Detection, Localisation and Assessment of Defects in Pipes Using Guided Wave Techniques: A Review
Abstract
:1. Introduction
2. GWs’ Properties
2.1. Governing Equation for GW Propagation Using Cylindrical Coordinates
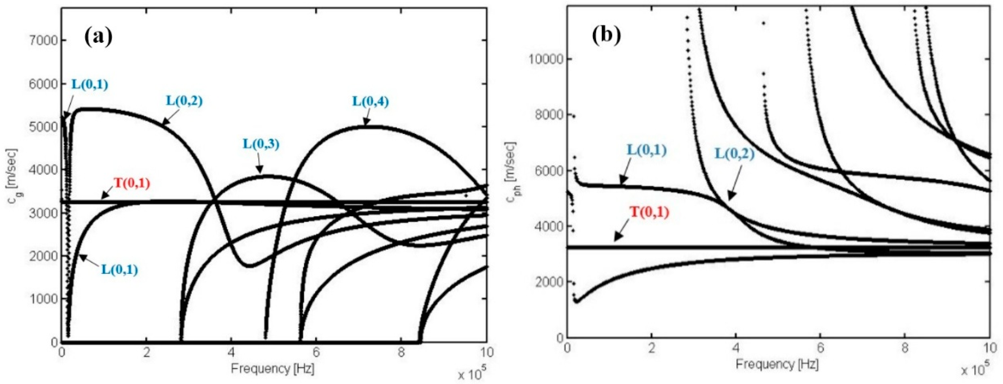
2.2. Dispersion Curves and Mode Shapes
2.3. Mode Types and Nomenclature
2.4. Pure GW Mode Selection
3. Guided Waves (GWs) Interaction with Defects
3.1. Effect of Geometric Parameters on the Reflection Coefficient
4. GW Simulation
4.1. Excitation and Signal Processing
4.2. Element Type, Mesh Size and Monitoring Plane
5. GW Transducers
5.1. Temperature Effects on GW SHM
6. Common GW Testing Methods
6.1. Higher-Order Modes
6.2. GW Focusing Technique
7. Limitations and Capabilities of GWUT
7.1. Attenuation and Effects of Pipe Features, Pipe Surface Condition and Surrounding Materials
- (1)
- Leakage, such as bulk wave radiation, into the surrounding material such as soil (the attenuation is not often severe) or in concrete provided that it is strictly attached to the pipe.
- (2)
- Mode conversions, such as branches or bends, cause the mode conversion or reflections of the forward or backward propagating symmetric wave modes into non-axisymmetric modes.
- (3)
- Reflection caused by features such as welds decreases the traveling signals.
- (4)
- Material attenuation, e.g., bitumen as a high lossy coating.
- (1)
- Presence of surrounding materials (e.g., thick bitumen coatings)
- (2)
- Contact with soil
- (3)
- Presence of complex geometries such that each geometry leads to GW attenuation
- (1)
- Strongly loaded waveguides
- (2)
- Weakly loaded waveguides
7.2. Guided Waves for Defect Detection in Coated Buried Pipes
8. Concluding Remarks
Author Contributions
Funding
Acknowledgments
Conflicts of Interest
References
- Lin, S.; Ito, T.; Kawashima, K.; Nagamizo, H. Finite element analysis of multiple wave scattering from defects within a circular pipe. In Review of Progress in Quantitative Nondestructive Evaluation; Springer: Boston, MA, USA, 1999; pp. 79–85. [Google Scholar]
- Lowe, M. Characteristics of the reflection of Lamb waves from defects in plates and pipes. In Review of Progress in Quantitative Nondestructive Evaluation; Springer: Boston, MA, USA, 1998; pp. 113–120. [Google Scholar]
- Galdos, A.; Okuda, H.; Yagawa, G. Finite element simulation of ultrasonic wave propagation in pipe and pressure vessel walls. Finite Elem. Anal. Des. 1990, 7, 1–13. [Google Scholar] [CrossRef]
- Lee, P.-H.; Yang, S.-K. Defect Inspection of Complex Structure in Pipes by Guided Waves. In Proceedings of the IUTAM Symposium on Recent Advances of Acoustic Waves in Solids, Taipei, Taiwan, 25–28 May 2009; pp. 389–395. [Google Scholar]
- Zhu, W. An FEM simulation for guided elastic wave generation and reflection in hollow cylinders with corrosion defects. J. Press. Vessel Technol. 2002, 124, 108–117. [Google Scholar] [CrossRef]
- Oil Leak Is Latest Mishap for Alaska’s Troubled Pipelines. Available online: https://www.propublica.org/article/oil-leak-is-latest-mishap-for-troubled-alaska-pipeline-system (accessed on 15 October 2018).
- Sewers explode in Guadalajara. Available online: https://www.history.com/this-day-in-history/sewers-explode-in-guadalajara (accessed on 15 October 2018).
- Satyarnarayan, L.; Chandrasekaran, J.; Maxfield, B.; Balasubramaniam, K. Circumferential higher order guided wave modes for the detection and sizing of cracks and pinholes in pipe support regions. NDT E Int. 2008, 41, 32–43. [Google Scholar] [CrossRef]
- Balasubramaniam, K.; Chandrasekaran, J.; Maxfield, B.; Satyanarayan, L. Imaging hidden corrosion using ultrasonic non-dispersive higher order guided wave modes. In Proceedings of the Review of Progress in Quantitative Nondestructive Evaluation: 34th Annual Review of Progress in Quantitative Nondestructive Evaluation, Minneapolis, MN, USA, 25–31 July 2005; pp. 215–222. [Google Scholar]
- Belanger, P.; Cawley, P. Feasibility of low frequency straight-ray guided wave tomography. NDT E Int. 2009, 42, 113–119. [Google Scholar] [CrossRef]
- Yibo, L.; Liying, S.; Zhidong, S.; Yuankai, Z. Study on energy attenuation of ultrasonic guided waves going through girth welds. Ultrasonics 2006, 44, e1111–e1116. [Google Scholar] [CrossRef]
- Su, Z.; Ye, L. Identification of Damage Using Lamb Waves: from Fundamentals to Applications; Springer Science & Business Media: Berlin/Heidelberg, Germany, 2009; Volume 48. [Google Scholar]
- Shivaraj, K.; Balasubramaniam, K.; Krishnamurthy, C.; Wadhwan, R. Ultrasonic circumferential guided wave for pitting-type corrosion imaging at inaccessible pipe-support locations. J. Press. Vessel Technol. 2008, 130, 021502. [Google Scholar] [CrossRef]
- Davies, J.; Cawley, P. The application of synthetic focusing for imaging crack-like defects in pipelines using guided waves. IEEE Trans. Ultrason. Ferroelectr. Freq. Control 2009, 56, 759–771. [Google Scholar] [CrossRef]
- Kang, T.; Lee, D.-H.; Song, S.-J.; Kim, H.-J.; Jo, Y.-D.; Cho, H.-J. Enhancement of detecting defects in pipes with focusing techniques. NDT E Int. 2011, 44, 178–187. [Google Scholar] [CrossRef]
- Tiratsoo, J. Pipeline Pigging & Integrity Technology; Clarion Technical Publishers: Houston, TX, USA, 2013. [Google Scholar]
- Kwun, H.; Kim, S.; Choi, M.; Walker, S. Torsional guided-wave attenuation in coal-tar-enamel-coated, buried piping. NDT E Int. 2004, 37, 663–665. [Google Scholar] [CrossRef]
- Hirao, M.; Ogi, H. An SH-wave EMAT technique for gas pipeline inspection. NDT E Int. 1999, 32, 127–132. [Google Scholar] [CrossRef]
- Lowe, M.J.; Alleyne, D.N.; Cawley, P. Defect detection in pipes using guided waves. Ultrasonics 1998, 36, 147–154. [Google Scholar] [CrossRef]
- Kundu, T. Ultrasonic Nondestructive Evaluation: Engineering and Biological Material Characterization; CRC Press: Boca Raton, FL, USA, 2004. [Google Scholar]
- Marques, F.C.; Demma, A. Ultrasonic guided waves evaluation of trials for pipeline inspection. In Proceedings of the 17th World Conference on Non Destructive Testing, Shanghai, China, 25–28 October 2008; pp. 25–28. [Google Scholar]
- Lowe, M.; Cawley, P. Long Range Guided Wave Inspection Usage–Current Commercial Capabilities and Research Directions; Department of Mechanical Engineering, Imperial College London: London, UK, 2006. [Google Scholar]
- Placko, D.; Kundu, T. Advanced Ultrasonic Methods for Material and Structure Inspection; John Wiley & Sons: Hoboken, NJ, USA, 2013. [Google Scholar]
- Demma, A.; Cawley, P.; Lowe, M.; Roosenbrand, A.; Pavlakovic, B. The reflection of guided waves from notches in pipes: a guide for interpreting corrosion measurements. NDT E Int. 2004, 37, 167–180. [Google Scholar] [CrossRef]
- Lowe, M.; Alleyne, D.; Cawley, P. The mode conversion of a guided wave by a part-circumferential notch in a pipe. J. Appl. Mech. 1998, 65, 649–656. [Google Scholar] [CrossRef]
- Alleyne, D.; Lowe, M.; Cawley, P. The reflection of guided waves from circumferential notches in pipes. J. Appl. Mech. 1998, 65, 635–641. [Google Scholar] [CrossRef]
- Sens, M. Guided Wave CUI Inspection. In Proceedings of the ASME 2007 Pressure Vessels and Piping Conference, San Antonio, TX, USA, 22–26 July 2007; pp. 175–176. [Google Scholar]
- Gan, T.-H. The application of guided wave ultrasonic technique for the inspection of Corrosion Under Insulation (CUI) of pipes and pipelines. Petromin Pipeliner Mag. 2010, 32–37. [Google Scholar]
- Rose, J.L.; Cho, Y.; Ditri, J.J. Cylindrical guided wave leakage due to liquid loading. Rev. Prog. Quant. Nondestruc. Eval. 1994, 13, 259. [Google Scholar]
- Na, W.-B.; Kundu, T. Underwater pipeline inspection using guided waves. J. Press. Vessel Technol. 2002, 124, 196–200. [Google Scholar] [CrossRef]
- Alleyne, D.; Pavlakovic, B.; Lowe, M.; Cawley, P. Rapid long-range inspection of chemical plant pipework using guided waves. Insight Northamp. Incl. Eur. Issues 2001, 43, 93–96. [Google Scholar]
- Barshinger, J.; Rose, J.L.; Avioli, M.J. Guided wave resonance tuning for pipe inspection. In Proceedings of the ASME 2002 Pressure Vessels and Piping Conference, Vancouver, BC, Canada, 5–9 August 2002; pp. 49–62. [Google Scholar]
- Barshinger, J.N.; Rose, J.L. Guided wave propagation in an elastic hollow cylinder coated with a viscoelastic material. IEEE Trans. Ultrason. Ferroelectr. Freq. Control 2004, 51, 1547–1556. [Google Scholar] [CrossRef]
- Pan, E.; Rogers, J.; Datta, S.; Shah, A. Mode selection of guided waves for ultrasonic inspection of gas pipelines with thick coating. Mech. Mater. 1999, 31, 165–174. [Google Scholar] [CrossRef]
- Luo, W.; Rose, J.L. Phased array focusing with guided waves in a viscoelastic coated hollow cylinder. The J. Acoust. Soc. Am. 2007, 121, 1945–1955. [Google Scholar] [CrossRef]
- Lu, Y.; Li, J.; Ye, L.; Wang, D. Guided waves for damage detection in rebar-reinforced concrete beams. Constr. Build. Mater. 2013, 47, 370–378. [Google Scholar] [CrossRef]
- Castaings, M.; Hosten, B.; François, D. The sensitivity of surface guided modes to the bond quality between a concrete block and a composite plate. Ultrasonics 2004, 42, 1067–1071. [Google Scholar] [CrossRef]
- Godinho, L.; Dias-da-Costa, D.; Areias, P.; Júlio, E.; Soares, D. Numerical study towards the use of a SH wave ultrasonic-based strategy for crack detection in concrete structures. Eng. Struct. 2013, 49, 782–791. [Google Scholar] [CrossRef]
- Sharma, S.; Mukherjee, A. Monitoring freshly poured concrete using ultrasonic waves guided through reinforcing bars. Cem. Concr. Compos. 2015, 55, 337–347. [Google Scholar] [CrossRef]
- Moustafa, A.; Niri, E.D.; Farhidzadeh, A.; Salamone, S. Corrosion monitoring of post-tensioned concrete structures using fractal analysis of guided ultrasonic waves. Struct. Control Health Monit. 2014, 21, 438–448. [Google Scholar] [CrossRef]
- Croxford, A.; Wilcox, P.; Drinkwater, B.; Konstantinidis, G. Strategies for guided-wave structural health monitoring. Proc. R. Soc. London Ser. A 2007, 463, 2961–2981. [Google Scholar] [CrossRef] [Green Version]
- Rose, J.L.; Zhu, W.; Cho, Y. Boundary element modeling for guided wave reflection and transmission factor analyses in defect classification. In Proceedings of the Ultrasonics Symposium, Sendai, Japan, 5–8 October 1998; pp. 885–888. [Google Scholar]
- Shin, H.J.; Rose, J.L. Guided waves by axisymmetric and non-axisymmetric surface loading on hollow cylinders. Ultrasonics 1999, 37, 355–363. [Google Scholar] [CrossRef]
- Rose, J.L. Recent advances in guided wave NDE. In Proceedings of the Ultrasonics Symposium, Seattle, WA, USA, 7–10 November 1995; pp. 761–770. [Google Scholar]
- Rose, J.L. Ultrasonic guided waves in structural health monitoring. Key Eng. Mater. 2004, 270, 14–21. [Google Scholar] [CrossRef]
- Rose, J.; Pelts, S.; Cho, Y. Modeling for flaw sizing potential with guided waves. J. Nondestruct. Eval. 2000, 19, 55–66. [Google Scholar] [CrossRef]
- Jia, H.; Jing, M.; Joseph, L.R. Guided wave propagation in single and double layer hollow cylinders embedded in infinite media. J. Acoust. Soc. Am. 2011, 129, 691–700. [Google Scholar] [CrossRef]
- Mudge, P. Field application of the Teletest long-range ultrasonic testing technique. Insight 2001, 43, 74–77. [Google Scholar]
- Ditri, J.J.; Rose, J.L.; Pilarski, A. Generation of guided waves in hollow cylinders by wedge and comb type transducers. In Review of Progress in Quantitative Nondestructive Evaluation; Springer: Boston, MA, USA, 1993; pp. 211–218. [Google Scholar]
- Hayashi, T.; Murase, M. Defect imaging with guided waves in a pipe. J. Acoust. Soc. Am. 2005, 117, 2134–2140. [Google Scholar] [CrossRef]
- Rose, J.L. Ultrasonic Guided Waves in Solid Media; Cambridge University Press: Cambridge, UK, 2014. [Google Scholar]
- Løvstad, A. Detection of Localised Corrosion in Pipes Using Guided Waves. Doctoral Thesis, Norwegian University of Science and Technology, Trondheim, Norway, 2012. [Google Scholar]
- Cawley, P. Practical Guided Wave Inspection and Applications to Structural Health Monitoring. In Proceedings of the 5th Australasian Congress on Applied Mechanics (ACAM 2007), Brisbane, Australia, 10–12 December 2007. [Google Scholar]
- Zhuang, W.; Shah, A.; Datta, S. Axisymmetric guided wave scattering by cracks in welded steel pipes. J. Press. Vessel Technol. 1997, 119, 401–406. [Google Scholar] [CrossRef]
- Fromme, P. Influence of guided ultrasonic wave scattering directionality on the detection sensitivity for SHM of fatigue cracks. In Proceedings of the SPIE Smart Structures and Materials+ Nondestructive Evaluation and Health Monitoring, San Diego, CA, USA, 8–11 March 2010. [Google Scholar]
- Demma, A.; Cawley, P.; Lowe, M.; Roosenbrand, A. The reflection of the fundamental torsional mode from cracks and notches in pipes. J. Acoust. Soc. Am. 2003, 114, 611–625. [Google Scholar] [CrossRef]
- Valle, C.; Niethammer, M.; Qu, J.; Jacobs, L.J. Crack characterization using guided circumferential waves. J. Acoust. Soc. Am. 2001, 110, 1282–1290. [Google Scholar] [CrossRef]
- Fletcher, S.; Lowe, M.J.; Ratassepp, M.; Brett, C. Detection of axial cracks in pipes using focused guided waves. J. Nondestruct. Eval. 2012, 31, 56–64. [Google Scholar] [CrossRef]
- Bai, H.; Shah, A.; Popplewell, N.; Datta, S. Scattering of guided waves by circumferential cracks in composite cylinders. Int. J. Solids Struct. 2002, 39, 4583–4603. [Google Scholar] [CrossRef]
- Kim, H.W.; Lee, H.J.; Kim, Y.Y. Health monitoring of axially-cracked pipes by using helically propagating shear-horizontal waves. NDT E Int. 2012, 46, 115–121. [Google Scholar] [CrossRef]
- Lamb, H. On waves in an elastic plate. Proceedings of the Royal Society of London. Ser. A 1917, 93, 114–128. [Google Scholar] [CrossRef]
- Thomson, W.T. Transmission of elastic waves through a stratified solid medium. J. Appl. Phys. 1950, 21, 89–93. [Google Scholar] [CrossRef]
- Gazis, D.C. Three-dimensional investigation of the propagation of waves in hollow circular cylinders. I. Analytical foundation. J. Acoust. Soc. Am. 1959, 31, 568–573. [Google Scholar] [CrossRef]
- Viktrov, I. Rayleigh and Lamb Waves: Physical Theory and Applications; Springer: New York, NY, USA, 1967. [Google Scholar]
- Auld, B.A. Acoustic Fields and Waves in Solids; RE Krieger: Malabar, FL, USA, 1990; Volume 2. [Google Scholar]
- Joseph, L.R. Ultrasonic waves in solid media. Date Retr. 1999, 22, 2014. [Google Scholar]
- Cawley, P.; Lowe, M.; Alleyne, D.; Pavlakovic, B.; Wilcox, P. Practical long range guided wave inspection-applications to pipes and rail. Mater. Eval. 2003, 61, 66–74. [Google Scholar]
- Bai, H.; Shah, A.; Popplewell, N.; Datta, S. Scattering of guided waves by circumferential cracks in steel pipes. J. Appl. Mech. 2001, 68, 619–631. [Google Scholar] [CrossRef]
- Kwun, H.; Kim, S.Y.; Matsumoto, H.; Vinogradov, S. Detection of axial cracks in tube and pipe using torsional guided waves. AIP Conf. Proc. 2008, 975, 193–199. [Google Scholar]
- Wang, S.; Huang, S.; Zhao, W.; Wei, Z. 3D modeling of circumferential SH guided waves in pipeline for axial cracking detection in ILI tools. Ultrasonics 2015, 56, 325–331. [Google Scholar] [CrossRef]
- Mu, J.; Zhang, L.; Rose, J. Defect circumferential sizing by using long range ultrasonic guided wave focusing techniques in pipe. Nondestruct. Test. Eval. 2007, 22, 239–253. [Google Scholar] [CrossRef]
- Wang, X.; Peter, W.T.; Mechefske, C.K.; Hua, M. Experimental investigation of reflection in guided wave-based inspection for the characterization of pipeline defects. NDT E Int. 2010, 43, 365–374. [Google Scholar] [CrossRef]
- Lo, A.; Cawley, P. The reflection of the fundamental torsional mode from multiple small defects in pipes. In Proceedings of the Review of Progress in Quantitative Nondestructive Evaluation, Burlington, VT, USA, 17–22 July 2011; Volume 30, pp. 129–136. [Google Scholar]
- Carandente, R.; Lovstad, A.; Cawley, P. The influence of sharp edges in corrosion profiles on the reflection of guided waves. NDT E Int. 2012, 52, 57–68. [Google Scholar] [CrossRef]
- Van Velsor, J.; Gao, H.; Rose, J. Guided-wave tomographic imaging of defects in pipe using a probabilistic reconstruction algorithm. Insight Nondestruct. Test. Cond. Monitor. 2007, 49, 532–537. [Google Scholar] [CrossRef]
- Cho, Y.; Krishnaswamy, S. A nonlinear guided wave NDE and tomography for micro damage detection and imaging. In Proceedings of the Future of Instrumentation International Workshop (FIIW), Oak Ridge, TN, USA, 7–8 November 2011; pp. 67–70. [Google Scholar]
- Rose, J.L. Boundary element modeling for defect characterization potential in a wave guide. International J. Solids Struct. 2003, 40, 2645–2658. [Google Scholar] [Green Version]
- Nagy, P.B.; Simonetti, F.; Instanes, G. Corrosion and erosion monitoring in plates and pipes using constant group velocity Lamb wave inspection. Ultrasonics 2014, 54, 1832–1841. [Google Scholar] [CrossRef] [PubMed]
- Liu, Z.; He, C.; Wu, B.; Wang, X.; Yang, S. Circumferential and longitudinal defect detection using T (0, 1) mode excited by thickness shear mode piezoelectric elements. Ultrasonics 2006, 44, e1135–e1138. [Google Scholar] [CrossRef] [PubMed]
- Mu, J.; Zhang, L.; Rose, J.L.; Spanner, J. Defect sizing in pipe using an ultrasonic guided wave focusing technique. AIP Conf. Proc. 2005, 820, 760–766. [Google Scholar]
- Zhang, L.; Luo, W.; Rose, J.L. Ultrasonic guided wave focusing beyond welds in a pipeline. Rev. Prog. Quant. Nondestruct. Eval. 2006, 25, 877–884. [Google Scholar]
- Carandente, R.; Ma, J.; Cawley, P. The scattering of the fundamental torsional mode from axi-symmetric defects with varying depth profile in pipes. J. Acoust. Soc. Am. 2010, 127, 3440–3448. [Google Scholar] [CrossRef] [PubMed]
- Moreau, L.; Caleap, M.; Velichko, A.; Wilcox, P. Scattering of guided waves by through-thickness cavities with irregular shapes. Wave Motion 2011, 48, 586–602. [Google Scholar] [CrossRef]
- Moreau, L.; Velichko, A.; Wilcox, P. Accurate finite element modelling of guided wave scattering from irregular defects. NDT E Int. 2012, 45, 46–54. [Google Scholar] [CrossRef]
- Carandente, R.; Cawley, P. The effect of complex defect profiles on the reflection of the fundamental torsional mode in pipes. NDT E Int. 2012, 46, 41–47. [Google Scholar] [CrossRef]
- Wang, T. Finite Element Modelling and Simulation of Guided Wave Propagation in Steel Structural Members; University of Western Sydney: Sydney, Australia, 2014. [Google Scholar]
- Willberg, C.; Duczek, S.; Vivar-Perez, J.; Ahmad, Z. Simulation Methods for Guided Wave-Based Structural Health Monitoring: A Review. Appl. Mech. Rev. 2015, 67, 010803. [Google Scholar] [CrossRef] [Green Version]
- Zheng, M.-F.; Lu, C.; Chen, G.-Z.; Men, P. Modeling three-dimensional ultrasonic guided wave propagation and scattering in circular cylindrical structures using finite element approach. Phys. Procedia 2011, 22, 112–118. [Google Scholar] [CrossRef]
- Hasheminejad, S.M.; Mousavi-Akbarzadeh, H. Three dimensional non-axisymmetric transient acoustic radiation from an eccentric hollow cylinder. Wave Motion 2013, 50, 723–738. [Google Scholar] [CrossRef]
- Fong, K.L.J. A Study of Curvature Effects on Guided Elastic Waves; University of London: London, UK, 2005. [Google Scholar]
- Pavlakovic, B.N. Leaky Guided Ultrasonic Waves in NDT; Imperial College London: London, UK, 1998. [Google Scholar]
- Baltazar-Lopez, M.E. Applications of TAP-NDE Technique to Non-Contact Ultrasonic Inspection in Tubulars. Doctoral Thesis, Texas A&M University, College Station, TX, USA, 2005. [Google Scholar]
- Non-Destructive Testing–Guided Wave Testing, Part 1: General Guidance and Principles; British Standard, BS 9690-1:2011; British Standards Institution: London, UK, 31 October 2011.
- Hayashi, T.; Song, W.-J.; Rose, J.L. Guided wave dispersion curves for a bar with an arbitrary cross-section, a rod and rail example. Ultrasonics 2003, 41, 175–183. [Google Scholar] [CrossRef]
- Catton, P.; Mudge, P.; Balachandran, W. Advances in defect characterisation using long-range ultrasonic testing of pipes. Insight Nondestruct. Test. Cond. Monitor. 2008, 50, 480–484. [Google Scholar] [CrossRef]
- Shin, H.J.; Rose, J.L. Guided wave tuning principles for defect detection in tubing. J. Nondestruct. Eval. 1998, 17, 27–36. [Google Scholar] [CrossRef]
- Ihn, J.; Chang, F. Ultrasonic Nondestructive Evaluation Engineering and Biological Material Characterization; Kundu, T., Ed.; CRC Press: New York, NY, USA, 2004; Chapter 9. [Google Scholar]
- Coccia, S. Ultrasonic Guided Waves for structural Health Monitoring and Application to Rail Inspection Prototype for the Federal Railroad Administration. Ph.D. Thesis, University of California, Oakland, CA, USA, 2007. [Google Scholar]
- Graphical User Interface for Guided Ultrasonic Waves. Available online: http://www.guiguw.com (accessed on 8 November 2016).
- Meitzler, A.H. Mode coupling occurring in the propagation of elastic pulses in wires. J. Acoust. Soc. Am. 1961, 33, 435–445. [Google Scholar] [CrossRef]
- Lindsey, M.S. Design for In-Line Pipe Inspection Using Ultrasonic Guided Waves. Master’s Thesis, Pennsylvania State University, University Park, PN, USA, 2011. [Google Scholar]
- Rose, J.L. Ultrasonic Waves in Solid Media; Cambridge University Press: Cambridge, UK, 2004. [Google Scholar]
- Rose, J.; Ditri, J.J.; Pilarski, A.; Rajana, K.; Carr, F. A guided wave inspection technique for nuclear steam generator tubing. NDT E Int. 1994, 27, 307–310. [Google Scholar] [CrossRef]
- Aljaroudi, A.A. Ultrasonic Guided Waves Applications for Locating and Quantifying Pipelines Defects. Master’s Thesis, Memorial University of Newfoundland, St. John’s, NL, Canada, 2012. [Google Scholar]
- Cobb, A.C.; Kwun, H.; Caseres, L.; Janega, G. Torsional guided wave attenuation in piping from coating, temperature, and large-area corrosion. NDT E Int. 2012, 47, 163–170. [Google Scholar] [CrossRef]
- Mohr, W.; Holler, P. On inspection of thin-walled tubes for transverse and longitudinal flaws by guided ultrasonic waves. IEEE Trans. Sonics Ultrason. 1976, 23, 369–373. [Google Scholar] [CrossRef]
- Silk, M.; Bainton, K. The propagation in metal tubing of ultrasonic wave modes equivalent to Lamb waves. Ultrasonics 1979, 17, 11–19. [Google Scholar] [CrossRef]
- Coccia, S.; Bartoli, I.; Marzani, A.; di Scalea, F.L.; Salamone, S.; Fateh, M. Numerical and experimental study of guided waves for detection of defects in the rail head. NDT E Int. 2011, 44, 93–100. [Google Scholar] [CrossRef]
- Zhai, G.; Tao, J.; Kang, L.; Wang, S. A method for optimizing excitation of electromagnetic ultrasonic Lamb wave. In Proceedings of the 5th IEEE Conference on Industrial Electronics and Applications (ICIEA), Taichung, Taiwan, 15–17 June 2010; pp. 104–108. [Google Scholar]
- Puthillath, P. Ultrasonic Guided Wave Propagation across Waveguide Transitions Applied to Bonded Joint Inspection. Ph.D. Thesis, Pennsylvania State University, University Park, PN, USA, 2010. [Google Scholar]
- Instanes, G.; Toppe, M.; Lakshminarayan, B.; Nagy, P.B. Corrosion and erosion monitoring of pipes by an ultrasonic guided wave method. In Advanced Ultrasonic Methods for Material and Structure Inspection; Kundu, T., Ed.; Wiley-ISTE: London, UK, 2007; pp. 115–157. [Google Scholar]
- Catton, P. Long Range Ultrasonic Guided Waves for the Quantitative Inspection of Pipelines. Master’s Thesis, Brunel University, London, UK, 2009. [Google Scholar]
- Gutiérrez, D. Designing a spatial filter to improve SNR in two-class discrimination problems for BCI applications. In Proceedings of the 2008 42nd Asilomar Conference on Signals, Systems and Computers, Pacific Grove, CA, USA, 26–29 October 2008; pp. 372–377. [Google Scholar]
- Michaels, T.E.; Michaels, J.E.; Ruzzene, M. Frequency–wavenumber domain analysis of guided wavefields. Ultrasonics 2011, 51, 452–466. [Google Scholar] [CrossRef] [PubMed]
- Liu, C. Singular Value Decomposition Applied to Damage Diagnosis for Ultrasonic Guided Wave Structural Health Monitoring. Ph.D. Thesis, Carnegie Mellon University, Pittsburgh, PA, USA, 2014. [Google Scholar]
- Vizzini, A.J. Damage Detection in Blade-Stiffened Anisotropic Composite Panels Using Lamb Wave Mode Conversions. Master’s Thesis, Arizona State University, Tempe, AZ, USA, 2012. [Google Scholar]
- Cegla, F.; Veidt, M. Prediction and Direct Measurement of Scattered Plate-Wave Fields Using S0 to A0 Mode Conversion at Non-Symmetric Circular Inhomogeneities. In Proceedings of the Review of Progress in Quantitative Nondestructive Evaluation, Golden, CO, USA, 22–27 July 2007; pp. 63–70. [Google Scholar]
- Demma, A. The Interaction of Guided Waves with Discontinuities in Structures; University of London: London, UK, 2003. [Google Scholar]
- Li, F.; Sun, X.; Qiu, J.; Zhou, L.; Li, H.; Meng, G. Guided wave propagation in high-speed train axle and damage detection based on wave mode conversion. Struct. Control Health Monitor. 2015, 22, 1133–1147. [Google Scholar] [CrossRef]
- Pialucha, T.P. The Reflection Coefficient from Interface Layers in NDT of Adhesive Joints; University of London: London, UK, 1992. [Google Scholar]
- Zhu, W.; Rose, J.; Barshinger, J.; Agarwala, V. Ultrasonic guided wave NDT for hidden corrosion detection. J. Res. Nondestruct. Eval. 1998, 10, 205–225. [Google Scholar] [CrossRef]
- Stoyko, D.; Popplewell, N.; Shah, A. Detecting and describing a notch in a pipe using singularities. Int. J. Solids Struct. 2014, 51, 2729–2743. [Google Scholar] [CrossRef]
- Cawley, P.; Lowe, M.; Simonetti, F.; Chevalier, C.; Roosenbrand, A. The variation of the reflection coefficient of extensional guided waves in pipes from defects as a function of defect depth, axial extent, circumferential extent and frequency. J. Mech. Eng. Sci. 2002, 216, 1131–1143. [Google Scholar] [CrossRef]
- Peter, W.T.; Wang, X. Characterization of pipeline defect in guided-waves based inspection through matching pursuit with the optimized dictionary. NDT E Int. 2013, 54, 171–182. [Google Scholar]
- Demma, A.; Cawley, P.; Lowe, M. Scattering of the fundamental shear horizontal mode from steps and notches in plates. J. Acoust. Soc. Am. 2003, 113, 1880–1891. [Google Scholar] [CrossRef]
- Reddy, J.N. An Introduction to the Finite Element Method; McGraw-Hill: New York, NY, USA, 1993; Volume 2. [Google Scholar]
- Breon, L.J. Ultrasonic Guided Wave Propagation in Pipes with Elbows. Ph.D. Thesis, Pennsylvania State University, University Park, PN, USA, 2016. [Google Scholar]
- Zhang, L. Guided Wave Focusing Potential in Hollow Cylinders. Ph.D. Thesis, Pennsylvania State University, University Park, PN, USA, 2005. [Google Scholar]
- Davies, J.O. Inspection of Pipes Using Low Frequency Focused Guided Waves. Ph.D. Thesis, Imperial College London, London, UK, 2008. [Google Scholar]
- Lowe, P.; Sanderson, R.; Boulgouris, N.; Gan, T. Hybrid active focusing with adaptive dispersion for higher defect sensitivity in guided wave inspection of cylindrical structures. Nondestruct. Test. Eval. 2016, 31, 219–234. [Google Scholar] [CrossRef]
- Rose, J.L.; Sun, Z.; Mudge, P.J.; Avioli, M.J. Guided Wave Flexural Mode Tuning cand Focusing for Pipe Testing. Mater. Eval. 2003, 61, 162–167. [Google Scholar]
- Heidary, Z.; Ozevin, D. Efficient computation of wave propagation along axisymmetric pipes under non-axisymmetric loading. Finite Elem. Anal. Des. 2014, 86, 81–88. [Google Scholar] [CrossRef]
- Ostachowicz, W.; Kudela, P.; Krawczuk, M.; Zak, A. Two-Dimensional Structural Elements. In Guided Waves in Structures for SHM: The Time-Domain Spectral Element Method; John Wiley & Sons: Hoboken, NJ, USA, 2011; pp. 167–200. [Google Scholar]
- Morassi, A.; Vestroni, F. Dynamic Methods for Damage Detection in Structures; Springer Science & Business Media: Berlin, Germany, 2008; Volume 499. [Google Scholar]
- Stoyko, D. Using the Singularity Frequencies of Guided Waves to Obtain a Pipe’s Properties and Detect and Size Notches. Ph.D. Thesis, University of Manitoba, Winnipeg, MB, Canada, 2012. [Google Scholar]
- Yeh, C.-H.; Yang, C.-H. Characterization of mechanical and geometrical properties of a tube with axial and circumferential guided waves. Ultrasonics 2011, 51, 472–479. [Google Scholar] [CrossRef] [PubMed]
- Wriggers, P. Nonlinear Finite Element Methods; Springer Science & Business Media: Berlin, Germany, 2008. [Google Scholar]
- Cui, Y. Numerical and experimental study of grouted rock bolts and their defects using ultrasonic guided waves. Ph.D. Thesis, Dalhousie University, Halifax, NS, Canada, 2013. [Google Scholar]
- Hughes, T.J.; Franca, L.P.; Hulbert, G.M. A new finite element formulation for computational fluid dynamics: VIII. The Galerkin/least-squares method for advective-diffusive equations. Comput. Methods Appl. Mech. Eng. 1989, 73, 173–189. [Google Scholar] [CrossRef]
- Zhu, W. A finite element analysis of the time-delay periodic ring arrays for guided wave generation and reception in hollow cylinders. IEEE Trans. Ultrason. Ferroelectr. Freq. Control 2001, 48, 1462–1470. [Google Scholar] [PubMed]
- Bathe, K.-J. Finite-Elemente-Methoden; Springer: Berlin, Germany, 2002; Volume 2. [Google Scholar]
- Zienkiewicz, O.C.; Taylor, R.L.; Zienkiewicz, O.C.; Taylor, R.L. The Finite Element Method; McGraw-Hill: London, UK, 1977; Volume 3. [Google Scholar]
- Zienkiewicz, O.C.; Taylor, R.L. The Finite Element Method: Solid Mechanics; Butterworth-Heinemann: Oxford, UK, 2000; Volume 2. [Google Scholar]
- Zienkiewicz, O.C.; Taylor, R.L. The Finite Element Method for Solid and Structural Mechanics; Butterworth-Heinemann: Oxford, UK, 2005. [Google Scholar]
- Koshiba, M.; Morita, H.; Suzuki, M. Finite-element analysis of discontinuity problem of SH modes in an elastic plate waveguide. Electron. Lett. 1981, 17, 480–482. [Google Scholar] [CrossRef]
- Koshiba, M.; Karakida, S.; Suzuki, M. Finite-element analysis of Lamb wave scattering in an elastic plate waveguide. IEEE Trans. Sonics Ultrason. 1984, 31, 18–24. [Google Scholar] [CrossRef]
- Koshiba, M.; Hasegawa, K.; Suzuki, M. Finite-Element Solution of Horizontally Polarized Shear Wave. Appl. Phys. 1983, 54, 461–472. [Google Scholar]
- Nasedkina, A.; Alexiev, A.; Malachowski, J. Numerical simulation of ultrasonic torsional guided wave propagation for pipes with defects. In Proceedings of the 2015 International Conference on Physics and Mechanics of New Materials and Their Applications, Azov, Russia, 19–22 May 2015; pp. 475–488. [Google Scholar]
- Moser, F.; Jacobs, L.J.; Qu, J. Modeling elastic wave propagation in waveguides with the finite element method. NDT E Int. 1999, 32, 225–234. [Google Scholar] [CrossRef]
- Giurgiutiu, V.; Zagrai, A.; Bao, J.J. Piezoelectric wafer embedded active sensors for aging aircraft structural health monitoring. Struct. Health Monitor. 2002, 1, 41–61. [Google Scholar] [CrossRef]
- Kerber, F. Dispersive Wave Analysis Using the Chirplet Transform. Master’s Thesis, Georgia Institute of Technology, Atlanta, GA, USA, 2006. [Google Scholar]
- Buys, B.J.; Heyns, P.S.; Loveday, P. Rock Bolt Condition Monitoring Using Ultrasonic Guided Wave. J. South Afr. Inst. Min. Metall. 2009, 109, 95–105. [Google Scholar]
- Chen, C.-H. Ultrasonic and Advanced Methods for Nondestructive Testing and Material Characterization; World Scientific: Singapore, 2007. [Google Scholar]
- Ayers, J.T. Structural Damage Diagnostics via Wave Propagation-Based filtering Techniques. Ph.D. Thesis, Georgia Institute of Technology, Atlanta, GA, USA, 2010. [Google Scholar]
- Karmazin, A. Time-Efficient Simulation of Surface-Excited Guided Lamb Wave Propagation in Composites; KIT Scientific Publishing: Karlsruhe, Germany, 2013; Volume 18. [Google Scholar]
- Leger, A.; Deschamps, M. Ultrasonic Wave Propagation in Non Homogeneous Media; Springer Science & Business Media: Berlin, Germany, 2009; Volume 128. [Google Scholar]
- Lee, J.-R.; Chong, S.Y.; Jeong, H.; Kong, C.-W. A time-of-flight mapping method for laser ultrasound guided in a pipe and its application to wall thinning visualization. NDT E Int. 2011, 44, 680–691. [Google Scholar] [CrossRef]
- Ren, B. Adhesive Bond Inspection for Composites with Ultrasonic Guided Waves. Master’s Thesis, Pennsylvania State University, University Park, PN, USA, 2011. [Google Scholar]
- Bracewell, R. The Fourier Transform and Its Applications; McGraw-Hill Book Company: New York, NY, USA, 1965. [Google Scholar]
- Feldman, M. Non-linear system vibration analysis using Hilbert transform—I. Free vibration analysis method Freevib. Mech. Syst. Signal Process. 1994, 8, 119–127. [Google Scholar] [CrossRef]
- Bareille, O.; Kharrat, M.; Zhou, W.; Ichchou, M. Distributed piezoelectric guided-T-wave generator, design and analysis. Mechatronics 2012, 22, 544–551. [Google Scholar] [CrossRef]
- Bartoli, I.; Castellazzi, G.; Marzani, A.; Salamone, S. Prediction of stress waves propagation in progressively loaded seven wire strands. In Proceedings of the Sensors and Smart Structures Technologies for Civil, Mechanical, and Aerospace Systems, San Diego, CA, USA, 12–15 March 2012; p. 834505. [Google Scholar]
- Kim, Y.; Chen, L.; Moon, H.-S. Numerical Simulation and Experimental Investigation of Propagation of Guided Waves on Pipe with Discontinuities in Different Axial Angles. Mater. Eval. 2016, 74, 1168–1175. [Google Scholar]
- Luo, W. Ultrasonic Guided Waves and Wave Scattering in Viscoelastic Coated Hollow Cylinders. Ph.D. Thesis, Pennsylvania State University, University Park, PN, USA, 2005. [Google Scholar]
- Vinogradov, S.; Fisher, J. Review of Guided Wave Testing Using Magnetostrictive Transducers. In Proceedings of the 12th European Conference on Non-Destructive Testing, Gothenburg, Sweden, 11–15 June 2018. [Google Scholar]
- Vinogradov, S.A. Magnetostrictive transducer for torsional guided waves in pipes and plates. Mater. Eval. 2009, 67, 333–341. [Google Scholar]
- Choi, M.-S.; Kim, S.-Y.; Kwun, H. An equivalent circuit model of magnetostrictive transducers for guided wave applications. J. Korean Phys. Soc. 2005, 47, 454–462. [Google Scholar]
- Kwun, H.; Bartels, K. Magnetostrictive sensor technology and its applications. Ultrasonics 1998, 36, 171–178. [Google Scholar] [CrossRef]
- Bertoncini, F.; Raugi, M.; Turcu, F. Pipeline long-range inspection and monitoring by an innovative magnetic collar for magnetostrictive guided-wave systems. NDT eJ. Nondestruct. Test. 2008. [Google Scholar]
- Lebsack, S. Guided Wave Ultrasonic Inspection & Verification Studies of Burried Pipelines; Lebsack &Associates: The Wood Lands, TX, USA, 2007. [Google Scholar]
- Alleyne, D.; Pavlakovic, B.; Lowe, M.; Cawley, P. The Use of Guided Waves for Rapid Screening of Chemical Plant Pipework. J. Korean. Soc. Nondestr. Test. 2002, 22, 589–598. [Google Scholar]
- Kharrat, M.; Ichchou, M.; Bareille, O.; Zhou, W. Pipeline inspection using a torsional guided-waves inspection system. Part 1: Defect identification. Int. J. Appl. Mech. 2014, 6, 1450034. [Google Scholar] [CrossRef]
- Alleyne, D.; Pavlakovic, B.; Lowe, M.; Cawley, P. Rapid, long range inspection of chemical plant pipework using guided waves. In Key Engineering Materials; Trans Tech Publication: Zurich, Switzerland; pp. 434–441.
- Alleyne, D.; Cawley, P. Long range propagation of Lamb waves in chemical plant pipework. Mater. Eval. 1997, 55, 504–508. [Google Scholar]
- Magnetostrictive Sensor (MsS) System. Available online: http://www.gwanalysis.com (accessed on 20 June 2017).
- Guided Wave System. Available online: http://www.guided-ultrasonics.com/ (accessed on 20 June 2017).
- Guided wave system. Available online: https://www.olympus-ims.com/en/ultrawave/#! (accessed on 20 June 2017).
- Stepinski, T. Structural Health Monitoring of Piping in Nuclear Power Plants-A Review of Efficiency of Existing Methods. 2011; Swedish Radiation Safety Authority: Stockholm, Sweden, 2011. [Google Scholar]
- Raghavan, A.; Cesnik, C.E. Effects of elevated temperature on guided-wave structural health monitoring. J. Intell. Mater. Syst. Struct. 2008, 19, 1383–1398. [Google Scholar] [CrossRef]
- Guangda, Z.; Qiji, S.; Xiaohu, W.; Xu, W. Natural Gas Transmission Pipeline Temperature Drop Calculation. Adv. Pet. Explor. Dev. 2014, 7, 127–131. [Google Scholar]
- Yadawa, P.K. Effect of temperature dependence ultrasonic velocities and attenuation of GaP nanowires. J. Theor. Appl. Phys. 2016, 10, 203–209. [Google Scholar] [CrossRef] [Green Version]
- Heinlein, S.; Cawley, P.; Vogt, T.; Burch, S. Blind trial validation of a guided wave structural health monitoring system for pipework. Mater. Eval. 2018, 76, 1118–1126. [Google Scholar]
- Liu, C.; Dobson, J.; Cawley, P. Efficient generation of receiver operating characteristics for the evaluation of damage detection in practical structural health monitoring applications. Proc. R. Soc. A 2017, 473, 20160736. [Google Scholar] [CrossRef] [Green Version]
- Vinogradov, S.; Eason, T.; Lozev, M. Evaluation of magnetostrictive transducers for guided wave monitoring of pressurized pipe at 200 C. J. Press. Vessel Technol. 2018, 140, 021603. [Google Scholar] [CrossRef]
- Mudge, P.J.; Catton, P. Quantification of defect size from long range guided wave ultrasonic tests on pipes. In Proceedings of the 34th Annual Review of Progress in Quantitative Nondestructive Evaluation, Golden, CO, USA, 22–27 Jul 2007; pp. 147–154. [Google Scholar]
- ASTM E2775-11, Standard Practice for Guided Wave Testing of Above Ground Steel Pipework Using Piezoelectric Effect Transduction; ASTM International: West Conshohocken, PA, USA, 2011.
- Kwun, H.; Kim, S.Y.; Light, G.M. Improving guided wave testing of pipelines with mechanical attachments. Mater. Eval. 2010, 68, 927–932. [Google Scholar]
- Sargent, J. Corrosion detection in welds and heat-affected zones using ultrasonic Lamb waves. Insight Nondestruct. Test. Cond. Monitor. 2006, 48, 160–167. [Google Scholar] [CrossRef]
- Farhidzadeh, A.; Ebrahimkhanlou, A.; Salamone, S. Corrosion damage estimation in multi-wire steel strands using guided ultrasonic waves. In Proceedings of the SPIE Smart Structures and Materials+ Nondestructive Evaluation and Health Monitoring, San Diego, CA, USA, 8–12 March 2015. [Google Scholar]
- Bai, L.; Velichko, A.; Drinkwater, B. Ultrasonic characterization of crack-like defects using scattering matrix similarity metrics. IEEE Trans. Ultrason. Ferroelectr. Freq. Control 2015, 62, 545–559. [Google Scholar] [CrossRef] [PubMed]
- Ditri, J.J. Utilization of guided elastic waves for the characterization of circumferential cracks in hollow cylinders. J. Acoust. Soc. Am. 1994, 96, 3769–3775. [Google Scholar] [CrossRef]
- Ma, J.; Lowe, M.; Simonetti, F. Feasibility study of sludge and blockage detection inside pipes using guided torsional waves. Meas. Sci. Technol. 2007, 18, 2629. [Google Scholar] [CrossRef]
- Raghavan, A. Guided-Wave Structural Health Monitoring. Ph.D. Thesis, University of Michigan, Ann Arbor, MI, USA, 2007. [Google Scholar]
- Kharrat, M. Design and Development of a Torsional Guided-Waves Inspection System for the Detection and Sizing of Defects in Pipes. Ph.D. Thesis, Ecole Centrale de Lyon, Écully, France, 2012. [Google Scholar]
- Khalili, P.; Cawley, P. Excitation of single-mode lamb waves at high-frequency-thickness products. IEEE Trans. Ultrason. Ferroelectr. Freq. Control 2016, 63, 303–312. [Google Scholar] [CrossRef] [PubMed]
- Jayaraman, C.; Krishnamurthy, C.; Balasubramaniam, K.; Thompson, D.O.; Chimenti, D.E. Higher Order modes cluster (homc) guided waves—A new technique for ndt inspection. AIP Conf. Proc. 2009, 1096, 121–128. [Google Scholar]
- Swaminathan, A.; Balasubramaniam, K.; Anto, C.I.; Venkataraman, K. Higher order mode cluster (HOMC) guided wave testing of corrosion under pipe supports (CUPS). In Proceedings of the National Seminar & Exhibition on Non-Destructive Evaluation, Chennai, India, 8–10 December 2011; pp. 224–227. [Google Scholar]
- Chandrasekaran, J.; Krishnamurthy, C.; Balasubramaniam, K.; Thompson, D.O.; Chimenti, D.E. Axial higher order modes cluster (a-homc) guided wave for pipe inspection. In Proceedings of the National Seminar & Exhibition on Non-Destructive Evaluation, Chennai, India, 10–12 December 2009; pp. 161–168. [Google Scholar]
- Ratnam, D.; Balasubramaniam, K.; Maxfield, B.W. Generation and detection of higher-order mode clusters of guided waves (HOMC-GW) using meander-coil EMATs. IEEE Trans. Ultrason. Ferroelectr. Freq. Control 2012, 59, 727–737. [Google Scholar] [CrossRef] [PubMed]
- Chandrasekaran, J.; Anto, I.; Balasubramaniam, K.; Venkataraman, K. Higher order modes cluster (HOMC) guided waves for online defect detection in annular plate region of above-ground storage tanks. Insight Nondestruct. Test. Cond. Monitor. 2009, 51, 606–611. [Google Scholar] [CrossRef]
- Rose, J.L. A baseline and vision of ultrasonic guided wave inspection potential. J. Press. Vessel Technol. 2002, 124, 273–282. [Google Scholar] [CrossRef]
- Lu, M.; Wan, M.; Xu, F.; Wang, X.; Chang, X. Design and experiment of 256-element ultrasound phased array for noninvasive focused ultrasound surgery. Ultrasonics 2006, 44, e325–e330. [Google Scholar] [CrossRef]
- Li, J.; Rose, J.L. Natural beam focusing of non-axisymmetric guided waves in large-diameter pipes. Ultrasonics 2006, 44, 35–45. [Google Scholar] [CrossRef]
- Mu, J. Guided Wave Propagation and Focusing in Viscoelastic Multilayered Hollow Cylinders. Ph.D. Thesis, Pennsylvania State University, University Park, PN, USA, 2008. [Google Scholar]
- Sun, Z.; Zhang, L.; Rose, J.L. Flexural torsional guided wave mechanics and focusing in pipe. J. Press. Vessel Technol. 2005, 127, 471–478. [Google Scholar] [CrossRef]
- Kim, H.J.; Seo, J.H.; Song, S.J.; Kim, J.H.; Eom, H.S. A Study on the Time Reversal Method for Focusing Ultrasonic Guided Waves Using Array Transducers. In Proceedings of the Review of Progress in Quantitative Nondestructive Evaluation, Portland, OR, USA, 30 July–4 August 2006; pp. 775–782. [Google Scholar]
- Ying, Y. A Data-Driven Framework for Ultrasonic Structural Health Monitoring of Pipes. Ph.D. Thesis, Carnegie Mellon University, Pittsburgh, PA, USA, 2012. [Google Scholar]
- Ciampa, F. Structural Health Monitoring Systems for Impacted Isotropic and Anisotropic Structures. Ph.D. Thesis, University of Bath, Bath, UK, 2012. [Google Scholar]
- Sanderson, R. Long range ultrasonic guided wave focusing in pipe with application to defect sizing. In Proceedings of the ASME 2006 Pressure Vessels and Piping/ICPVT-11 Conference, Vancouver, BC, Canada, 23–27 July 2006. [Google Scholar]
- Rose, J.L.; Zhang, L. High Frequency Guided Wave Phased Array Focusing in Pipe; Technical Report DTIC ADA444978; Defense Technical Information Center: Fort Belvoir, VA, USA, 2005. [Google Scholar]
- Li, J.; Rose, J.L. Implementing guided wave mode control by use of a phased transducer array. IEEE Trans. Ultrason. Ferroelectr. Freq. Control 2001, 48, 761–768. [Google Scholar] [CrossRef] [PubMed]
- Li, J.; Rose, J.L. Excitation and propagation of non-axisymmetric guided waves in a hollow cylinder. J. Acoust. Soc. Am. 2001, 109, 457–464. [Google Scholar] [CrossRef] [PubMed]
- Li, J.; Rose, J.L. Angular-profile tuning of guided waves in hollow cylinders using a circumferential phased array. IEEE Trans. Ultrason. Ferroelectr. Freq. Control 2002, 49, 1720–1729. [Google Scholar] [CrossRef] [PubMed]
- Ditri, J.J.; Rose, J.L. Excitation of guided elastic wave modes in hollow cylinders by applied surface tractions. J. Appl. Phys. 1992, 72, 2589–2597. [Google Scholar] [CrossRef]
- Mu, J.; Avioli, M.J.; ROSES, J.L. Long-range pipe imaging with a guided wave focal scan. Mater. Eval. 2008, 66, 663–666. [Google Scholar]
- Perelli, A. Sparse Signal Representation of Ultrasonic Signals for Structural Health Monitoring Applications. Master’s Thesis, University of Bologna, Bologna, Italy, 2014. [Google Scholar]
- Demma, A.; Alleyne, D.; Pavlakovic, B. Testing of buried pipelines using guided waves. In Proceedings of the 3rd Middle East Nondestructive Testing Conference & Exhibition, Manama, Bahrain, 27–30 November 2005. [Google Scholar]
- Rose, J.L. Successes and challenges in ultrasonic guided waves for NDT and SHM. In Proceedings of the National Seminar & Exhibition on Non-Destructive Evaluation, NDE 2009, Trichy, India, 10–12 December 2009. [Google Scholar]
- Leinov, E.; Lowe, M.J.; Cawley, P. Investigation of guided wave propagation and attenuation in pipe buried in sand. J. Sound Vib. 2015, 347, 96–114. [Google Scholar] [CrossRef]
- Long, R.; Lowe, M.; Cawley, P. Attenuation characteristics of the fundamental modes that propagate in buried iron water pipes. Ultrasonics 2003, 41, 509–519. [Google Scholar] [CrossRef]
- Castaings, M.; Lowe, M. Finite element model for waves guided along solid systems of arbitrary section coupled to infinite solid media. J. Acoust. Soc. Am. 2008, 123, 696–708. [Google Scholar] [CrossRef]
- Rose, J.; Mu, J.; Hua, J.; Royer, R.; Kenefick, S. Ultrasonic guided wave phased array inspection of coated and buried pipe. In Proceedings of the 7th International Conference on NDE in Relation to Structural Integrity for Nuclear and Pressurized Components, Yokohama, Japan, 12–15 May 2009. [Google Scholar]
- Pei, K.-C.; Shyu, H.-F.; Lee, P.-H.; Toung, J.-C. Development and application of guided wave technology for buried piping inspection in nuclear power plant. In Proceedings of the 2015 IEEE International Ultrasonics Symposium (IUS), Taipei, Taiwan, 21–24 October 2015; pp. 1–4. [Google Scholar]
- Leinov, E.; Cawley, P.; Lowe, M.J. Guided wave attenuation in coated pipes buried in sand. AIP Conf. Proc. 2016, 1706, 030004. [Google Scholar] [Green Version]
- Hua, J.; Mu, J. Guided wave propagation and focusing in multi-layer pipe with viscoelastic coating and infinite soil media. Mater. Eval. 2013, 71, 369–377. [Google Scholar]
- Kirby, R.; Zlatev, Z.; Mudge, P. On the scattering of torsional elastic waves from axisymmetric defects in coated pipes. J. Sound Vib. 2012, 331, 3989–4004. [Google Scholar] [CrossRef] [Green Version]
- Nishino, H.; Tateishi, K.; Ishikawa, M.; Furukawa, T.; Goka, M. Attenuation characteristics of the leaky mode guided wave propagating in piping coated with anticorrosion grease. Jpn J. Appl. Phys. 2018, 57, 07LC02. [Google Scholar] [CrossRef]
- Cheng, J.-W.; Yang, S.-K.; Lee, P.-H.; Huang, C.-J. Attenuation of Guided Wave Propagation by the Insulation Pipe. In Petrochemicals; InTech: London, UK, 2012. [Google Scholar] [Green Version]
- Ledesma, V.; Baruch, E.P.; Demma, A.; Lowe, M. Guided wave testing of an immersed gas pipeline. Mater. Eval. 2009, 67, 102–115. [Google Scholar]
- Simonetti, F.; Cawley, P. On the nature of shear horizontal wave propagation in elastic plates coated with viscoelastic materials. Proc. R. Soc. London A 2004, 406, 2197–2221. [Google Scholar] [CrossRef]









| No. (Defect Category) | Long Range GW Simulation Method and/or Experiment Technique | Study Purpose | Key Information | Long Range Guided Wave Type/Mode | Defect Type | See for Details | |
|---|---|---|---|---|---|---|---|
| 1 (Cracks) 2 (Corrosion) | A novel numerical procedure using a quantitative ultrasonic technique | To show wave scattering by circumferential cracks in steel pipes. | Wave function expansion was employed in the axial direction, and the problem was decomposed into anti-symmetry and symmetry problems. 3D wave-scattering problems were then reduced into two quasi-1D problems. | Torsional (T), flexural (F) and longitudinal (L) families | Planar circumferential cracks | Bai et al. [68] | |
| Axisymmetric and non-axisymmetric GW analysis | To show that the reflection coefficient (RC), from axisymmetric crack increases with frequency at a determined depth. The torsional waves were shown to be attractive for pipe inspection in practice. | The circumferential extent and depth were the controlling parameters of the reflection from cracks when the notch had a finite axial length; instead of a crack, reflections occurred at the end and start of the notch that led to a periodic variation in the RC dependent on the notch’s axial extent. | T(0,1), L(0,2), F(1,2), F(1,3), F(2,2) | Cracks and notches | Demma et al. [56] | ||
| Experimental GW analysis (applicable to long-range tests) | To detect small axial cracks using experimental data | Axial cracks are generally undetectable because they have a small circumferential cross-sectional area (CSA) that can be negligible. Nevertheless, if the depth of axial cracks extends to approximately 70% of wall thickness, then the interaction mechanism between the torsional waves and the axial crack varies and the crack starts to produce a detectable signal along with the characteristic tailing signals. | T-waves | Axial cracks | Kwan et al. [69] | ||
| A hybrid finite element (FE), method and modal representation technique | To investigate axisymmetric GW scattering by weldments of anisotropic bonding materials and cracks in steel pipes. | Resonant peaks of reflection coefficients at the cut-off frequencies of higher GW modes were observed when the frequency increased. As the length and slope of the crack increased, these peaks became increasingly pronounced. | Axisymmetric | Cracks | Zhuang et al. [54] | ||
| Digital signal processing (DSP) algorithm technique and FEM | To locate, measure and characterise cracks accurately and systematically by quantifying the effects of scattering. | Auld’s formula for crack length modified to a reflected energy coefficient was used to measure cracks. The DSP technique significantly decreased the need for high-frequency signals to detect small cracks. | Circumferential | Valle et al. [57] | |||
| 3D numerical modelling | To provide insights into the use of circumferential SH GWs for quantitative testing of axial cracks by obtaining transmission and reflection coefficient curves. | A comparison was performed between dispersion equation and displacement wave structure from simulation to verify the efficiency of the FEM package. | Circumferential, shear horizontal (SH) | Axial crack defects (stress corrosion cracking, SCC) | Wang et al. [70] | ||
| Different types of GW transducers | Synthetic focused guided wave (SFGW) | To show that focusing causes the reflection coefficient (RC) to approximately double relative to the sensitivity for unfocused fundamental T GW | CSM of SFGW allowed the application of focusing through the post-processing of previously collected data. The measured RC was dependent on the length of cracks for 100% and part of the depth of axial cracks at the frequency ranges using T families. | Torsional (T) family | Axially aligned defects (axial cracks) | Fletcher et al. [58] | |
| Common source method (CSM) transducer elements | |||||||
| Circumferential array of piezoelectric (applicable for long-range tests) | To estimate the defect depth using the defect image amplitude. To estimate the circumferential length using the complete width at half maximum of the image circumferential profile of the defect. | The synthetically focused system for each point of interest in the pipe wall was used for the recorded backscattered signals to create an image of the pipe’s reflecting features. | T(0,1) | Crack-like defects | Davis and Cawley [14] | ||
| A shear horizontal guided wave magnetostrictive transducer | To detect axial cracks in pipes using circumferentially incident waves. | Damages could be estimated by comparing the signals calculated in uncracked pipes and cracked pipes. | Shear horizontal waves | Axial cracks | Woong Kim et al. [60] | ||
| Transducer system (applicable for long-range tests) | To enable the defect localisation along the pipe length and present a rough estimation of defect sizing | A systematic analysis of frequency, guided wave mode, defect size and pipe size on the RC from notches was presented. The minimum and maximum values of the RC at different axial lengths were calculated and used for defect sizing. | T(0,1) | Corrosion axisymmetric defects | Demma et al. [24] | ||
| 2 (Corrosion) | Phased array (PA) transducers | Time-delay periodic ring arrays (TDPRAs) as a novel GW transducer model by FEM calculation | To generate axisymmetric GWs in hollow cylinders | GWs reflected by non-axisymmetric and axisymmetric corrosion defects were analysed, and 3D and 2D FE simulations were employed. | L(0,1) and L(0,2) | Non-axisymmetric and axisymmetric corrosion defects | Zhu [5] |
| Phased array (PA) transducers | Higher-order mode cluster (HOMC)-GW, using linear phased array (PA) transducers and conventional circular transducers | To show the capability of GWs in obtaining improved imaging of small defects through the pipe cross section (CS) using high frequencies. | High-frequency modes were investigated to identify and size defects. | Circumferential GWs | Pinhole-like defects (corrosion) and axial notches (axial cracks) | Satyarnarayn et al. [8] | |
| Balasubramaniam et al. [9] | |||||||
| Circumferentially distributed PA used for focusing technique | To achieve excellent circumferential, axial location and detection of defects. Defect circumferential sizing can be done by performing circumferential scans at defect distances. | GW energy could be focused successfully on any location in a pipe by applying varying time-delay inputs and amplitudes to the PA. GW focusing technique enhanced circumferential resolution and penetration power. | T(m,1) and L(m,2) | Volumetric elliptical corrosion, volumetric through-wall hole, planar saw cut defects | Mu et al. [71] | ||
| Piezoelectric transducers (PZT) | Piezoelectric crystal-based transducers/2D FE model using Abaqus software | To detect defects with diameter as small as 1.5 mm and 25% penetration wall thickness by using the system. | A manual pipe crawler with a supply for holding the wedge and important hardware, such as the encoder and data acquisition card, were used. | Higher-order circumferential G | Pitting corrosion between the pipe and pipe support | Shivaraj et al. [13] | |
| Piezoelectric transducers (PZT) and FE simulation (applicable for long-range tests) | To show the complexity of the results of the reflection signals of defects received from the overlap amongst the reflections of the defects’ edges with varying features. | The reflection of GWs received from the back and front edges of defects in pipelines was reported. A new strategy for the defects’ quantitative characterisation was proposed. | L(0,1), L(0,2) F(1,2), F(1,1), F(1,3) | Notch-type defects, corrosion | Wang et al. [72] | ||
| FE 3D analysis of the RC | To simulate defect clusters and multiple part-depth defects using the superposition approach. | The RC of the T(0,1) mode was a function of the axial separation and frequency and was independent of circumferential position. | T(0,1) | Multiple circular holes/localised corrosion | Løvstad and Cawley [73] | ||
| FE analysis by Abaqus software | To identify the presence of sharp edges in corrosion patches according to the RC spectrum analysis. | The superposition of high and low spatial frequency contents of defects provided a good approximation to the RC from the full profiles. | T(0,1) | Sharp edges in corrosion profiles | Cawley et al. [74] | ||
| Reconstruction algorithm for the probabilistic inspection of damage (RAPID) | Leave-in place sensors (an array of 16 low-cost transducers) | To create tomographic images of multiple defects. Defects could be detected by employing sparse array. | The defect severity and location were accurately predicted by using the RAPID algorithm employing multiple frequency data sets. | GW mode | Corrosion and pitting defects | Velsor et al. [75] | |
| 3 (Other defects) | Nonlinear guided wave and tomography RAPID | To detect, locate and image micro-defects in pipe structures. | Nonlinear tomography was used to provide the micro-defect images in pipe structures. | Nonlinear GWs | Thermal fatigue damage | Cho et al. [76] | |
| Non-contact shear horizontal (SH) wave EMAT and piezoelectric lamb wave transducers | Boundary element method (BEM) and normal mode expansion (NME) | To conduct research on the sizing potential of 2D-shaped defects in a structure. At low frequency, the SH and lamb waves were shown to be insensitive to the stringer internal inclusions. | The energy redistribution to the higher-order wave modes that occurred as a monotonic trend did not hold generally at a high frequency. | Lamb and shear horizontal (SH) waves | Axisymmetric defects with varying depth profiles (surface breaking half-elliptical-shaped defects) | Rose et al. [77] | |
| Electromagnetic acoustic transducers (EMAT) | Tomographic reconstruction technique | To propose a novel method for suppressing the unwanted S0 mode according to the Poisson effects of materials through optimising the inclination angle of the equal transduction force of the EMAT employed for detection and generation. | The potential advantage of enhancing the frequency of inspection was known as constant group velocity (CGV) point, where the group velocity remained constant over a broad range of wall thickness differences. The phase velocity allowed the evaluation of accurate wall thickness from phase angle calculations. | A0 and S0 mode | Corrosion, erosion | Nagy et al. [78] | |
| Defect imaging technique | To identify pipe ends and holes in the images obtained by a defect imaging technique. | A defect imaging technique was used to overcome the GW complexities. | Shear horizontal vibration and torsional modes | Surface breaking half-elliptical shape defects | Hayashi et al. [50] | ||
| Thickness shear mode piezoelectric transducers | To show that torsional modes are preferable over longitudinal modes for detecting various defects in pipes. | Different defects (circumferential and longitudinal defects) could be inspected using T(0,1) mode. However, some errors were found in the area behind the defects where GWs did not propagate or reflect back to the transducer | T(0,1) | Longitudinal and circumferential defects | Liu et al. [79] | ||
| Different types of focusing techniques | Focusing inspection technique (applicable for long-range tests) | (1) This measurement technique operated efficiently with volumetric through-wall hole and planar saw cut defects. (2) To report that different shaped defects with the same CSA show different reflections. | Circumferential extent, depth and location of various shaped defects were studied by focusing on 44 circumferential locations around the pipes at a particular distance and the maximum amplitude of the defect signal obtained for each circumferential focal position. Theoretical calculations and experimental results were compared to measure the circumferential lengths of the defects. | T(0,1) | Volumetric spherical shape corrosion, volumetric through-wall hole, planar saw cut | Mu et al. [80] | |
| PA focusing technique and 3D FEM simulation | To improve the results obtained by using UGW inspection by concentrating the energy onto defects and to show that the PA focal location is rarely affected by a limited number of welds. | Focusing could enhance the energy impinging onto the defect, decrease false alarm ratio, increase the distance of GW propagation and locate the defect. The amplitude factors and time delay for GW array focusing were nonlinear functions of the active frequency, excitation condition, pipe size and focal distance. | T(m,1) family | Defects beyond weld | Rose et al. [81] | ||
| (1) Signal-based focusing (SBF) and (2) angular profile tuning (APT) | To discuss and compare two focusing techniques that can increase defect detectability by focusing the UGWs by transducer arrays | (1) SBF focused UGWs by employing cross-correlation analysis. (2) The APT approach depended on a theoretical prediction of the pressure field of UGWs made by an ultrasonic transducer attached to the pipes. | Non-axisymmetric GWs, F(1,m) and F(2,n) | Through-wall hole, circumferential notches | Kang et al. [15] | ||
| Semi analytical method | Experimental and FEM superposition approaches | To reconstruct the RC of a tapered defect by employing the transmission and reflection characteristics of tapered down and up steps. The RC from tapered notches showed a similar form when received from the tapered notch with an average extent. | At high frequencies and at a given taper angle, the tapered defects could not be detected easily because the amplitude of the RC peaks decreased whilst the frequency increased. Inhomogeneous modes of down-step V-notches interacted with those of the up-step ones, causing the RC from V-notches to be lower than that from the tapered defects of the same depth. | T(0,1) | Surface defects | Cawley et al. [82] | |
| FE analysis of 3D scattering of guided waves. | To investigate the 3D scattering of GWs by a through-thickness cavity with an arbitrary shape. | The mode amplitude was measured by writing the nullity of the full stress at the cavity boundary. The results were compared with a solution measured with FE method-efficient models, which allowed very fine meshes to be defined for accurate scattering modelling. | SH and lamb waves (non-propagating and propagating) | Arbitrary shapes: (1) Elliptical (Clusters) and (2) irregular shaped defects | L. Moreau et al. [83] | ||
| GW FE modelling | To propose a procedure for optimising the measurement of the scattering matrix of irregular defects using FEM. | The proposed procedure was in accordance with the combination of effective FE model formulation and the following parameter optimisation: number of incident angles in the scattering matrix, smoothness of defect geometry, size of the absorbing region and element size. | SH0 S0 A0 | Irregular defects/corrosion defect profile | L. Moreau et al. [84] | ||
| FE 3D analysis using RC | To investigate the effects of complex defect profiles on the RC from 3D defects in pipes. The analyses presented a practical approach to determining the maximum depth of complex defects from the RC behaviour. | At a provided maximum depth of a finite defect, the RC peak from defects was a linear function of the circumferential length of the defects and was independent of their shapes. | T(0,1) | Complex-shaped defects | Cawley et al. [85] | ||
| Signal impulse time | With such a signal, the force function energy can efficiently concentrate throughout a finite interval in the frequency and time domains; n expresses the number of pulse cycles, is the signal impulse time, and f is the central frequency. | |
| Signal time step (time increment size) | If the travel distance of the fastest wave mode within a time step follows this condition, then the propagation of guided waves (GWs) would be within an element. In this way, an accurate calculation and analysis of the structure can be ensured. By contrast, the solution could be unpredictable and diverge rapidly if the increment is large. The group velocity Vg expresses the fastest GWs at the determined frequency. Frequency is selected at the beginning of the simulation in accordance with the dispersion curves. Lmax is the element length. | |
| Total time period | This condition ensures that the transducer arrays can receive at least one reflected signal from the pipe end when employing pulse-echo signals to identify the pipe during the simulation. T is the total time of the simulation. L is the pipe length. | |
| Element size | For good convergence, the maximal element size (Lmax) or the spatial sampling interval must be sufficiently small to enable the identification of the smallest wavelength in the computation domain. λmin is the smallest wavelength. Lmax is the maximal element size. | |
| Frequency | f | The excitation frequency is selected at the beginning of the simulation in accordance with the dispersion curves. |
| Follow-up Priority F = C × D | Defect Category, C | |||
|---|---|---|---|---|
| 1 | 2 | 3 | ||
| Directionality distribution (D) | 0 | 0 | 0 | 0 |
| 1 | 1 | 2 | 3 | |
| 2 | 2 | 4 | 6 | |
| 3 | 3 | 6 | 9 | |
| Difficulty Degree | Condition of Surface | Geometry | Pipe Content | |
|---|---|---|---|---|
![]() ![]() | Difficult | Numerous bends | ||
| Concrete coating | Branches | Waxy or sludgy deposits | ||
| Bitumastic coating | ||||
| Plastic coating | ||||
| Heavy pitting | High-viscosity liquid | |||
| Light pitting | ||||
| Fusion-bonded epoxy | Low-viscosity liquid | |||
| Mineral wool insulation | ||||
| Smooth well-bonded paint | Straight length | Gas | ||
| Easy | Bare metal | |||
| Waveguide Condition | Surrounding Medium and Coating Type | Density (kg m−3) | Velocity | Attenuation (dB) | Test Range (m) | Content | Frequency (kHz) | Measurement Technique/Instruments | Ref | ||||
|---|---|---|---|---|---|---|---|---|---|---|---|---|---|
| VL (ms−1) | VS (ms−1) | T(0,1) | L(0,2) | ||||||||||
| Coated and buried (in soil with different depths [D]) steel pipes (two different diameters) | Coal tar enamel-coated and soil | D = 0 m | N/A | N/A | 3250 | 0.17 ± 0.01 | N/A | 2-8 at D = 1.7 m | Moisture | 5 | MsS instrument system for experiment tests | [17] | |
| D = 0.5 m | 0.89 ± 0.03 | 10 | |||||||||||
| D = 1.1 m | 1.72 ± 0.20 | 20 | |||||||||||
| D = 1.7 m | 3.56 ± 0.53 | 30 | |||||||||||
| Ductile iron buried pipe buried | Clay and crushed concrete | Water | 1000 | 1480 | 0 | L(0,1), F(1,1) | 1–10 | Water | 1–5 | On-site GW inspection system | [220] | ||
| Ductile iron pipe | 7100 | 5500 | 3050 | ||||||||||
| Saturated soil | 1000 | 1500 | 25–100 | ||||||||||
| Unsaturated soil | 1900 | 250–1250 | 100 | ||||||||||
| Buried pipe | Loose sand | 1455 | 500 | 120 | T(0,1) | 15–30 | N/A | 10–35 | Experiment with commercial transducer rings (Wavemaker G4 instrument) and disperse modelling software for simulation | [224] | |||
| Compacted sand | 1724 | ||||||||||||
| Fusion-bonded epoxy (FBE)-coated pipe | Loose sand | 1485 | |||||||||||
| Compacted sand | 1635 | ||||||||||||
| polyethylene (PE) foam–FBE-coated pipe | Loose sand | 1475 | |||||||||||
| Compacted sand | 1630 | ||||||||||||
| Coated and buried steel pipe | Steel hollow cylinder | 7860 | 5850 | 3230 | T(m,n) | L(m,n) | N/A | Hollow cylinder pipe | 100–500 | Hybrid SAFE | [47] | ||
| Bitumastic 50 | 1200 | 1900 | 750 | ||||||||||
| Unsaturated soil | 1900 | 1000 | 100 | ||||||||||
| Viscoelastic coated and buried steel pipe | Enamel paint | 1000 | 1680 | 770 | (1) −0.65 (2) −1.26 (3) −15.4 (4) −22 | (1) −0.62 (2) −0.96 | N/A | Hollow pipe | 50 | (1) SAFE and (2) FEM (3) FEM for buried pipe in stiff clay (4) FEM for buried pipe in dense sand | [222] | ||
| Bitumastic 300 M | 600 | 1500 | 680 | (1) −0.33 (2) −0.44 (3) −17.1 (4) −23.1 | (1) −0.31 (2) −0.44 | ||||||||
| Bitumen tape | 1200 | 1900 | 860 | (1) −8.62 (2) −10.65 (3) −27.1 (4) −28.1 | (1) −8.09 (2) −8.65 | ||||||||
| Single-layer FBE | 800 | 1900 | 860 | (1) −0.44 (2) −0.63 (3) −12.6 (4) −19 | (1) −0.4 (2) −0.26 | ||||||||
| Bitumastic 50 | 1200 | 1900 | 750 | (1) −1.72 (2) −2.92 (3) −17 (4) −23.9 | (1) −1.79 (2) −2.73 | ||||||||
| Stiff clay | 1730 | 157 | 64.3 | N/A | N/A | ||||||||
| Dense sand | 1840 | 209 | 100 | N/A | N/A | ||||||||
| Pipe buried in sand (infinite soil medium) | Loose sand | 1455 | 400 | 83 | 2.2~2.5 | 1.5~1.6 | N/A | Hollow cylinder pipe | 11–34 | Transducer rings (Wavemaker G4 instrument system) for experiment tests and data interpretation using disperse modelling software | [219] | ||
| Compacted sand | 1620 | 400 | 118 | 3.5~4.6 | 2.5~2.6 | ||||||||
| Mechanically compacted sand | 1660 | 600 | 122 | 3.5~5.5 | 2.1~3.1 | ||||||||
| Sand under overburden pressure | 1895 | 400 | 44 | 1.6~2 | 1~1.1 | ||||||||
| Water-saturated sand | 1895 | 400 | 77 | 2.7~3.2 | 1.85~1.90 | ||||||||
| Drained sand | 1724 | 400 | 127 | 3.1~5.1 | 2~2.9 | ||||||||
| Buried pipes (with different diameters) in soil (underground within the level of −2~−3.5 m in depth) | PE-coated pipes) (three pipe diameters [D]) | D1 = 88.4 mm | N/A | N/A | N/A | −29~−42 | N/A | <2 | Water | 34–48 | On-site GW inspection using Wavemaker G3 instrument system (experiment tests) | [223] | |
| D2 = 115.6 mm | N/A | N/A | N/A | −13~−19 | N/A | 29–45 | |||||||
| D3 = 168.7 mm | N/A | N/A | N/A | −3~−7 | N/A | 19–30 | |||||||
| Bitumen-coated pipes (three pipe diameters [D]) | D1 = 88.4 mm | N/A | N/A | N/A | −27~−48 | N/A | 34–48 | ||||||
| D2 = 115.6 mm | N/A | N/A | N/A | -21~-30 | N/A | 29–45 | |||||||
| D3 = 168.7 mm | N/A | N/A | N/A | −2~−12 | N/A | 19–30 | |||||||
| 4 mm viscoelastic coated and welded buried pipe in infinite soil | Fibrous coal tar coating | −1 °C | 2500 | 1000 | 2300 | Longitudinal attenuation factor: 0.011 | Shear attenuation factor 0.1 | 12.2 | Hollow cylinder | 25, 30 and 35 | SAFE technique for coated and buried pipes using hybrid focusing technique | [225] | |
| Fibrous coal tar coating | 21 °C | 2500 | 800 | 2100 | Longitudinal attenuation factor: 0.029 | Shear attenuation factor 0.8 | |||||||
| Coated pipes (different wall-thicknesses [WT] and temperatures) | Petrolatum anticorrosion grease (PAG) | 20 °C | N/A | N/A | 78~277 | 8~10 | N/A | 3 | Hollow cylinder | 30 | Piezoelectric ring-shaped sensor system for experiment | [227] | |
| 30 °C | 4~6 | 40 | |||||||||||
| 40 °C | 2~3 | 50 | |||||||||||
| WT = 4 mm | N/A | N/A | 78~277 | 3~10 | N/A | 30 | |||||||
| WT = 5 mm | 3~9 | 40 | |||||||||||
| WT = 6.5 mm | 2~7.5 | 50 | |||||||||||
| Coated pipe | Bitumen | 28 °C | 970 | N/A | 460 | 4.046–4.668 db/m | 7.53 | Hollow pipe | Frequency regime: 0.2–3 | Disperse modelling software and transducer arrays for experiment | [228] | ||
| PE | 950 | N/A | 950 | 2.235–2.453 db/m | 14 | ||||||||
| Mineral wool | 2500 | N/A | 2000 | Near zero | N/A | ||||||||
© 2018 by the authors. Licensee MDPI, Basel, Switzerland. This article is an open access article distributed under the terms and conditions of the Creative Commons Attribution (CC BY) license (http://creativecommons.org/licenses/by/4.0/).
Share and Cite
Ghavamian, A.; Mustapha, F.; Baharudin, B.T.H.T.; Yidris, N. Detection, Localisation and Assessment of Defects in Pipes Using Guided Wave Techniques: A Review. Sensors 2018, 18, 4470. https://doi.org/10.3390/s18124470
Ghavamian A, Mustapha F, Baharudin BTHT, Yidris N. Detection, Localisation and Assessment of Defects in Pipes Using Guided Wave Techniques: A Review. Sensors. 2018; 18(12):4470. https://doi.org/10.3390/s18124470
Chicago/Turabian StyleGhavamian, Aidin, Faizal Mustapha, B.T Hang Tuah Baharudin, and Noorfaizal Yidris. 2018. "Detection, Localisation and Assessment of Defects in Pipes Using Guided Wave Techniques: A Review" Sensors 18, no. 12: 4470. https://doi.org/10.3390/s18124470
APA StyleGhavamian, A., Mustapha, F., Baharudin, B. T. H. T., & Yidris, N. (2018). Detection, Localisation and Assessment of Defects in Pipes Using Guided Wave Techniques: A Review. Sensors, 18(12), 4470. https://doi.org/10.3390/s18124470



