An Optimal Image-Based Method for Identification of Acoustic Emission (AE) Sources in Plate-Like Structures Using a Lead Zirconium Titanate (PZT) Sensor Array
Abstract
:1. Introduction
2. Reverse-Time F-K Migration for Imaging AE Sources
2.1. Reverse-Time F-K Migration
2.2. Lamb Wave Theory
3. Optimization of the AE Image
3.1. Shannon Entropy of Re-Focused Image
3.2. Artificial Bee Colony Algorithm
4. Experimental Study
4.1. Experimental Set-Up
4.2. Experimental Results
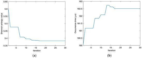
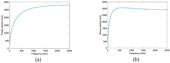
4.3. Parametric Studies
5. Conclusions
Acknowledgments
Author Contributions
Conflicts of Interest
References
- Staszewski, W.J.; Mahzan, S.; Traynor, R. Health monitoring of aerospace composite structures–active and passive approach. Compos. Sci. Technol. 2009, 69, 1678–1685. [Google Scholar] [CrossRef]
- Tang, J.; Soua, S.; Mares, C.; Gan, T.H. A pattern recognition approach to acoustic emission data originating from fatigue of wind turbine blades. Sensors 2017, 17, 2507. [Google Scholar] [CrossRef] [PubMed]
- Tobias, A. Acoustic-emission source location in two dimensions by an array of three sensors. Non-Destruct. Test 1976, 9, 9–12. [Google Scholar] [CrossRef]
- Gaul, L.; Hurlebaus, S. Identification of the impact location on a plate using wavelets. Mech. Syst. Signal Proc. 1998, 12, 783–795. [Google Scholar] [CrossRef]
- Ciampa, F.; Meo, M. Acoustic emission source localization and velocity determination of the fundamental mode A0 using wavelet analysis and a Newton-based optimization technique. Smart Mater. Struct. 2010, 19, 045027. [Google Scholar] [CrossRef]
- Kundu, T.; Nakatani, H.; Takeda, N. Acoustic source localization in anisotropic plates. Ultrasonics 2012, 52, 740–746. [Google Scholar] [CrossRef] [PubMed]
- Coverley, P.T.; Staszewski, W. Impact damage location in composite structures using optimized sensor triangulation procedure. Smart Mater. Struct. 2003, 12, 795–803. [Google Scholar] [CrossRef]
- Huang, W.; Zhang, W.; Li, F. Acoustic emission source location using a distributed feedback fiber laser rosette. Sensors 2013, 13, 14041–14054. [Google Scholar] [CrossRef] [PubMed]
- Castagnede, B.; Sachse, W.; Kim, K.Y. Location of point-like AE sources in anisotropic plates. J. Acoust. Soc. Am. 1989, 86, 1161–1171. [Google Scholar] [CrossRef]
- Ziola, S.M.; Gorman, M.R. Source location in thin plates using cross-correlation. J. Acoust. Soc. Am. 1991, 90, 2551–2556. [Google Scholar] [CrossRef]
- Sedlak, P.; Hirose, Y.; Enoki, M. Acoustic emission localization in thin multi-layer plates using first-arrival determination. Mech. Syst. Signal Proc. 2013, 36, 636–649. [Google Scholar] [CrossRef]
- Gorman, M.R. Plate wave acoustic emission. J. Acoust. Soc. Am. 1991, 90, 358–364. [Google Scholar] [CrossRef]
- Jeong, H.; Jang, Y.S. Wavelet analysis of plate wave propagation in composite laminates. Compos. Struct. 2000, 49, 443–450. [Google Scholar] [CrossRef]
- Hamstad, M.A.; Gallagher, A.O.; Gary, J. A wavelet transform applied to acoustic emission signals, part 2: source location. J. Acoust. Emission 2002, 20, 62–82. [Google Scholar]
- Perelli, A.; De Marchi, L.; Marzani, A.; Speciale, N. Acoustic emission localization in plates with dispersion and reverberations using sparse PZT sensors in passive mode. Smart Mater. Struct. 2012, 21, 025010. [Google Scholar] [CrossRef]
- Dehghan-Niri, E.; Farhidzadeh, A.; Salamone, S. Adaptive multisensor data fusion for acoustic emission (AE) source localization in noisy environment. Struct. Health Monit. 2013, 12, 59–77. [Google Scholar] [CrossRef]
- Kaphle, M.; Tan, A.C.C.; Thambiratnam, D.P.; Chan, T.H.T. Identification of acoustic emission wave modes for accurate source location in plate-like structures. Struct. Control Health Monit. 2012, 19, 187–198. [Google Scholar] [CrossRef]
- Dehaghan-Niri, E.; Salamone, S. A probabilistic framework for acoustic emission source localization in plate-like structures. Smart Mater. Struct. 2012, 21, 035009. [Google Scholar] [CrossRef]
- Tang, J.F.; Yan, G.; Cai, C.N. A Particle filter-based method for acoustic emission source localization. Int. J. Appl. Electromagn. Mech. 2016, 52, 975–981. [Google Scholar] [CrossRef]
- Schumacher, T.; Straub, D.; Higgins, C. Toward a probabilistic acoustic emission source location algorithm: a Bayesian approach. J. Sound Vibr. 2012, 331, 4233–4245. [Google Scholar] [CrossRef]
- Yan, G.; Tang, J.F. A Bayesian approach for localization of acoustic emission source in plate-like structures. Math. Probl. Eng. 2015, 2015, 247839. [Google Scholar] [CrossRef]
- Zarate, B.A.; Pollock, A.; Momeni, S.; Ley, O. Structural health monitoring of liquid-filled tanks: a Bayesian approach for location of acoustic emission sources. Smart Mater. Struct. 2014, 24, 015017. [Google Scholar] [CrossRef]
- Spall, J.C.; Maryak, J.L.; Asher, M.S. Neural network approach to locating acoustic emission sources in non-destructive evaluation. J. Sound Vibr. 1998, 211, 133–143. [Google Scholar] [CrossRef]
- LeClerc, J.R.; Worden, K.; Staszewski, W.J.; Haywood, J. Impact detection in an aircraft composite panel—A neural-network approach. J. Sound Vibr. 2007, 299, 672–682. [Google Scholar] [CrossRef]
- Ince, N.F.; Kao, C.S.; Kaveh, M.; Twefik, A.; Labuz, J.F. A machine learning approach for locating acoustic emission. EURASIP J. Adv. Signal Process. 2010, 2010, 895486. [Google Scholar] [CrossRef]
- Fu, H.; Xu, Q. Locating impact on structural plate using principle component analysis and support vector machines. Math. Probl. Eng. 2013, 2013, 352149. [Google Scholar] [CrossRef]
- Quiroga, J.; Mujica, L.; Villamizar, R.; Ruiz, M.; Camacho, J. PCA based stress monitoring of cylindrical specimens using PZTs and guided waves. Sensors 2017, 17, 2788. [Google Scholar] [CrossRef] [PubMed]
- Claerbout, J.F. Imaging the Earth’s Interior; Blackwell Scientific Publications: Palo Alto, CA, USA, 1985. [Google Scholar]
- Stolt, R.H. Migration by Fourier transform. Geophysics 1978, 43, 23–48. [Google Scholar] [CrossRef]
- Viktorov, I.A. Rayleigh and Lamb Waves; Plenum Press: New York, NY, USA, 1967. [Google Scholar]
- Mindlin, R.D. Influence of rotary inertia and shear on flexural motions of isotropic elastic plates. J. Appl. Mech. 1951, 18, 31–38. [Google Scholar]
- Kane, T.R.; Mindlin, R.D. High-frequency extensional vibrations of plates. J. Appl. Mech. 1956, 78, 277–283. [Google Scholar]
- Derveaux, G.; Papanicolaou, G.; Tsogka, C. Time reversal imaging for sensor networks with optimal compensation in time. J. Acoust. Soc. Am. 2007, 121, 2071–2085. [Google Scholar] [CrossRef] [PubMed]
- Shannon, C.E. A mathematical theory of communication. Bell Sys. Tech. J. 1948, 27, 379–423. [Google Scholar] [CrossRef]
- Karaboga, D.; Basturk, B. A powerful and efficient algorithm for numerical function optimization: Artificial bee colony (ABC) algorithm. J. Glob. Optim. 2007, 39, 459–471. [Google Scholar] [CrossRef]
- Karaboga, D.; Basturk, B. On the performance of artificial bee colony (ABC) algorithm. Appl. Soft Comput. 2008, 8, 687–697. [Google Scholar] [CrossRef]






















© 2018 by the authors. Licensee MDPI, Basel, Switzerland. This article is an open access article distributed under the terms and conditions of the Creative Commons Attribution (CC BY) license (http://creativecommons.org/licenses/by/4.0/).
Share and Cite
Yan, G.; Zhou, L. An Optimal Image-Based Method for Identification of Acoustic Emission (AE) Sources in Plate-Like Structures Using a Lead Zirconium Titanate (PZT) Sensor Array. Sensors 2018, 18, 631. https://doi.org/10.3390/s18020631
Yan G, Zhou L. An Optimal Image-Based Method for Identification of Acoustic Emission (AE) Sources in Plate-Like Structures Using a Lead Zirconium Titanate (PZT) Sensor Array. Sensors. 2018; 18(2):631. https://doi.org/10.3390/s18020631
Chicago/Turabian StyleYan, Gang, and Li Zhou. 2018. "An Optimal Image-Based Method for Identification of Acoustic Emission (AE) Sources in Plate-Like Structures Using a Lead Zirconium Titanate (PZT) Sensor Array" Sensors 18, no. 2: 631. https://doi.org/10.3390/s18020631
APA StyleYan, G., & Zhou, L. (2018). An Optimal Image-Based Method for Identification of Acoustic Emission (AE) Sources in Plate-Like Structures Using a Lead Zirconium Titanate (PZT) Sensor Array. Sensors, 18(2), 631. https://doi.org/10.3390/s18020631

