Adaptive Beamforming Applied to OFDM Systems
Abstract
:1. Introduction
2. OFDM Communication System and Beamforming
3. Proposed Method for OFDM Adaptive Antenna Array
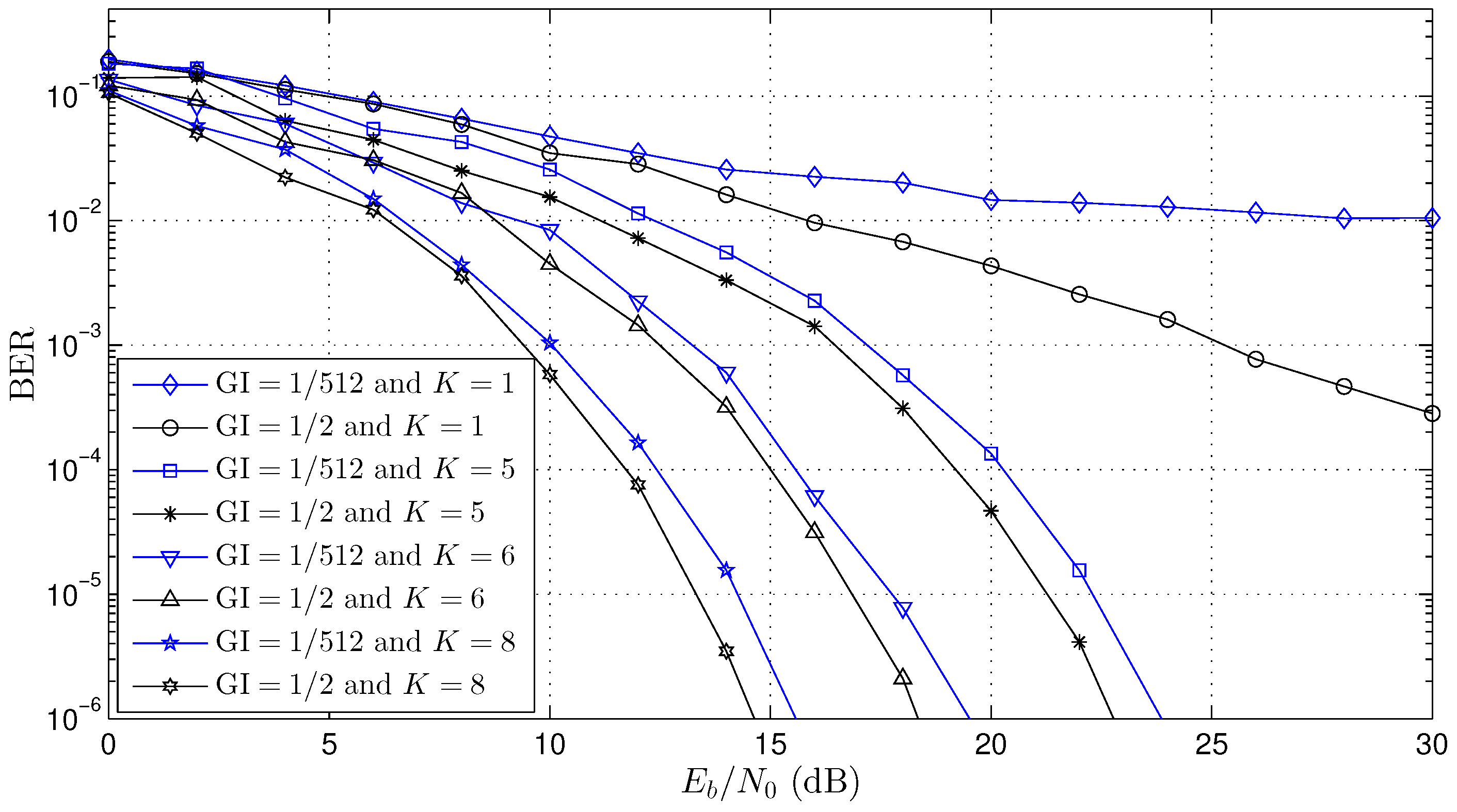
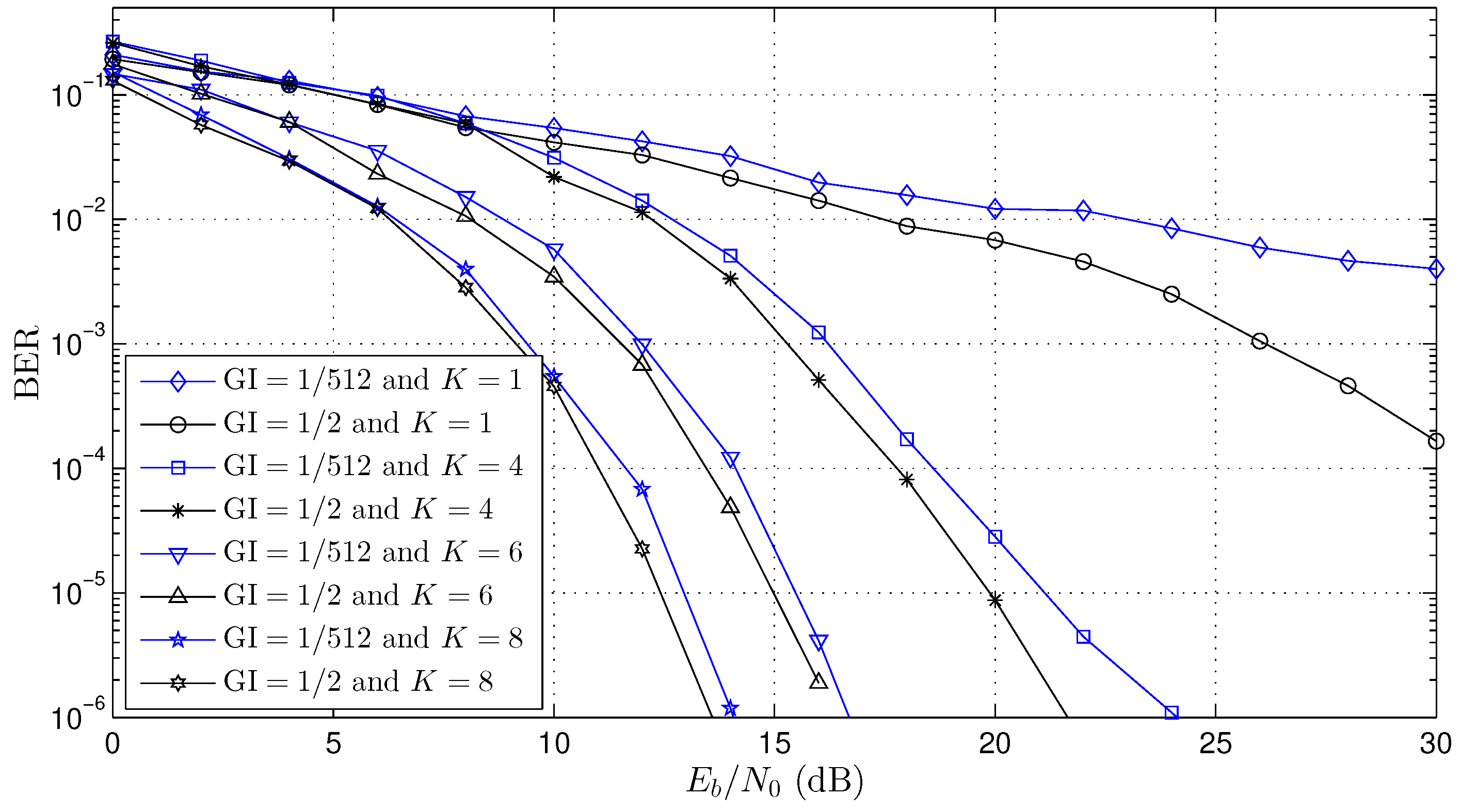
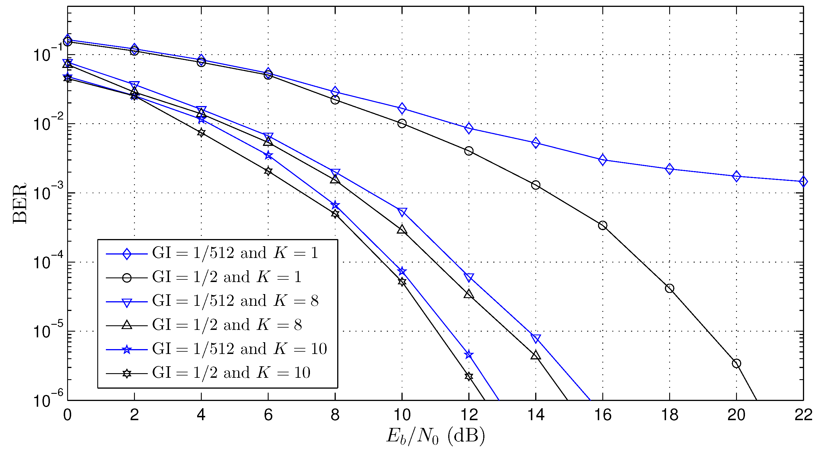
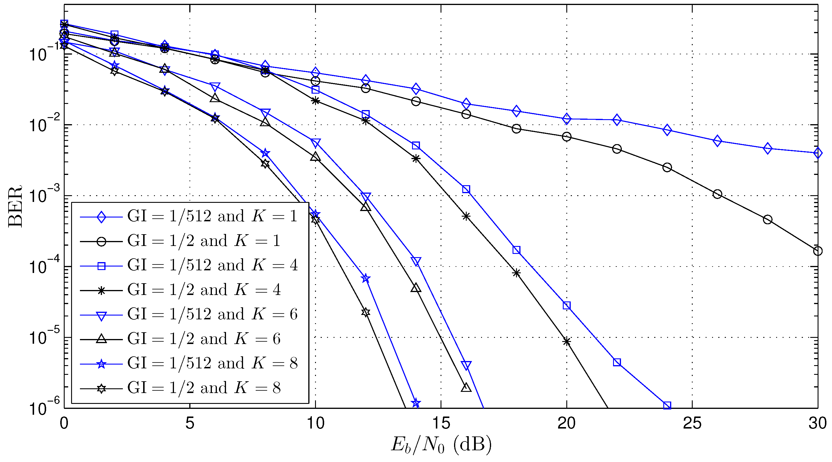
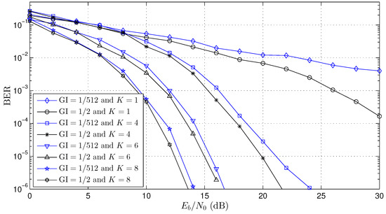
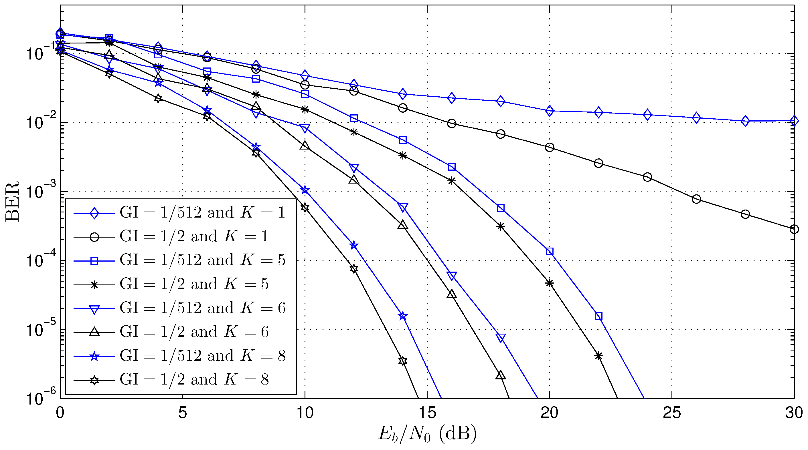
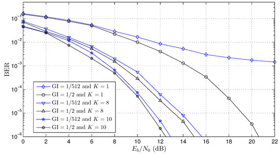
4. Simulations and Results
5. Conclusions
Author Contributions
Funding
Acknowledgments
Conflicts of Interest
References
- Proakis, J. Digital Communications; McGraw-Hill Science/Engineering/Math: New York, NY, USA, 2000. [Google Scholar]
- Liberti, J.C.; Rappaport, T.S. Smart Antennas for Wireless Communications: IS-95 and Third Generation CDMA Applications; Prentice-Hall PTR: Upper Saddle River, NJ, USA, 1990. [Google Scholar]
- Haykin, S. Adaptive Filter Theory, 4th ed.; Prentice Hall: Upper Saddle River, NJ, USA, 2001. [Google Scholar]
- Hanzo, L.; Munster, M.; Choi, B.; Keller, T. OFDM and MC-CDMA for Broadband Multi-User Communications, WLANs and Broadcasting; Wiley-IEEE Press: Hoboken, NJ, USA, 2003. [Google Scholar]
- Sato, A.; Shitomi, T.; Takeuchi, T.; Okano, M.; Tsuchida, K. Transmission performance evaluation of LDPC coded OFDM over actual propagation channels in urban area. Examination for next-generation ISDB-T. In Proceedings of the 2017 IEEE International Symposium on Broadband Multimedia Systems and Broadcasting (BMSB), Geneva, Switzerland, 7–9 June 2017; pp. 1–5. [Google Scholar] [CrossRef]
- Polak, L.; Kratochvil, T. Measurement and evaluation of IQ-Imbalances in DVB-T and DVB-T2-Lite OFDM modulators. In Proceedings of the 2017 40th International Conference on Telecommunications and Signal Processing (TSP), Barcelona, Spain, 5–7 July 2017; pp. 555–558. [Google Scholar] [CrossRef]
- International Telecommunication Union. Channel Coding, Frame Structure and Modulation Scheme for Terrestrial Integrated Services Digital Broadcasting (ISDB-T); Technical Report ITU-R 205/11, ITU; International Telecommunication Union: Geneva, Switzerland, 1999. [Google Scholar]
- Norma Brasileira ABNT NBR 15601. Televisão Digital Terrestre–Sistema de Transmissão; Technical Report ABNT NBR 15601; Brazilian National Standards Organization: Sao Paulo, Brazil, 2008. [Google Scholar]
- Almeida, J.J.H.; Lopes, P.; Akamine, C.; Omar, N. An Application of Neural Networks to Channel Estimation of the ISDB-TB FBMC System. arXiv, 2018; arXiv:1803.01141. [Google Scholar]
- Luvisotto, M.; Pang, Z.; Dzung, D. Ultra High Performance Wireless Control for Critical Applications: Challenges and Directions. IEEE Trans. Ind. Inf. 2017, 13, 1448–1459. [Google Scholar] [CrossRef]
- Glisic, S.G. Advanced Wireless Networks: 4G Technologies.; Wiley: Hoboken, NJ, USA, 2006. [Google Scholar]
- Bloessl, B.; Klingler, F.; Missbrenner, F.; Sommer, C. A systematic study on the impact of noise and OFDM interference on IEEE 802.11 p. In Proceedings of the 2017 IEEE Vehicular Networking Conference (VNC), Torino, Italy, 27–29 November 2017; pp. 287–290. [Google Scholar]
- Liu, W.C.; Wei, T.C.; Huang, Y.S.; Chan, C.D.; Jou, S.J. All-Digital Synchronization for SC/OFDM Mode of IEEE 802.15. 3c and IEEE 802.11 ad. IEEE Trans. Circuits Syst. 2015, 62, 545–553. [Google Scholar] [CrossRef]
- Tsiropoulou, E.E.; Kapoukakis, A.; Papavassiliou, S. Uplink resource allocation in SC-FDMA wireless networks: A survey and taxonomy. Comput. Netw. 2016, 96, 1–28. [Google Scholar] [CrossRef]
- Myung, H.G.; Lim, J.; Goodman, D.J. Single carrier FDMA for uplink wireless transmission. IEEE Veh. Technol. Mag. 2006, 1, 30–38. [Google Scholar] [CrossRef]
- Tsiropoulou, E.E.; Kapoukakis, A.; Papavassiliou, S. Energy-efficient subcarrier allocation in SC-FDMA wireless networks based on multilateral model of bargaining. In Proceedings of the 2013 IFIP Networking Conference, Valencia, Spain, 9–13 May 2013; pp. 1–9. [Google Scholar]
- Myung, H.G.; Goodman, D.J. Single Carrier FDMA: A New Air Interface for Long Term Evolution; John Wiley & Sons: Hoboken, NJ, USA, 2008; Volume 8. [Google Scholar]
- Myung, H.G. Introduction to single carrier FDMA. In Proceedings of the EUSIPCO, Poznań, Poland, 3–7 September 2007; pp. 2144–2148. [Google Scholar]
- Seydnejad, S.; Akhzari, S. A combined time-frequency domain beamforming method for OFDM systems. In Proceedings of the 2010 International ITG Workshop on Smart Antennas (WSA), Bremen, Germany, 23–24 February 2010; pp. 292–299. [Google Scholar] [CrossRef]
- Alihemmati, R.; Jedari, E.; Enayati, A.; Shishegar, A.A.; Roozbahani, M.; Dadashzadeh, G. Performance of the Pre/Post-FFT Smart Antenna Methods for OFDM-Based Wireless LANs in an Indoor Channel with Interference. In Proceedings of the 2006 ICC ’06 IEEE International Conference on Communications, Istanbul, Turkey, 11–15 June 2006; Volume 9, pp. 4291–4296. [Google Scholar] [CrossRef]
- Pham, D.H.; Gao, J.; Tabata, T.; Asato, H.; Hori, S.; Wada, T. Implementation of Joint Pre-FFT Adaptive Array Antenna and Post-FFT Space Diversity Combining for Mobile ISDB-T Receiver. IEICE Trans. 2008, 91-B, 127–138. [Google Scholar] [CrossRef]
- Seydnejad, S.R.; Akhzari, S. Performance evaluation of pre-and post-FFT beamforming methods in pilot-assisted SIMO-OFDM systems. Telecommun. Syst. 2016, 61, 471–487. [Google Scholar] [CrossRef]
- Raviteja, P.; Hong, Y.; Viterbo, E. Millimeter Wave Analog Beamforming With Low Resolution Phase Shifters for Multiuser Uplink. IEEE Trans. Veh. Technol. 2018, 67, 3205–3215. [Google Scholar] [CrossRef]
- Maneiro-Catoira, R.; Brégains, J.; García-Naya, J.A.; Castedo, L. Analog Beamforming Using Time-Modulated Arrays With Digitally Preprocessed Rectangular Sequences. IEEE Antennas Wirel. Propag. Lett. 2018, 17, 497–500. [Google Scholar] [CrossRef]
- Elnoubi, S.; Abdallah, W. Minimum bit error rate (MBER) pre-FFT beamforming for OFDM communication systems. In Proceedings of the 2012 Japan-Egypt Conference on Electronics, Communications and Computers (JEC-ECC), Alexandria, Egypt, 6–9 March 2012; pp. 127–132. [Google Scholar] [CrossRef]
- Tabata, T.; Fujimoto, M.; Hori, S.; Wada, T.; Asato, H. Incoming waves separating adaptive array for ISDB-T mobile reception. In Proceedings of the 2016 International Symposium on Antennas and Propagation (ISAP), Okinawa, Japan, 24–28 October 2016; pp. 1056–1057. [Google Scholar]
- Matsuoka, H.; Kasami, H.; Tsuruta, M.; Shoki, H. A smart antenna with pre- and post-FFT hybrid domain beamforming for broadband OFDM system. In Proceedings of the WCNC IEEE 2006 Wireless Communications and Networking Conference, Las Vegas, NV, USA, 3–6 April 2006; Volume 4, pp. 1916–1920. [Google Scholar] [CrossRef]
- Alihemmati, R.; Shishegar, A.A.; Hojjat, N.; Dadashzadeh, G.; Boghrati, B.; Mehrtash, A. Comparison of the Smart Antenna Architectures for OFDM-WLAN Systems in a Rich Multipath Environment based on a Spatio-Temporal Channel Model. In Proceedings of the PIMRC 2005 IEEE 16th International Symposium on, Personal, Indoor and Mobile Radio Communications, Berlin, Germany, 11–14 September 2005; Volume 1, pp. 97–101. [Google Scholar] [CrossRef]
- Zhang, X.; Feng, B.; Xu, D. Blind joint symbol detection and DOA estimation for OFDM system with antenna array. Wirel. Pers. Commun. 2008, 46, 371–383. [Google Scholar] [CrossRef]
- Hong, Y.J. Vigorous Study on Pre-FFT Smart Antennas in OFDM. In Proceedings of the 2011 Eighth International Conference on Information Technology: New Generations, Las Vegas, NV, USA, 11–13 April 2011; pp. 131–134. [Google Scholar] [CrossRef]
- Lei, Z.; Chin, F. Post and pre-FFT beamforming in an OFDM system. In Proceedings of the 2004 IEEE 59th Vehicular Technology Conference, 2004, VTC 2004-Spring, Milan, Italy, 17–19 May 2004; Volume 1, pp. 39–43. [Google Scholar] [CrossRef]
- Kim, C.K.; Lee, K.; Cho, Y.S. Adaptive beamforming algorithm for OFDM systems with antenna arrays. IEEE Trans. Consumer Electron. 2000, 46, 1052–1058. [Google Scholar] [CrossRef]
- Seydnejad, S.; Akhzari, M.S. CCI suppression and channel equalization in pilot-assisted OFDM systems by space-time beamforming. In Proceedings of the 2011 International Conference on Communications and Signal Processing, Brussels, Belgium, 11–14 September 2011; pp. 14–18. [Google Scholar] [CrossRef]
- Gökceli, S.; Uslu, M.; Kurt, G.K.; Özbek, B.; Alakoca, H.; Durmaz, M.A. Implementation of pre-FFT beamforming in MIMO-OFDM. In Proceedings of the 2015 9th International Conference on Electrical and Electronics Engineering (ELECO), Bursa, Turkey, 26–28 November 2015; pp. 264–268. [Google Scholar] [CrossRef]
- Wu, C.F.; Chen, C.H.; Shiue, M.T. Decision-Directed Beamforming and Channel Equalization Algorithm for IEEE 802.11n OFDM Systems. In Proceedings of the 2016 International Symposium on Computer, Consumer and Control (IS3C), Xi’an, China, 4–6 July 2016; pp. 220–223. [Google Scholar] [CrossRef]
- Alkhateeb, A.; Alex, S.; Varkey, P.; Li, Y.; Qu, Q.; Tujkovic, D. Deep Learning Coordinated Beamforming for Highly-Mobile Millimeter Wave Systems. arXiv, 2018; arXiv:1804.10334. [Google Scholar]
- Tsinos, C.G.; Ottersten, B. An Efficient Algorithm for Unit-Modulus Quadratic Programs With Application in Beamforming for Wireless Sensor Networks. IEEE Signal Process. Lett. 2018, 25, 169–173. [Google Scholar] [CrossRef]
- Gangaju, S.; Satyal, S. Adaptive RLS Beamforming for MIMO-OFDM using VBLAST. Int. J. Comput. Appl. 2015, 124, 975. [Google Scholar] [CrossRef]








| Notation | Description |
|---|---|
| GI | The guard interval |
| C | Number of the carriers |
| Number of the data carriers | |
| Number of the pilot carriers | |
| Zero padding size | |
| T | OFDM symbol period |
| The sampling period of the OFDM symbol | |
| The number of the GI samples | |
| L | The number of paths of the channel |
| The complex gain of the i-th path | |
| The delay of the i-th path | |
| K | The number of the antenna elements |
| Space between the antenna elements |
| Space between the Antenna Elements () | |
|---|---|
| Sampling period of the OFDM symbol () | 0.1230 s |
| Number of the data carriers () | 1248 carriers |
| Number of the pilot carriers () | 156 carriers |
| Zero padding size () | 644 carriers |
| Number of the carriers (C) | 2048 carriers |
| OFDM symbol period (T) | 251.9040 s |
| Modulation | 16-QAM |
| Pilots | Spread (SBTVDstandard [8]) |
| Channel coding | none |
| Channel 1 | s | ||||||
| dB | |||||||
| AOA | |||||||
| Channel 2 | s | ||||||
| dB | |||||||
| AOA | |||||||
| Channel 3 | s | ||||||
| dB | |||||||
| AOA |
© 2018 by the authors. Licensee MDPI, Basel, Switzerland. This article is an open access article distributed under the terms and conditions of the Creative Commons Attribution (CC BY) license (http://creativecommons.org/licenses/by/4.0/).
Share and Cite
De Sousa, T.F.B.; Arantes, D.S.; Fernandes, M.A.C. Adaptive Beamforming Applied to OFDM Systems. Sensors 2018, 18, 3558. https://doi.org/10.3390/s18103558
De Sousa TFB, Arantes DS, Fernandes MAC. Adaptive Beamforming Applied to OFDM Systems. Sensors. 2018; 18(10):3558. https://doi.org/10.3390/s18103558
Chicago/Turabian StyleDe Sousa, Tiago F. B., Dalton S. Arantes, and Marcelo A. C. Fernandes. 2018. "Adaptive Beamforming Applied to OFDM Systems" Sensors 18, no. 10: 3558. https://doi.org/10.3390/s18103558
APA StyleDe Sousa, T. F. B., Arantes, D. S., & Fernandes, M. A. C. (2018). Adaptive Beamforming Applied to OFDM Systems. Sensors, 18(10), 3558. https://doi.org/10.3390/s18103558

