Distributed Optical Fiber Sensors Based on Optical Frequency Domain Reflectometry: A review
Abstract
1. Introduction
2. The Principle of OFDR
3. Compensation of Nonlinear Phase Noise in OFDR
3.1. Nonlinear Phase Noise in OFDR
3.2. Frequency-Sampling Method for Compensation of Nonlinear Phase Noise in OFDR
3.3. Software Algorithm for Compensation of Nonlinear Phase Noise in OFDR
3.3.1. NUFFT
3.3.2. Cubic Spline Interpolation
3.3.3. Concatenately Generated Phase Method
3.3.4. Deskew Filter
3.4. Short Tuning Range Method
3.4.1. Narrow Linewidth Laser Method
3.4.2. Dynamic OFDR
3.4.3. Fractional Fourier Transform
3.4.4. Time-Gated Digital OFDR
3.4.5. Kerr Phase-Interrogator Based OFDR
3.5. Summary of Methods for Long Range in OFDR
4. Distributed Optical Fiber Sensing Based on OFDR
4.1. Principle of RBS Based Sensing
4.2. Strain Sensing
4.3. Dynamic Strain
4.4. Temperature
4.5. Strain and Temperature Discrimination
4.6. Vibration
4.6.1. CCSA Method for the Spatial Domain Signals
4.6.2. CCSA Method for the Optical Frequency Signals
4.6.3. M-CCSA Method
4.6.4. Short Tuning Range Method
4.6.5. Summary of DVOFS Based on OFDR
4.7. Pressure
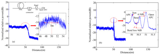
4.8. 3D Shape Sensing
4.9. Magnetic Field
4.10. Refractive Index
4.11. Radiation
4.12. Gas
4.13. Flow Rate
4.14. Special Fiber
5. Conclusions
Acknowledgments
Author Contributions
Conflicts of Interest
References
- Palmieri, L. Distributed Optical Fiber Sensing Based on Rayleigh Scattering. Open Opt. J. 2013, 7, 104–127. [Google Scholar] [CrossRef]
- Bao, X.; Chen, L. Recent progress in distributed fiber optic sensors. Sensors 2012, 12, 8601–8639. [Google Scholar] [CrossRef] [PubMed]
- Park, J. Fiber optic intrusion sensor with the configuration of an optical time-domain reflectometer using coherent interference of Rayleigh backscattering. Proc. SPIE Int. Soc. Opt. Eng. 1998, 3555, 49–56. [Google Scholar]
- Choi, K.N.; Taylor, H.F. Spectrally stable Er-fiber laser for application in phase-sensitive optical time-domain reflectometry. IEEE Photonics Technol. Lett. 2003, 15, 386–388. [Google Scholar] [CrossRef]
- Juarez, J.C.; Maier, E.W.; Choi, K.N.; Taylor, H.F. Distributed fiber-optic intrusion sensor system. J. Lightwave Technol. 2005, 23, 2081–2087. [Google Scholar] [CrossRef]
- Martins, H.F.; Martin-Lopez, S.; Corredera, P.; Filograno, M.L.; Frazao, O.; Gonzalez-Herraez, M. Coherent Noise Reduction in High Visibility Phase-Sensitive Optical Time Domain Reflectometer for Distributed Sensing of Ultrasonic Waves. J. Lightwave Technol. 2013, 31, 3631–3637. [Google Scholar] [CrossRef]
- Peng, F.; Wu, H.; Jia, X.H.; Rao, Y.J.; Wang, Z.N.; Peng, Z.P. Ultra-long high-sensitivity Φ-OTDR for high spatial resolution intrusion detection of pipelines. Opt. Express 2014, 22, 13804–13810. [Google Scholar] [CrossRef] [PubMed]
- Martins, H.F.; Martinlopez, S.; Corredera, P.; Salgado, P.; Frazão, O.; Gonzálezherráez, M. Modulation instability-induced fading in phase-sensitive optical time-domain reflectometry. Opt. Lett. 2013, 38, 872–874. [Google Scholar] [CrossRef] [PubMed]
- Eickhoff, W.; Ulrich, R. Optical frequency domain reflectometry in single-mode fiber. Appl. Phys. Lett. 1981, 39, 693–695. [Google Scholar] [CrossRef]
- Yüksel, K.; Wuilpart, M.; Mégret, P. Analysis and suppression of nonlinear frequency modulation in an optical frequency-domain reflectometer. Opt. Express 2009, 17, 5845–5851. [Google Scholar] [CrossRef] [PubMed]
- Passy, R.; Gisin, N.; von der Weid, J.P.; Gilgen, H.H. Experimental and theoretical investigations of coherent OFDR with semiconductor laser sources. J. Lightwave Technol. 1994, 12, 1622–1630. [Google Scholar] [CrossRef]
- Von Der Weid, J.P.; Passy, R.; Mussi, G.; Gisin, N. On the characterization of optical fiber network components with optical frequency domain reflectometry. J. Lightwave Technol. 1997, 15, 1131–1141. [Google Scholar] [CrossRef]
- Oberson, P.; Huttner, B.; Guinnard, O.; Guinnard, L. Optical frequency domain reflectometry with a narrow linewidth fiber laser. IEEE Photonics Technol. Lett. 2000, 12, 867–869. [Google Scholar] [CrossRef]
- Soller, B.; Gifford, D.; Wolfe, M.; Froggatt, M. High resolution optical frequency domain reflectometry for characterization of components and assemblies. Opt. Express 2005, 13, 666–674. [Google Scholar] [CrossRef] [PubMed]
- Geng, J.; Spiegelberg, C.; Jiang, S. Narrow linewidth fiber laser for 100-km optical frequency domain reflectometry. IEEE Photonics Technol. Lett. 2005, 17, 1827–1829. [Google Scholar] [CrossRef]
- Ding, Z.; Yao, X.S.; Liu, T.; Du, Y.; Liu, K.; Han, Q.; Meng, Z.; Jiang, J.; Chen, H. Long Measurement Range OFDR Beyond Laser Coherence Length. IEEE Photonics Technol. Lett. 2013, 25, 202–205. [Google Scholar] [CrossRef]
- Liu, Q.; Fan, X.; He, Z. Time-gated digital optical frequency domain reflectometry with 1.6-m spatial resolution over entire 110-km range. Opt. Express 2015, 23, 25988–25995. [Google Scholar] [CrossRef] [PubMed]
- Baker, C.; Lu, Y.; Song, J.; Bao, X. Incoherent optical frequency domain reflectometry based on a Kerr phase-interrogator. Opt. Express 2014, 22, 15370–15375. [Google Scholar] [CrossRef] [PubMed]
- Froggatt, M.; Moore, J. High-spatial-resolution distributed strain measurement in optical fiber with Rayleigh scatter. Appl. Opt. 1998, 37, 1735–1740. [Google Scholar] [CrossRef] [PubMed]
- Kreger, S.T.; Gifford, D.K.; Froggatt, M.E.; Soller, B.J.; Wolfe, M.S. High resolution distributed strain or temperature measurements in single-and multi-mode fiber using swept-wavelength interferometry. In Proceedings of the Optical Fiber Sensors 2006, Cancun, Mexico, 23–27 October 2006. [Google Scholar]
- Ding, Z.; Yao, X.S.; Liu, T.; Du, Y.; Liu, K.; Jiang, J.; Meng, Z.; Chen, H. Compensation of laser frequency tuning nonlinearity of a long range OFDR using deskew filter. Opt. Express 2013, 21, 3826–3834. [Google Scholar] [CrossRef] [PubMed]
- Moore, E.D.; Mcleod, R.R. Correction of sampling errors due to laser tuning rate fluctuations in swept-wavelength interferometry. Opt. Express 2008, 16, 13139–13149. [Google Scholar] [CrossRef] [PubMed]
- Venkatesh, S.; Sorin, W.V. Phase noise considerations in coherent optical FMCW reflectometry. J. Lightwave Technol. 1993, 11, 1694–1700. [Google Scholar] [CrossRef]
- Du, Y.; Liu, T.; Ding, Z.; Feng, B. Method for improving spatial resolution and amplitude by optimized deskew filter in long-range OFDR. IEEE Photonics J. 2014, 6, 7802811. [Google Scholar]
- Iiyama, K.; Yasuda, M.; Takamiya, S. Extended-range high-resolution FMCW reflectometry by means of electronically frequency-multiplied sampling signal generated from auxiliary interferometer. IEICE Trans. Electron. 2006, E89C, 823–829. [Google Scholar] [CrossRef]
- Vergnole, S.; Lévesque, D.; Lamouche, G. Experimental validation of an optimized signal processing method to handle non-linearity in swept-source optical coherence tomography. Opt. Express 2010, 18, 10446–10461. [Google Scholar] [CrossRef] [PubMed]
- Song, J.; Li, W.; Lu, P.; Xu, Y.; Chen, L.; Bao, X. Long-Range High Spatial Resolution Distributed Temperature and Strain Sensing Based on Optical Frequency-Domain Reflectometry. IEEE Photonics J. 2014, 6, 6801408. [Google Scholar] [CrossRef]
- Kim, D.Y.; Ji, Y.L.; Ahn, T.J. Suppression of nonlinear frequency sweep in an optical frequency-domain reflectometer by use of Hilbert transformation. Appl. Opt. 2005, 44, 7630–7634. [Google Scholar]
- Ding, Z.; Liu, T.; Meng, Z.; Liu, K. Note: Improving spatial resolution of optical frequency-domain reflectometry against frequency tuning nonlinearity using non-uniform fast Fourier transform. Rev. Sci. Instrum. 2012, 83, 066110. [Google Scholar] [CrossRef] [PubMed]
- Ito, F.; Fan, X.; Koshikiya, Y. Long-range coherent OFDR with light source phase noise compensation. J. Lightwave Technol. 2012, 30, 1015–1024. [Google Scholar] [CrossRef]
- Fan, X.; Koshikiya, Y.; Ito, F. Phase noise compensated optical frequency-domain reflectometry. IEEE J. Quantum Electron. 2009, 45, 594–602. [Google Scholar]
- Fan, X.; Koshikiya, Y.; Ito, F. Phase noise compensated optical frequency domain reflectometry with measurement range beyond laser coherence length realized using concatenative reference method. Opt. Lett. 2007, 32, 3227–3229. [Google Scholar] [CrossRef] [PubMed]
- Koshikiya, Y.; Fan, X.; Ito, F. Long range and cm-level spatial resolution measurement using coherent optical frequency domain reflectometry with SSB-SC Modulator and narrow linewidth fiber laser. J. Lightwave Technol. 2009, 26, 3287–3294. [Google Scholar] [CrossRef]
- Ding, Z.; Du, Y.; Liu, T.; Yao, X.S.; Feng, B.; Liu, K.; Jiang, J. Long-range high spatial resolution optical frequency-domain reflectometry based on optimized deskew filter method. Proc. SPIE 2014, 9274, 927407. [Google Scholar]
- Meta, A.; Hoogeboom, P.; Ligthart, L.P. Range Non-linearities Correction in FMCW SAR. In Proceedings of the IEEE International Conference on Geoscience and Remote Sensing Symposium, Colorado Convention Center, Denver, CO, USA, 31 July–4 August 2006; pp. 403–406. [Google Scholar]
- Burgos-Garcia, M.; Castillo, C.; Llorente, S.; Pardo, J.M. Digital on-line compensation of errors induced by linear distortion in broadband LFM radars. Electron. Lett. 2003, 39, 116–118. [Google Scholar] [CrossRef]
- Arbel, D.; Eyal, A. Dynamic optical frequency domain reflectometry. Opt. Express 2014, 22, 8823–8830. [Google Scholar] [CrossRef] [PubMed]
- Shiloh, L.; Eyal, A. Distributed acoustic and vibration sensing via optical fractional Fourier transform reflectometry. Opt. Express 2015, 23, 4296–4306. [Google Scholar] [CrossRef] [PubMed]
- Yuksel, K.; Wuilpart, M.; Moeyaert, V.; Megret, P. Optical frequency domain reflectometry: A review. In Proceedings of the International Conference on Transparent Optical Networks, Azores, Portugal, 28 June–2 July 2009; pp. 1–5. [Google Scholar]
- Loranger, S.; Gagné, M.; Lambiniezzi, V.; Kashyap, R. Rayleigh scatter based order of magnitude increase in distributed temperature and strain sensing by simple UV exposure of optical fibre. Sci. Rep. 2015, 5, 11177. [Google Scholar] [CrossRef] [PubMed]
- Du, Y.; Liu, T.; Ding, Z.; Han, Q.; Liu, K.; Jiang, J.; Chen, Q.; Feng, B. Cryogenic Temperature Measurement Using Rayleigh Backscattering Spectra Shift by OFDR. IEEE Photonics Technol. Lett. 2014, 26, 1150–1153. [Google Scholar]
- Available online: http://lunainc.com/wp-content/uploads/2012/11/OBR-4600-Data-Sheet-9-Mar-2018.pdf (accessed on 1 April 2018).
- Zhou, D.P.; Qin, Z.; Li, W.; Chen, L.; Bao, X. Distributed vibration sensing with time-resolved optical frequency-domain reflectometry. Opt. Express 2012, 20, 13138–13145. [Google Scholar] [CrossRef] [PubMed]
- Available online: http://lunainc.com/wp-content/uploads/2016/07/ODB5_DataSheet_Rev13_020217.pdf (accessed on 1 April 2018).
- Sang, A.K.; Froggatt, M.E.; Gifford, D.K.; Dickerson, B.D. One centimeter spatial resolution temperature measurements from 25 to 850 °C using Rayleigh scatter in gold coated fiber. In Proceedings of the Quantum Electronics and Laser Science Conference, Baltimore, MD, USA, 6–11 May 2007; pp. 1–2. [Google Scholar]
- Boyd, C.D.; Dickerson, B.D.; Fitzpatrick, B.K. Monitoring distributed temperatures along superconducting degaussing cables via Rayleigh backscattering in optical fibers. In Proceedings of the Intelligent Ships Symposium IX, Philadelphia, PA, USA, 25–26 May 2011; pp. 25–26. [Google Scholar]
- Boyd, C.D.; Lally, E.M.; Horrell, E.E.; Dickerson, B.D. Verifying cryogenic cooling of superconducting cables using optical fiber. In Proceedings of the Future of Instrumentation International Workshop (FIIW), Gatlinburg, TN, USA, 8–9 October 2012; pp. 1–4. [Google Scholar]
- Froggatt, M.E.; Gifford, D.K.; Kreger, S.T.; Wolfe, M.S.; Soller, B.J. Distributed Strain and Temperature Discrimination in Unaltered Polarization Maintaining Fiber. In Proceedings of the Optical Fiber Sensors 2016, Cancun, Mexico, 23–27 October 2006. [Google Scholar]
- Froggatt, M.E. Distributed strain and temperature discrimination in polarization maintaining fiber. U.S. Patent 7,538,883 B2, 26 May 2009. [Google Scholar]
- Li, W.; Chen, L.; Bao, X. Compensation of temperature and strain coefficients due to local birefringence using optical frequency domain reflectometry. Opt. Commun. 2013, 311, 26–32. [Google Scholar] [CrossRef]
- Zhou, D.P. Distributed Temperature and Strain Discrimination with Stimulated Brillouin Scattering and Rayleigh Backscatter in an Optical Fiber. Sensors 2013, 13, 1836–1845. [Google Scholar] [CrossRef] [PubMed]
- Ding, Z.; Yang, D.; Du, Y.; Liu, K.; Zhou, Y.; Zhang, R.; Xu, Z.; Jiang, J.; Liu, T. Distributed Strain and Temperature Discrimination Using Two Types of Fiber in OFDR. IEEE Photonics J. 2016, 8, 6804608. [Google Scholar] [CrossRef]
- Ding, Z.; Yao, X.S.; Liu, T.; Du, Y.; Liu, K.; Han, Q.; Meng, Z.; Chen, H. Long-range vibration sensor based on correlation analysis of optical frequency-domain reflectometry signals. Opt. Express 2012, 20, 28319–28329. [Google Scholar] [CrossRef] [PubMed]
- Liu, T.; Du, Y.; Ding, Z.; Liu, K. 40-km OFDR-Based Distributed Disturbance Optical Fiber Sensor. IEEE Photon. Technol. Lett. 2016, 28, 771–774. [Google Scholar] [CrossRef]
- Ding, Z.; Yang, D.; Liu, K.; Jiang, J.; Du, Y.; Li, B.; Shang, M.; Liu, T. Long-range OFDR based distributed vibration optical fiber sensor by multi-characteristics of Rayleigh scattering. IEEE Photonics J. 2017, 9, 6804410. [Google Scholar] [CrossRef]
- Wang, S.; Fan, X.; Liu, Q.; He, Z. Distributed fiber-optic vibration sensing based on phase extraction from time-gated digital OFDR. Opt. Express 2015, 23, 33301–33309. [Google Scholar] [CrossRef] [PubMed]
- Steinberg, I.; Shiloh, L.; Gabai, H.; Eyal, A. Over 100 km long ultra-sensitive dynamic sensing via Gated-OFDR. In Proceedings of the 24th International Conference on Optical Fibre Sensors, Curitiba, Brazil, 28 September–2 October 2015. [Google Scholar]
- Schenato, L.; Aneesh, R.; Palmieri, L.; Galtarossa, A.; Pasuto, A. Fiber optic sensor for hydrostatic pressure and temperature measurement in riverbanks monitoring. Opt. Laser Technol. 2016, 82, 57–62. [Google Scholar] [CrossRef]
- Wei, C.; Chen, H.; Chen, X.; Chen, D.; Li, Z.; Yao, X.S. Distributed transverse stress measurement along an optic fiber using polarimetric OFDR. Opt. Lett. 2016, 41, 2819–2822. [Google Scholar] [CrossRef] [PubMed]
- Cyr, N.; Chen, H.; Schin, G.W. Random-Scrambling Tunable POTDR for Distributed Measurement of Cumulative PMD. J. Lightwave Technol. 2009, 27, 4164–4174. [Google Scholar] [CrossRef]
- Duncan, R.G.; Froggatt, M.E.; Kreger, S.T.; Seeley, R.J.; Gifford, D.K.; Sang, A.K.; Wolfe, M.S. High-accuracy fiber-optic shape sensing. Proc. SPIE 2007, 6530, 65301S. [Google Scholar]
- Froggatt, M.E.; Duncan, R.G. Fiber optic position and/or shape sensing based on Rayleigh scatter. U.S. Patent No. 7,772,541, 10 August 2010. [Google Scholar]
- Parent, F.; Loranger, S.; Mandal, K.K.; Iezzi, V.L.; Lapointe, J.; Boisvert, J.; Baiad, M.D.; Kadoury, S.; Kashyap, R. Enhancement of accuracy in shape sensing of surgical needles using optical frequency domain reflectometry in optical fibers. Biomed. Opt. Express 2017, 8, 2210–2221. [Google Scholar] [CrossRef] [PubMed]
- NASA-Inspired Shape-Sensing Fibers Enable Minimally Invasive Surgery. Available online: https://www.techbriefs.com/component/content/article/tb/features/articles/2585 (accessed on 1 February 2018).
- Palmieri, L.; Sarchi, D.; Galtarossa, A. Distributed measurement of high electric current by means of polarimetric optical fiber sensor. Opt. Express 2015, 23, 11073–11079. [Google Scholar] [CrossRef] [PubMed]
- Du, Y.; Liu, T.; Ding, Z.; Liu, K.; Feng, B.; Jiang, J. Distributed magnetic field sensor based on magnetostriction using Rayleigh backscattering spectra shift in optical frequency-domain reflectometry. Appl. Phys. Express 2015, 8, 012401. [Google Scholar] [CrossRef]
- Ding, Z.; Du, Y.; Liu, T.; Liu, K.; Feng, B.; Jiang, J. Distributed Optical Fiber Current Sensor Based on Magnetostriction in OFDR. IEEE Photonics Technol. Lett. 2015, 27, 2055–2058. [Google Scholar] [CrossRef]
- Du, Y.; Jothibasu, S.; Zhuang, Y.; Zhu, C.; Huang, J. Rayleigh Backscattering Based Macrobending Single Mode Fiber for Distributed Refractive Index Sensing. Sens. Actuators B Chem. 2017, 248, 346–350. [Google Scholar] [CrossRef]
- Faustov, A.V.; Gusarov, A.V.; Mégret, P.; Wuilpart, M.; Zhukov, A.V.; Novikov, S.G.; Svetukhin, V.V.; Fotiadi, A.A. The use of optical frequency-domain reflectometry in remote distributed measurements of the γ-radiation dose. Tech. Phys. Lett. 2015, 41, 414–417. [Google Scholar] [CrossRef]
- Tomashuk, A.L.; Grekov, M.V.; Vasiliev, S.A.; Svetukhin, V.V. Fiber-optic dosimeter based on radiation-induced attenuation in P-doped fiber: suppression of post-irradiation fading by using two working wavelengths in visible range. Opt. Express 2014, 22, 16778. [Google Scholar] [CrossRef] [PubMed]
- Faustov, A.V.; Gusarov, A.; Wuilpart, M.; Fotiadi, A.A.; Liokumovich, L.B.; Zolotovskiy, I.O.; Tomashuk, A.L.; Schoutheete, T.D.; Mégret, P. Comparison of Gamma-Radiation Induced Attenuation in Al-Doped, P-Doped and Ge-Doped Fibres for Dosimetry. IEEE Trans. Nucl. Sci. 2013, 60, 2511–2517. [Google Scholar] [CrossRef]
- Chen, T.; Wang, Q.; Chen, R.; Zhang, B.; Chen, K.P.; Maklad, M.; Swinehart, P.R. Distributed hydrogen sensing using in-fiber Rayleigh scattering. Appl. Phys. Lett. 2012, 100, 191105. [Google Scholar] [CrossRef]
- Chen, T.; Wang, Q.; Zhang, B.; Chen, R.; Chen, K.P. Distributed flow sensing using optical hot-wire grid. Opt. Express 2012, 20, 8240. [Google Scholar] [CrossRef] [PubMed]
- Yan, A.; Huang, S.; Li, S.; Chen, R.; Ohodnicki, P.; Buric, M.; Lee, S.; Li, M.J.; Chen, K.P. Distributed Optical Fiber Sensors with Ultrafast Laser Enhanced Rayleigh Backscattering Profiles for Real-Time Monitoring of Solid Oxide Fuel Cell Operations. Sci. Rep. 2017, 7, 9360. [Google Scholar] [CrossRef] [PubMed]
- Kreger, S.; Sang, A.; Gifford, D. Froggatt M. Distributed strain and temperature sensing in plastic optical fiber using Rayleigh scatter. Proc. SPIE 2009, 7316, 73160A. [Google Scholar]
- Rizzolo, S.; Boukenter, A.; Perisse, J.; Bouwmans, G.; El Hamzaoui, H.; Bigot, L.; Ouerdane, Y.; Cannas, M.; Bouazaoui, M.; Macé, J.R. Radiation response of OFDR distributed sensors based on microstructured pure silica optical fibers. In Proceedings of the 15th European Conference on Radiation and Its Effects on Components and Systems (RADECS), Moscow, Russia, 14–18 September 2015; pp. 1–3. [Google Scholar]
- Morshed, M.; Imran, H.M.; Roy, T.K.; Uddin, M.S.; Abdur Razzak, S.M. Microstructure core photonic crystal fiber for gas sensing applications. Appl. Opt. 2015, 54, 8637–8643. [Google Scholar] [CrossRef] [PubMed]
- Candiani, A.; Giannetti, S.; Bertucci, A.; Naife, R.M.; Al-Janabi, H.; Konstantaki, M.; Cucinotta, A.; Pissadakis, S.; Corradini, R.; Selleri, S. PNA-modified photonic crystal fibers for DNA detection, Lasers and Electro-Optics Europe (CLEO EUROPE/IQEC). In Proceedings of the 2013 Conference on and International Quantum Electronics Conference, Munich, Germany, 12–16 May 2013. [Google Scholar]


































| Type | Method | Author | Sensing Range | Spatial Resolution |
|---|---|---|---|---|
| NUFFT [29] | Ding et al. | 51 m | 5 cm | |
| Software algorithm | Cubic spline interpolation [27] | Song et al. | 300 m | 0.3 mm (theoretical value) |
| Concatenately generated phase [33] | Fumihiko et al. | 40 km | 5 cm | |
| Deskew filter [21,24,34] | Du et al. | 80 km | 80 cm | |
| Narrow linewidth laser [15] | Geng et al. | 95 km | Not mention | |
| Narrow linewidth laser [16] | Ding et al. | 170 km | 200 m | |
| Short tuning range method | dynamic OFDR [37] | Arbel et al. | 10 km | Not mention |
| Fractional Fourier Transform [38] | Shiloh et al. | 20 km | 2.8 m | |
| TGD-OFDR [17] | Liu et al. | 110 km | 1.64 m | |
| Kerr phase-interrogator [18] | Baker et al. | 151 km | 11.2 cm |
| Method | Author | Sensing Range | Spatial Resolution | Frequency |
|---|---|---|---|---|
| CCSA method for the spatial domain signals [53] | Ding et al. | 12 km | 5 m | 2 kHz |
| CCSA method for the optical frequency domain signals [54] | Liu et al. | 40 km | 11.6 m | No |
| M-CCSA method for the optical frequency domain signals [55] | Ding et al. | 92 km | 13 m | No |
| TGD-OFDR [56] | Wang et al. | 40 km | Not mention | 600 Hz |
| Dynamic OFDR [57] | Arbel et al. | 101 km | <10 m | 600 Hz |
© 2018 by the authors. Licensee MDPI, Basel, Switzerland. This article is an open access article distributed under the terms and conditions of the Creative Commons Attribution (CC BY) license (http://creativecommons.org/licenses/by/4.0/).
Share and Cite
Ding, Z.; Wang, C.; Liu, K.; Jiang, J.; Yang, D.; Pan, G.; Pu, Z.; Liu, T. Distributed Optical Fiber Sensors Based on Optical Frequency Domain Reflectometry: A review. Sensors 2018, 18, 1072. https://doi.org/10.3390/s18041072
Ding Z, Wang C, Liu K, Jiang J, Yang D, Pan G, Pu Z, Liu T. Distributed Optical Fiber Sensors Based on Optical Frequency Domain Reflectometry: A review. Sensors. 2018; 18(4):1072. https://doi.org/10.3390/s18041072
Chicago/Turabian StyleDing, Zhenyang, Chenhuan Wang, Kun Liu, Junfeng Jiang, Di Yang, Guanyi Pan, Zelin Pu, and Tiegen Liu. 2018. "Distributed Optical Fiber Sensors Based on Optical Frequency Domain Reflectometry: A review" Sensors 18, no. 4: 1072. https://doi.org/10.3390/s18041072
APA StyleDing, Z., Wang, C., Liu, K., Jiang, J., Yang, D., Pan, G., Pu, Z., & Liu, T. (2018). Distributed Optical Fiber Sensors Based on Optical Frequency Domain Reflectometry: A review. Sensors, 18(4), 1072. https://doi.org/10.3390/s18041072

