. Technol. B 2003, 21, 3102–3107. [Google Scholar] [CrossRef]
- Ivanov, T.; Gotszalk, T.; Grabiec, P.; Tomerov, E.; Rangelow, I.W. Thermally driven micromechanical beam with piezoresistive readout. Microelectron. Eng. 2003, 67–68, 550–556. [Google Scholar] [CrossRef]
- Gotszalk, T.; Grabiec, P.; Rangelow, I.W. Calibration and examination of piezoresistive Wheatstone bridge cantilevers for scanning probe microscopy. Ultramicroscopy 2003, 97, 385–389. [Google Scholar] [CrossRef]
- Ivanov, T.; Gotszalk, T.; Sulzbach, T.; Chakarov, I.; Rangelow, I.W. AFM cantilever with ultra thin transistor-channel piezoresistor: Quantum confinement. Microelectron. Eng. 2003, 67–68, 534–541. [Google Scholar] [CrossRef]
- Ivanov, T.; Gotszalk, T.; Sulzbach, T.; Rangelow, I.W. Quantum size aspects of the piezorestive effect in ultra thin piezoresistors. Ultramicroscopy 2003, 97, 377–384. [Google Scholar] [CrossRef]
- Volland, B.E.; Rangelow, I.W. The influence of reactant transport on the profiles of gas chopping etching processes: A simulation approach. Microelectron. Eng. 2003, 67–68, 338–348. [Google Scholar] [CrossRef]
- Beardslee, L.A.; Addous, A.M.; Demirci, K.S.; Brand, O.; Heinrich, S.M.; Josse, F. Geometrical Optimization of Resonant Cantilevers Vibrating in In-Plane Flexural Modes. In Proceedings of the IEEE Sensors 2010 Conference, Kona, HI, USA, 1–4 November 2010. [Google Scholar] [CrossRef]
- England, C.; Corcoran, W.H. Kinetics and mechanisms of the gas-phase reaction of water vapor and nitrogen dioxide. Ind. Eng. Chem. Res. 1974, 13, 373–384. [Google Scholar] [CrossRef]








© 2018 by the authors. Licensee MDPI, Basel, Switzerland. This article is an open access article distributed under the terms and conditions of the Creative Commons Attribution (CC BY) license (http://creativecommons.org/licenses/by/4.0/).
Share and Cite
Schlur, L.; Hofer, M.; Ahmad, A.; Bonnot, K.; Holz, M.; Spitzer, D. Cu(OH)2 and CuO Nanorod Synthesis on Piezoresistive Cantilevers for the Selective Detection of Nitrogen Dioxide. Sensors 2018, 18, 1108. https://doi.org/10.3390/s18041108
Schlur L, Hofer M, Ahmad A, Bonnot K, Holz M, Spitzer D. Cu(OH)2 and CuO Nanorod Synthesis on Piezoresistive Cantilevers for the Selective Detection of Nitrogen Dioxide. Sensors. 2018; 18(4):1108. https://doi.org/10.3390/s18041108
Chicago/Turabian StyleSchlur, Laurent, Manuel Hofer, Ahmad Ahmad, Karine Bonnot, Mathias Holz, and Denis Spitzer. 2018. "Cu(OH)2 and CuO Nanorod Synthesis on Piezoresistive Cantilevers for the Selective Detection of Nitrogen Dioxide" Sensors 18, no. 4: 1108. https://doi.org/10.3390/s18041108
APA StyleSchlur, L., Hofer, M., Ahmad, A., Bonnot, K., Holz, M., & Spitzer, D. (2018). Cu(OH)2 and CuO Nanorod Synthesis on Piezoresistive Cantilevers for the Selective Detection of Nitrogen Dioxide. Sensors, 18(4), 1108. https://doi.org/10.3390/s18041108

