Efficient Matrix-Based Channel Hopping Schemes for Blind Rendezvous in Distributed Cognitive Radio Networks
Abstract
1. Introduction
- (i)
- Asynchronous clocks: Some existing CH schemes (e.g., [15,16]) require the presence of time-synchronization between SUs where SUs are assumed to start their CH sequences simultaneously in order to ensure rendezvous. However, in distributed CRNs, it is difficult and unpractical to employ synchronization among spatially dispersed SUs. Moreover, SUs may start their CH at different instants of time. Therefore, the CH-based rendezvous scheme must support the asynchronous scenario.
- (ii)
- Anonymous information: Some existing CH schemes (e.g., [17,18,19]) rely on the distinct IDs of SUs for distinguishing their CH sequences in order to guarantee rendezvous. However, in a distributed CRN, SUs are usually anonymous and they do not possess public IDs. Moreover, SUs can be easily attacked once their IDs are exposed. Therefore, anonymous CH schemes without IDs are favorable.
- (iii)
- Asymmetric ACSs: In the literature, two models are often considered to describe the channel availability for neighboring SUs, the symmetric and asymmetric models. In the symmetric model, SUs have identical ACSs. Meanwhile, SUs have diverse ACSs in the asymmetric mode, but there must be at least one commonly available channel in order to ensure rendezvous. The CH-based scheme is required to work under both models due to their importance in practice [20]. However, establishing rendezvous under the asymmetric model is more difficult due to the fewer common channels.
- (iv)
- Heterogeneous sensing capabilities: Most of the existing CH schemes are homogeneous where they assume that all SUs can sense and access the whole global channel set (GCS). However, due to the inherent limitation and heterogeneity of CR-sensing capabilities, SUs can only sense and detect fractions of the GCS which are usually heterogeneous among SUs [21,22]. Accordingly, CH schemes which design their CH sequence for heterogeneous CRs are more practical.
- We propose two matrix-based CH schemes, one asymmetric-role named as Quick and Slow CH QS-CH), and one symmetric-role called Interleaved Quick, Slow, and Fixed CH (IQSF-CH). The proposed schemes utilize only the unrestricted local ACSs for generating their CH sequences and can provide deterministic and fast rendezvous with full RD support.
- We prove the guaranteed rendezvous provided by our schemes through deriving the theoretical upper-bound of their MTTRs under the symmetric and asymmetric channel availability models. Also, we conduct extensive simulations to illustrate their superior performance as compared to state-of-art CH rendezvous schemes.
2. Related Work
2.1. Asymmetric-Role Rendezvous Schemes
2.2. Symmetric-Role Rendezvous Schemes
3. System Model and Problem Definition
3.1. System Model
3.2. Rendezvous Problem Formulation
4. Quick and Slow Channel Hopping (QS-CH) Scheme
4.1. Scheme Design
4.1.1. Sender Sequence in QS-CH
| Algorithm 1: Sender CH generation algorithm (Q-CH). |
| Input: Available channels , h-offset. Output: , the Q-CH sequence for the sender SU.
|
4.1.2. Receiver Sequence in QS-CH
| Algorithm 2: Receiver CH generation algorithm (S-CH). |
| Input:, h-offset. Output:, the S-CH sequence for the receiver SU.
|
4.2. Scheme Analysis
5. Interleaved Quick, Slow, and Fixed Channel Hopping (IQSF-CH) Scheme
5.1. Scheme Design
5.1.1. Generating the Seeds
5.1.2. Generating the Interleaved CH Sequence
- i
- Find the hopping offset set which contains the numbers in that are co-primes with .
- ii
- Find as the smallest prime which is not smaller than .
- iii
- Define an empty matrix M which has columns and rows.
- iv
- Fill M by mapping each bit in the seed a to a certain column as described below:
- 1:
- fordo
- 2:
- Select an h-offset randomly from the offset set.
- 3:
- if () then
- 4:
- Invoke (Algorithm 1) in Section 4.1 with and h-offset to generate an Q-CH sequence .
- 5:
- Map the column of the matrix M with .
- 6:
- else
- 7:
- if then
- 8:
- Invoke (Algorithm 2) in Section 4.1 with and h-offset to generate an S-CH sequence .
- 9:
- Map the column of the matrix M with .
- 10:
- else {().}
- 11:
- Fill the column of matrix M with .
- 12:
- end if
- 13:
- end if
- 14:
- end for
- v
- Generate the IQSF-CH sequence by concatenating the matrix rows. The SU keep hopping according to this generated sequence and repeat it to rendezvous with its intended partner.
5.2. Scheme Analysis
6. Performance Evaluation
6.1. Simulation Setup
6.2. Influence of the Number of Licensed Channels (L)
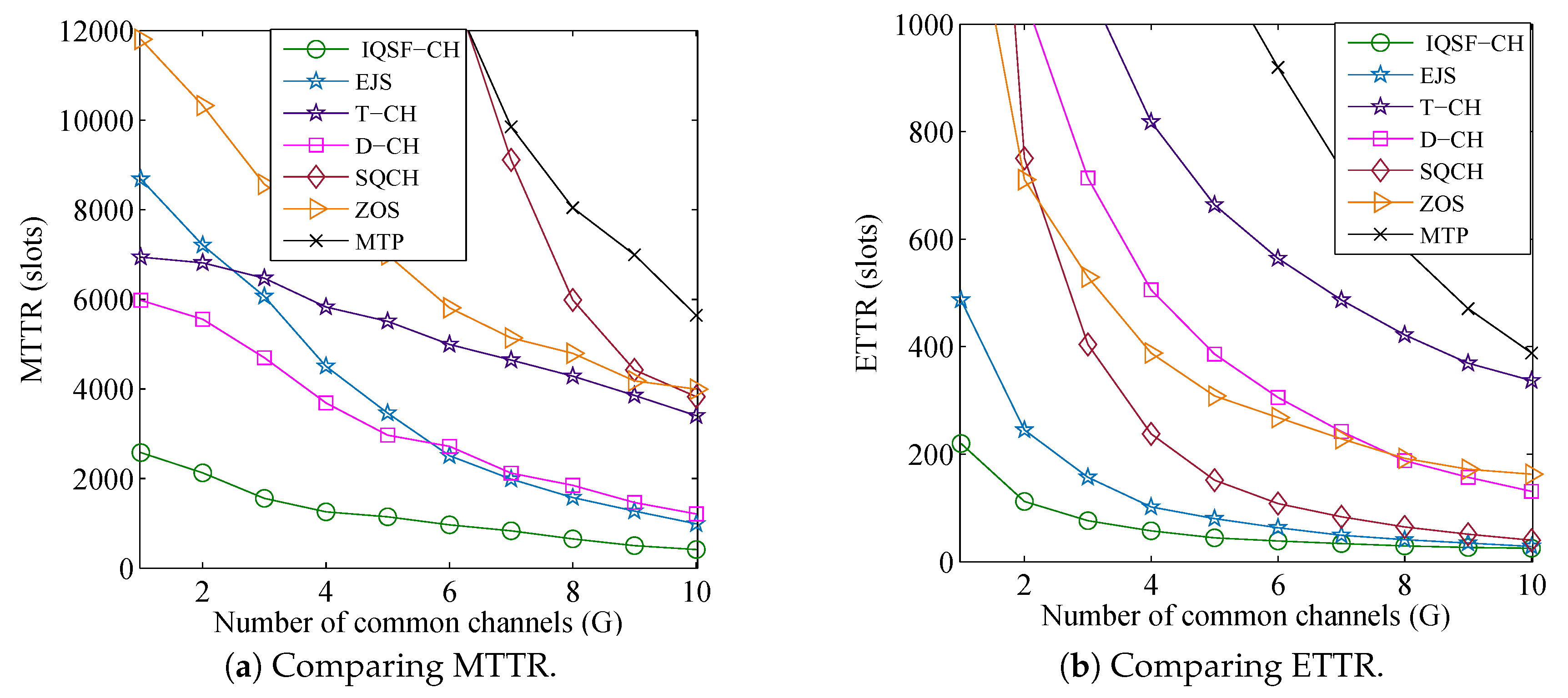
6.3. Influence of the Number of Common Channels (G)
6.4. Influence of Large Number of Available Channels
7. Conclusions
Author Contributions
Funding
Conflicts of Interest
Appendix A
Appendix B. Proof of Theorem 6
References
- Ahmad, A.; Ahmad, S.; Rehmani, M.H.; Hassan, N.U. A Survey on Radio Resource Allocation in Cognitive Radio Sensor Networks. IEEE Commun. Surv. Tutor. 2015, 17, 888–917. [Google Scholar] [CrossRef]
- Liang, Y.C.; Chen, K.C.; Li, G.Y.; Mahonen, P. Cognitive radio networking and communications: An overview. IEEE Trans. Veh. Technol. 2011, 60, 3386–3407. [Google Scholar] [CrossRef]
- Zareei, M.; Islam, A.; Baharun, S.; Vargas-Rosales, C.; Azpilicueta, L.; Mansoor, N. Medium Access Control Protocols for Cognitive Radio Ad Hoc Networks: A Survey. Sensors 2017, 17, 2136. [Google Scholar] [CrossRef] [PubMed]
- Jeon, W.S.; Han, J.A.; Jeong, D.G. A Novel MAC Scheme for Multichannel Cognitive Radio Ad Hoc Networks. IEEE Trans. Mob. Comput. 2012, 11, 922–934. [Google Scholar] [CrossRef]
- Ren, P.; Wang, Y.; Du, Q. CAD-MAC: A Channel-Aggregation Diversity Based MAC Protocol for Spectrum and Energy Efficient Cognitive Ad Hoc Networks. IEEE J. Sel. Areas Commun. 2014, 32, 237–250. [Google Scholar]
- Kwon, S.; Kim, B.; Roh, B.H. Preemptive Opportunistic MAC Protocol in Distributed Cognitive Radio Networks. IEEE Commun. Lett. 2014, 18, 1155–1158. [Google Scholar] [CrossRef]
- Ali, A.; Piran, M.; Kim, H.; Yun, J.; Suh, D. PAD-MAC: Primary User Activity-Aware Distributed MAC for Multi-Channel Cognitive Radio Networks. Sensors 2015, 15, 7658–7690. [Google Scholar] [CrossRef] [PubMed]
- Yang, Z.; Shi, Z.; Jin, C. SACRB-MAC: A High-Capacity MAC Protocol for Cognitive Radio Sensor Networks in Smart Grid. Sensors 2016, 16, 464. [Google Scholar] [CrossRef]
- Singh, K.; Moh, S. An Energy-Efficient and Robust Multipath Routing Protocol for Cognitive Radio Ad Hoc Networks. Sensors 2017, 17, 2027. [Google Scholar] [CrossRef]
- Lo, B.F. A survey of common control channel design in cognitive radio networks. Phys. Commun. 2011, 4, 26–39. [Google Scholar] [CrossRef]
- Joshi, G.P.; Nam, S.Y.; Kim, S.W. Rendezvous Issues in AD Hoc Cognitive Radio Networks. KSII Trans. Int. Inf. Syst. 2014, 8. [Google Scholar] [CrossRef]
- Joshi, G.; Kim, S. A Survey on Node Clustering in Cognitive Radio Wireless Sensor Networks. Sensors 2016, 16, 1465. [Google Scholar] [CrossRef] [PubMed]
- Liu, S.; Lazos, L.; Krunz, M. Cluster-Based Control Channel Allocation in Opportunistic Cognitive Radio Networks. IEEE Trans. Mob. Comput. 2012, 11, 1436–1449. [Google Scholar] [CrossRef]
- Li, X.; Hu, F.; Zhang, H.; Zhang, X. A Cluster-Based MAC Protocol for Cognitive Radio Ad Hoc Networks. Wirel. Pers. Commun. 2013, 69, 937–955. [Google Scholar] [CrossRef]
- Zhang, Y.; Yu, G.; Li, Q.; Wang, H.; Zhu, X.; Wang, B. Channel-Hopping-Based Communication Rendezvous in Cognitive Radio Networks. IEEE/ACM Trans. Netw. 2014, 22, 889–902. [Google Scholar] [CrossRef]
- Chao, C.; Fu, H.; Zhang, L. A Fast Rendezvous-Guarantee Channel Hopping Protocol for Cognitive Radio Networks. IEEE Trans. Veh. Technol. 2015, 64, 5804–5816. [Google Scholar] [CrossRef]
- Bian, K.; Park, J.M. Maximizing Rendezvous Diversity in Rendezvous Protocols for Decentralized Cognitive Radio Networks. IEEE Trans. Mob. Comput. 2013, 12, 1294–1307. [Google Scholar] [CrossRef]
- Chuang, I.H.; Wu, H.Y.; Kuo, Y.H. A Fast Blind Rendezvous Method by Alternate Hop-and-Wait Channel Hopping in Cognitive Radio Networks. IEEE Trans. Mob. Comput. 2014, 13, 2171–2184. [Google Scholar] [CrossRef]
- Gu, Z.; Hua, Q.S.; Dai, W. Fully Distributed Algorithms for Blind Rendezvous in Cognitive Radio Networks. In Proceedings of the 15th ACM International Symposium on Mobile Ad Hoc Networking and Computing (MobiHoc ’14), Philadelphia, PA, USA, 11–14 August 2014; ACM: New York, NY, USA, 2014; pp. 155–164. [Google Scholar]
- Lin, Z.; Liu, H.; Chu, X.; Leung, Y.W. Enhanced Jump-Stay Rendezvous Algorithm for Cognitive Radio Networks. IEEE Commun. Lett. 2013, 17, 1742–1745. [Google Scholar] [CrossRef]
- Gu, Z.; Wang, Y.; Hua, Q.S.; Lau, F.C.M. Rendezvous in Heterogeneous Cognitive Radio Networks. In Rendezvous in Distributed Systems: Theory, Algorithms and Applications; Springer: Singapore, 2017; pp. 215–232. [Google Scholar]
- Yang, B.; Liang, W.; Zheng, M.; Liang, Y.C. Fully Distributed Channel-Hopping Algorithms for Rendezvous Setup in Cognitive Multi-Radio Networks. IEEE Trans. Veh. Technol. 2016, 65, 8629–8643. [Google Scholar] [CrossRef]
- Li, J.; Zhao, H.; Wei, J.; Ma, D.; Zhou, L. Sender-Jump Receiver-Wait: A simple blind rendezvous algorithm for distributed cognitive radio networks. IEEE Trans. Mob. Comput. 2018, 17, 183–196. [Google Scholar] [CrossRef]
- Yu, L.; Liu, H.; Leung, Y.W.; Chu, X.; Lin, Z. Channel-hopping based on available channel set for rendezvous of cognitive radios. In Proceedings of the 2014 IEEE International Conference on Communications (ICC), Sydney, Australia, 10–14 June 2014; pp. 1573–1579. [Google Scholar]
- Bian, K.; Park, J.M. Asynchronous channel hopping for establishing rendezvous in cognitive radio networks. In Proceedings of the 2011 Proceedings IEEE INFOCOM, Shanghai, China, 10–15 April 2011; pp. 236–240. [Google Scholar]
- Chang, G.Y.; Teng, W.H.; Chen, H.Y.; Sheu, J.P. Novel Channel-Hopping Schemes for Cognitive Radio Networks. IEEE Trans. Mob. Comput. 2014, 13, 407–421. [Google Scholar] [CrossRef]
- Guerra, E.O.; Reguera, V.A.; Souza, R.D.; Fernandez, E.G.; Pellenz, M.E. Systematic construction of common channel hopping rendezvous strategies in cognitive radio networks. EURASIP J. Wirel. Commun. Netw. 2015, 2015, 134. [Google Scholar] [CrossRef]
- Yadav, R.N.; Misra, R. Periodic channel-hopping sequence for rendezvous in cognitive radio networks. In Proceedings of the 2015 International Conference on Advances in Computing, Communications and Informatics (ICACCI), Kochi, India, 10–13 August 2015; pp. 1787–1792. [Google Scholar]
- Chang, C.S.; Liao, W.; Wu, T.Y. Tight Lower Bounds for Channel Hopping Schemes in Cognitive Radio Networks. IEEE/ACM Trans. Netw. 2016, 24, 2343–2356. [Google Scholar] [CrossRef]
- Zhang, Y.; Lo, Y.; Wong, W.S. Channel Hopping Sequences for Maximizing Rendezvous Diversity in Cognitive Radio Networks. arXiv, 2016; arXiv:1603.08179. [Google Scholar]
- Sahoo, P.K.; Sahoo, D. Sequence-Based Channel Hopping Algorithms for Dynamic Spectrum Sharing in Cognitive Radio Networks. IEEE J. Sel. Areas Commun. 2016, 34, 2814–2828. [Google Scholar] [CrossRef]
- Sheu, J.P.; Su, C.W.; Chang, G.Y. Asynchronous Quorum-Based Blind Rendezvous Schemes for Cognitive Radio Networks. IEEE Trans. Commun. 2016, 64, 918–930. [Google Scholar] [CrossRef]
- Li, J.; Zhao, H.; Wei, J.; Ma, D.; Zhu, C.; Hu, X.; Zhou, L. Sender-jump receiver-wait: A blind rendezvous algorithm for distributed cognitive radio networks. In Proceedings of the 2016 IEEE 27th Annual International Symposium on Personal, Indoor, and Mobile Radio Communications (PIMRC), Valencia, Spain, 4–8 September 2016; pp. 1–6. [Google Scholar]
- Zhang, Y.; Lo, Y.H.; Wong, W.S. On Channel Hopping Sequences with Full Rendezvous Diversity for Cognitive Radio Networks. IEEE Wirel. Commun. Lett. 2018, 7, 574–577. [Google Scholar] [CrossRef]
- Liu, H.; Lin, Z.; Chu, X.; Leung, Y.W. Jump-Stay Rendezvous Algorithm for Cognitive Radio Networks. IEEE Trans. Parallel Distrib. Syst. 2012, 23, 1867–1881. [Google Scholar] [CrossRef]
- Gu, Z.; Hua, Q.S.; Wang, Y.; Lau, F. Nearly optimal asynchronous blind rendezvous algorithm for Cognitive Radio Networks. In Proceedings of the IEEE SECON Conference, New Orleans, LA, USA, 24–27 June 2013; pp. 371–379. [Google Scholar]
- Chang, G.Y.; Huang, J.F. A Fast Rendezvous Channel-Hopping Algorithm for Cognitive Radio Networks. IEEE Commun. Lett. 2013, 17, 1475–1478. [Google Scholar] [CrossRef]
- Reguera, V.A.; Guerra, E.O.; Souza, R.D.; Fernandez, E.M.G.; Brante, G. Short Channel Hopping Sequence Approach to Rendezvous for Cognitive Networks. IEEE Commun. Lett. 2014, 18, 289–292. [Google Scholar] [CrossRef]
- Ke, C.T.; Sheu, J.P. A Comment on Short Channel Hopping Sequence Approach to Rendezvous for Cognitive Networks. IEEE Commun. Lett. 2014, 18, 1631–1632. [Google Scholar] [CrossRef]
- Chang, G.Y.; Huang, J.F.; Wang, Y.S. Matrix-Based Channel Hopping Algorithms for Cognitive Radio Networks. IEEE Trans. Wirel. Commun. 2015, 14, 2755–2768. [Google Scholar] [CrossRef]
- Wu, S.H.; Wu, C.C.; Hon, W.K.; Shin, K.G. Rendezvous for heterogeneous spectrum-agile devices. In Proceedings of the IEEE Conference on Computer Communications (IEEE INFOCOM 2014), Toronto, ON, Canada, 27 April–2 May 2014; pp. 2247–2255. [Google Scholar]
- Yang, B.; Zheng, M.; Liang, W. Padded-Dyck-Path-Based Rendezvous Algorithms for Heterogeneous Cognitive Radio Networks. In Proceedings of the 2015 24th International Conference on Computer Communication and Networks (ICCCN), Las Vegas, NV, USA, 3–6 August 2015; pp. 1–8. [Google Scholar]
- Gu, Z.; Pu, H.; Hua, Q.S.; Lau, F.C.M. Improved rendezvous algorithms for heterogeneous cognitive radio networks. In Proceedings of the 2015 IEEE Conference on Computer Communications (INFOCOM), Kowloon, Hong Kong, 26 April–1 May 2015; pp. 154–162. [Google Scholar]
- Lin, Z.; Liu, H.; Yu, L.; Leung, Y.; Chu, X. ZOS: A Fast Rendezvous Algorithm Based on Set of Available Channels for Cognitive Radios. arXiv, 2015; arXiv:1506.00744. [Google Scholar]
- Li, A.; Han, G.; Rodrigues, J.J.P.C.; Chan, S. Channel Hopping Protocols for Dynamic Spectrum Management in 5G Technology. IEEE Wirel. Commun. 2017, 24, 102–109. [Google Scholar] [CrossRef]
- Wu, C.C.; Wu, S.H. On Bridging the Gap Between Homogeneous and Heterogeneous Rendezvous Schemes for Cognitive Radios. In Proceedings of the Fourteenth ACM International Symposium on Mobile Ad Hoc Networking and Computing (MobiHoc ’13), Bangalore, India, 29 July–1 August 2013; ACM: New York, NY, USA, 2013; pp. 207–216. [Google Scholar]
- Chen, L.; Bian, K.; Chen, L.; Liu, C.; Park, J.M.J.; Li, X. A Group-theoretic Framework for Rendezvous in Heterogeneous Cognitive Radio Networks. In Proceedings of the 15th ACM International Symposium on Mobile Ad Hoc Networking and Computing (MobiHoc ’14), Philadelphia, PA, USA, 11–14 August 2014; ACM: New York, NY, USA, 2014; pp. 165–174. [Google Scholar]
- Ali, A.; Hamouda, W. Advances on Spectrum Sensing for Cognitive Radio Networks: Theory and Applications. IEEE Commun. Surv. Tutor. 2017, 19, 1277–1304. [Google Scholar] [CrossRef]
- Anabi, H.K.; Nordin, R.; Abdulghafoor, O.B.; Sali, A.; Mohamedou, A.; Almqdshi, A.; Abdullah, N.F. From Sensing to Predictions and Database Technique: A Review of TV White Space Information Acquisition in Cognitive Radio Networks. Wirel. Pers. Commun. 2017, 96, 6473–6502. [Google Scholar] [CrossRef]
- Stevenson, C.R.; Chouinard, G.; Lei, Z.; Hu, W.; Shellhammer, S.J.; Caldwell, W. IEEE 802.22: The first cognitive radio wireless regional area network standard. IEEE Commun. Mag. 2009, 47, 130–138. [Google Scholar] [CrossRef]
- Niven, I.; Zuckerman, H.S.; Mongomery, H.L. An Introduction to the Theory of Numbers; John Wiley and Sons: Hoboken, NJ, USA, 1991. [Google Scholar]
- Al-Mqdashi, A.; Sali, A.; Noordin, N.; Hashim, S.; Nordin, R. Combined Sector and Channel Hopping Schemes for Efficient Rendezvous in Directional Antenna Cognitive Radio Networks. Wirel. Commun. Mob. Comput. 2017, 2017. [Google Scholar] [CrossRef]













| Scheme | MTTR | Full | Class | |
|---|---|---|---|---|
| Symmetric Model | Asymmetric Model | RD | ||
| ACH [25] | ✓ | GC | ||
| ARCH [26] | ✓ | GC | ||
| CSAC [24] | − | (i) , (when ) | ✓ | LC |
| (ii) , (when ) | ||||
| FDCH-RB [27] | (i) L , (when L is even) | (i) , (when L is even) | ✓ | GC |
| (ii) , (when L is odd) | (ii) , (when L is odd) | |||
| PCH [28] | ✓ | GC | ||
| WFM [29] | ✓ | GC | ||
| D-QCH [32] | ✓ | LC | ||
| FARCH [30,34] | (i) , (when L is even) | ✓ | GC | |
| (ii) L, (when L is odd) | ||||
| AAsync [31] | − | ✓ | GC | |
| SJ-RW [23,33] | ✓ | LC | ||
| QS-CH | (i) , (when ) | ✓ | LC | |
| (ii) , (when ) | ||||
| [This paper] | (iii) , (when ) | |||
| Scheme | MTTR | No | Full | Class | |
|---|---|---|---|---|---|
| Symmetric Model | Asymmetric Model | ID | RD | ||
| JS [35] | ✓ | ✓ | GC | ||
| EJS [20] | ✓ | ✓ | GC | ||
| S-ACH [17] | X | ✓ | GC | ||
| E-AHW [18] | X | ✓ | GC | ||
| DRDS [36] | ✓ | ✓ | GC | ||
| FRCH [37] | ✓ | X | GC | ||
| SSB [38] | ✓ | X | GC | ||
| SARCH [26] | ✓ | X | GC | ||
| HH [41] | − | ✓ | ✓ | LC | |
| T-CH [40] | − | ✓ | ✓ | GC | |
| D-CH [40] | − | X | ✓ | GC | |
| CBH [19] | − | X | ✓ | LC | |
| PDP [42] | − | ✓ | X | GC | |
| L-PDP [42] | − | ✓ | X | LC | |
| MTP [21,43] | ✓ | ✓ | LC | ||
| ZOS [44] | − | log | ✓ | ✓ | LC |
| SSS [22] | (i) , (when or ) | ✓ | ✓ | LC | |
| (ii) , (when ) | |||||
| S-QCH [32] | ✓ | ✓ | GC | ||
| IQSF-CH | log | (i) log (when ) | ✓ | ✓ | LC |
| This paper | (ii) log, (when ) | ||||
| Parameter | Value | ||
|---|---|---|---|
| Setting I | Setting II | Setting III | |
| Number of global licensed channels | 50 | 30 | |
| Number of local available channels for SU | 10 | ||
| Number of local available channels for SU | 15 | ||
| Number of commonly available channels | 3 | ||
© 2018 by the authors. Licensee MDPI, Basel, Switzerland. This article is an open access article distributed under the terms and conditions of the Creative Commons Attribution (CC BY) license (http://creativecommons.org/licenses/by/4.0/).
Share and Cite
Al-Mqdashi, A.; Sali, A.; Noordin, N.k.; Hashim, S.J.; Nordin, R. Efficient Matrix-Based Channel Hopping Schemes for Blind Rendezvous in Distributed Cognitive Radio Networks. Sensors 2018, 18, 4360. https://doi.org/10.3390/s18124360
Al-Mqdashi A, Sali A, Noordin Nk, Hashim SJ, Nordin R. Efficient Matrix-Based Channel Hopping Schemes for Blind Rendezvous in Distributed Cognitive Radio Networks. Sensors. 2018; 18(12):4360. https://doi.org/10.3390/s18124360
Chicago/Turabian StyleAl-Mqdashi, AbdulMajid, Aduwati Sali, Nor kamariah Noordin, Shaiful J. Hashim, and Rosdiadee Nordin. 2018. "Efficient Matrix-Based Channel Hopping Schemes for Blind Rendezvous in Distributed Cognitive Radio Networks" Sensors 18, no. 12: 4360. https://doi.org/10.3390/s18124360
APA StyleAl-Mqdashi, A., Sali, A., Noordin, N. k., Hashim, S. J., & Nordin, R. (2018). Efficient Matrix-Based Channel Hopping Schemes for Blind Rendezvous in Distributed Cognitive Radio Networks. Sensors, 18(12), 4360. https://doi.org/10.3390/s18124360

