Mn4+-Doped Magnesium Titanate—A Promising Phosphor for Self-Referenced Optical Temperature Sensing
Abstract
1. Introduction
2. Experimental
2.1. Synthesis of Mn-Doped MgTiO Crystals
2.2. Instruments and Measurements for Phosphor Characterization
2.3. Microsensor Fabrication and Test
3. Results and Discussion
3.1. Photoluminescence Spectra
3.2. Luminescence Quantum Yields
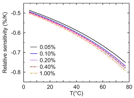
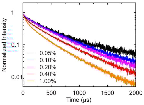
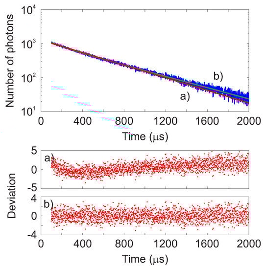
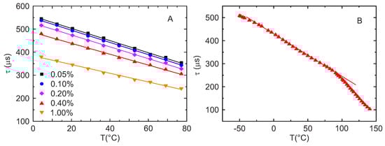
3.3. Luminescence Lifetimes
3.4. Fiber Optic Microsensor
4. Conclusions
Acknowledgments
Author Contributions
Conflicts of Interest
Abbreviations
| LOF | Lab-on-Fiber |
| LED | light-emitting diode |
| TCSPC | time-correlated single photon counting |
| IRF | instrument response function |
| PT-100 | platinum resistance thermometer |
| OD | optical density |
References
- Grattan, K.T.V.; Zhang, Z.Y. Fiber Optic Fluorescence Thermometry. In Topics in Fluorescence Spectroscopy; Lakowicz, J.R., Ed.; Kluwer Academic/Plenum Publishers: New York, NY, USA, 1994; Volume 4, pp. 335–376. [Google Scholar]
- Wickersheim, K.A.; Sun, M.H. Fiberoptic thermometry and its applications. J. Microw. Power Electromagn. Energy 1987, 22, 85–94. [Google Scholar] [CrossRef]
- Ricciardi, A.; Consales, M.; Quero, G.; Crescitelli, A.; Esposito, E.; Cusano, A. Lab-on-Fiber devices as an all around platform for sensing. Opt. Fiber Technol. 2013, 19, 772–784. [Google Scholar] [CrossRef]
- Vaiano, P.; Carotenuto, B.; Pisco, M.; Ricciardi, A.; Quero, G.; Consales, M.; Crescitelli, A.; Esposito, E.; Cusano, A. Lab on Fiber Technology for biological sensing applications. Laser Photonics Rev. 2016, 10, 922–961. [Google Scholar] [CrossRef]
- Hernández–Romano, I.; Cruz–Garcia, M.A.; Moreno–Hernández, C.; Monzón–Hernández, D.; López-Figueroa, E.O.; Paredes-Gallardo, O.E.; Torres–Cisneros, M.; Villatoro, J. Optical fiber temperature sensor based on a microcavity with polymer overlay. Opt. Express 2016, 24, 5654–5661. [Google Scholar] [CrossRef] [PubMed]
- Li, X.; Shao, Y.; Yu, Y.; Zhang, Y.; Wei, S. A Highly Sensitive Fiber-Optic Fabry–Perot Interferometer Based on Internal Reflection Mirrors for Refractive Index Measurement. Sensors 2016, 16, 794. [Google Scholar] [CrossRef] [PubMed]
- Kou, J.; Qiu, S.; Xu, F.; Lu, Y. Demonstration of a compact temperature sensor based on first-order Bragg grating in a tapered fiber probe. Opt. Express 2011, 19, 18452–18457. [Google Scholar] [CrossRef] [PubMed]
- Barrera, D.; Finazzi, V.; Villatoro, J.; Sales, S.; Pruneri, V. Packaged optical sensors based on regenerated fiber Bragg gratings for high temperature applications. IEEE Sens. J. 2012, 12, 107–112. [Google Scholar] [CrossRef]
- Luan, N.; Wang, R.; Lv, W.; Lu, Y.; Yao, J. Surface Plasmon Resonance Temperature Sensor Based on Photonic Crystal Fibers Randomly Filled with Silver Nanowires. Sensors 2014, 14, 16035–16045. [Google Scholar] [CrossRef] [PubMed]
- Zhao, Y.; Deng, Z.Q.; Hu, H.F. Fiber-optic SPR Sensor for temperature measurement. IEEE Trans. Instrum. Meas. 2015, 64, 3099–3104. [Google Scholar] [CrossRef]
- Hradil, J.; Davis, C.; Mongey, K.; McDonagh, C.; MacCraith, B.D. Temperature-corrected pressure-sensitive paint measurements using a single camera and a dual-lifetime approach. Meas. Sci. Technol. 2002, 13, 1552–1557. [Google Scholar] [CrossRef]
- Grattan, K.; Selli, R.; Palmer, A. Ruby decay-time fluorescence thermometer in a fiber-optic configuration. Rev. Sci. Instrum. 1998, 59, 1328–1335. [Google Scholar] [CrossRef]
- Zhang, Z.; Grattan, K.; Palmer, A. Fiber optic high temperature sensor based on fluorescence lifetime of Alexandrite. Rev. Sci. Instrum. 1992, 63, 3869–3873. [Google Scholar] [CrossRef]
- Dramićanin, M.D. Sensing temperature via downshifting emissions of lanthanide-doped metal oxides and salts. A review. Methods Appl. Fluoresc. 2016, 4, 042001. [Google Scholar] [CrossRef] [PubMed]
- Alaruri, S.; McFarland, D.; Brewungton, A.; Thomas, M.; Sallee, N. Development of a Fiber-Optic Probe for Thermographic Phosphor Measurements in Turbine Engines. Optics Lasers Eng. 1995, 22, 17–31. [Google Scholar] [CrossRef]
- Coyle, L.M.; Gouterman, M. Correcting lifetime measurements for temperature. Sens. Actuators B Chem. 1999, 61, 92–99. [Google Scholar] [CrossRef]
- Venturini, F.; Bürgi, R.; Borisov, S.M.; Klimant, I. Optical temperature sensing using a new thermographic phosphor. Sens. Actuators A Phys. 2015, 233, 324–329. [Google Scholar] [CrossRef]
- Liebsch, G.; Klimant, I.; Wolfbeis, O.S. Luminescence lifetime temperature sensing based on sol-gels and poly(acrylonitrile)s dyed with ruthenium metal-ligand complexes. Adv. Mater. 1999, 11, 1296–1299. [Google Scholar] [CrossRef]
- Kose, M.E.; Carroll, B.F.; Schanze, K.S. Preparation and spectroscopic properties of multiluminophore luminescent oxygen and temperature sensor films. Langmuir 2005, 21, 9121–9129. [Google Scholar] [CrossRef] [PubMed]
- Berry, M.; May, P.S.; Xu, H. Temperature Dependence of the Eu3+ 5D0 Lifetime in Europium Tris(2,2,6,6-tetramethyl-3,5-heptanedionato). J. Phys. Chem. 1999, 100, 9216–9222. [Google Scholar] [CrossRef]
- Zelelow, B.; Khalil, G.; Phelan, G.; Carlson, B.; Gouterman, M.; Callis, J.B.; Dalton, L.R. Dual luminophor pressure sensitive paint II. Lifetime based measurement of pressure and temperature. Sens. Actuators B Chem. 2003, 96, 304–314. [Google Scholar] [CrossRef]
- Stich, M.I.J.; Nagl, S.; Wolfbeis, O.S.; Henne, U.; Schaeferling, M. A dual Luminiscent Sensor Material for Simultaneous Imaging of Pressure and Temperature on Surfaces. Adv. Funct. Mater. 2008, 18, 1399–1406. [Google Scholar] [CrossRef]
- Wang, X.-D.; Wolfbeis, O.S.; Meier, R.J. Luminescent probes and sensors for temperature. Chem. Soc. Rev. 2013, 42, 7834–7869. [Google Scholar] [CrossRef] [PubMed]
- Park, P.; Kim, G.; Kim, Y.J. Luminescent properties of CaAl4O7 powders doped with Mn4+ ions. Ceram. Int. 2013, 39, 623–626. [Google Scholar] [CrossRef]
- Xu, Y.D.; Wang, D.; Wang, L.; Ding, N.; Shi, M.; Zhong, J.G.; Qi, S. Preparation and luminescent properties of a new red phosphor (Sr4Al14O25:Mn4+) for white LEDs. J. Alloy. Compd. 2013, 550, 226–230. [Google Scholar] [CrossRef]
- Jin, Y.; Hu, Y.; Wu, H.; Duan, H.; Chen, L.; Fu, Y.; Ju, G.; Mu, Z.; He, M. A deep red phosphor Li2MgTiO4:Mn4+ exhibiting abnormal emission: Potential application as color converter for warm w-LEDs. Chem. Eng. J. 2016, 288, 596–607. [Google Scholar] [CrossRef]
- Ye, T.; Li, S.; Wu, X.; Xu, M.; Wei, X.; Bao, H.; Wang, J.; Chen, J. Sol–gel preparation of efficient red phosphor Mg22TiO44:Mn4+ and XAFS investigation on the substitution of Mn4+ for Ti4+. Mater. Chem. C 2013, 1, 4327–4333. [Google Scholar] [CrossRef]
- Medić, M.M.; Brik, M.G.; Drašić, G.; Antić, Z.M.; Lojpur, V.M.; Dramićanin, M.D. Deep-Red Emitting Mn4+ Doped Mg2TiO4 Nanoparticles. J. Phys. Chem. C 2015, 119, 724–730. [Google Scholar] [CrossRef]
- Zhou, Q.; Zhou, Y.; Liu, Y.; Luo, L.; Wang, Z.; Peng, J.; Yan, J.; Wu, M. A new red phosphor BaGeF6:Mn4+: hydrothermal synthesis, photoluminescence properties, and its application in warm white LED devices. J. Mater. Chem. C 2015, 3, 3055–3059. [Google Scholar] [CrossRef]
- Zhang, S.; Hu, Y. Photoluminescence spectroscopies and temperature-dependent luminescence of Mn4+ in BaGe4O9 phosphor. J. Lumin. 2016, 177, 394–401. [Google Scholar] [CrossRef]
- Shao, Q.; Lin, H.; Hu, J.; Dong, Y.; Jiang, J. Temperature-dependent photoluminescence properties of deep-red emitting Mn4+-activated magnesium fluorogermanate phosphors. J. Alloy. Compd. 2013, 552, 370–375. [Google Scholar] [CrossRef]
- Borisov, S.M.; Gatterer, K.; Bitschnau, B.; Klimant, I. Preparation and characterization of Chromium(III)-Activated Yttrium Alluminium Borate: A new termographic Phosphor for optical sensing and imaging at ambient temperatures. J. Phys. Chem. C 2010, 114, 9118–9124. [Google Scholar] [CrossRef] [PubMed]
- Lakowicz, J.R. Principles of Fluorescence Spectroscopy, 3rd ed.; Springer: Singapore, 2006. [Google Scholar]
- Takuya, S.; Jun, F.; Yamato, H.; Hirotsugu, T. Synthesis and Photoluminescence Properties of Mn4+-doped BaMg6Ti6O19 Phosphor. Chem. Lett. 2014, 43, 1061–1063. [Google Scholar]
- Sijbom, H.F.; Joos, J.J.; Martin, L.I.D.J.; Van den Eeckhout, K.; Poelman, D.; Smeta, P.F. Luminescent Behavior of the K2SiF6:Mn4+ Red Phosphor at High Fluxes and at the Microscopic Level. ECS J. Solid State Sci. Technol. 2016, 5, R3040–R3048. [Google Scholar] [CrossRef]











| Mn Concentration (mol%) | Quantum Yield (%) | Decay Time (ms) |
|---|---|---|
| 0.05 | 87 | 0.50 |
| 0.10 | 87 | 0.49 |
| 0.40 | 36 | 0.44 |
| 1.00 | 15 | 0.35 |
© 2018 by the authors. Licensee MDPI, Basel, Switzerland. This article is an open access article distributed under the terms and conditions of the Creative Commons Attribution (CC BY) license (http://creativecommons.org/licenses/by/4.0/).
Share and Cite
Venturini, F.; Baumgartner, M.; Borisov, S.M. Mn4+-Doped Magnesium Titanate—A Promising Phosphor for Self-Referenced Optical Temperature Sensing. Sensors 2018, 18, 668. https://doi.org/10.3390/s18020668
Venturini F, Baumgartner M, Borisov SM. Mn4+-Doped Magnesium Titanate—A Promising Phosphor for Self-Referenced Optical Temperature Sensing. Sensors. 2018; 18(2):668. https://doi.org/10.3390/s18020668
Chicago/Turabian StyleVenturini, Francesca, Michael Baumgartner, and Sergey M. Borisov. 2018. "Mn4+-Doped Magnesium Titanate—A Promising Phosphor for Self-Referenced Optical Temperature Sensing" Sensors 18, no. 2: 668. https://doi.org/10.3390/s18020668
APA StyleVenturini, F., Baumgartner, M., & Borisov, S. M. (2018). Mn4+-Doped Magnesium Titanate—A Promising Phosphor for Self-Referenced Optical Temperature Sensing. Sensors, 18(2), 668. https://doi.org/10.3390/s18020668

