Ex Vivo Evaluation of Cementless Acetabular Cup Stability Using Impact Analyses with a Hammer Instrumented with Strain Sensors
Abstract
1. Introduction
2. Materials and Methods
2.1. Bone Specimen and Acetabular Cup Implant
2.2. Experimental Set-Up for Impaction
2.3. Signal Processing
2.4. Pull-Out Mechanical Test
2.5. Experimental Protocol
2.6. Statistical Analyses
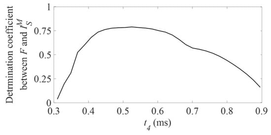
3. Results
4. Discussion
5. Conclusions
Acknowledgments
Author Contributions
Conflicts of Interest
References
- Adler, E.; Stuchin, S.A.; Kummer, F.J. Stability of press-fit acetabular cups. J. Arthroplast. 1992, 7, 295–301. [Google Scholar] [CrossRef]
- Macdonald, W.; Carlsson, L.V.; Charnley, G.J.; Jacobsson, C.M. Press-fit acetabular cup fixation: Principles and testing. Proc. Inst. Mech. Eng. Part H J. Eng. Med. 1999, 213, 33–39. [Google Scholar] [CrossRef] [PubMed]
- Morscher, E.; Bereiter, H.; Lampert, C. Cementless Press-Fit Cup Principles, Experimental Data, and Three-Year Follow-Up Study. Clin. Orthop. Relat. Res. 1989, 249, 12–20. [Google Scholar] [CrossRef]
- Illgen, R., 2nd; Rubash, H.E. The optimal fixation of the cementless acetabular component in primary total hip arthroplasty. J. Am. Acad. Orthop. Surg. 2002, 10, 43–56. [Google Scholar] [CrossRef] [PubMed]
- Perona, P.G.; Lawrence, J.; Paprosky, W.G.; Patwardhan, A.G.; Sartori, M. Acetabular micromotion as a measure of initial implant stability in primary hip arthroplasty. An in vitro comparison of different methods of initial acetabular component fixation. J. Arthroplast. 1992, 7, 537–547. [Google Scholar] [CrossRef]
- Won, C.H.; Hearn, T.C.; Tile, M. Micromotion of cementless hemispherical acetabular components. Does press-fit need adjunctive screw fixation? J. Bone Jt. Surg. Br. Vol. 1995, 77, 484–489. [Google Scholar]
- Goldberg, V.M. Revision of failure acetabular components with cementless acetabular components. Am. J. Orthop. 2002, 31, 206–207. [Google Scholar] [PubMed]
- Hamilton, W.G.; Calendine, C.L.; Beykirch, S.E.; Hopper, R.H., Jr.; Engh, C.A. Acetabular fixation options: First-generation modular cup curtain calls and caveats. J. Arthroplast. 2007, 22, 75–81. [Google Scholar] [CrossRef] [PubMed]
- Kwong, L.M.; O’Connor, D.O.; Sedlacek, R.C.; Krushell, R.J.; Maloney, W.J.; Harris, W.H. A quantitative in vitro assessment of fit and screw fixation on the stability of a cementless hemispherical acetabular component. J. Arthroplast. 1994, 9, 163–170. [Google Scholar] [CrossRef]
- Albrektsson, T.; Johansson, C. Osteoinduction, osteoconduction and osseointegration. Eur. Spine J. 2001, 10 (Suppl. 2), S96–S101. [Google Scholar] [PubMed]
- Bashutski, J.D.; D’Silva, N.J.; Wang, H.L. Implant compression necrosis: Current understanding and case report. J. Periodontol. 2009, 80, 700–704. [Google Scholar] [CrossRef] [PubMed]
- Pilliar, R.M.; Lee, J.M.; Maniatopoulos, C. Observations on the effect of movement on bone ingrowth into porous-surfaced implants. Clin. Orthop. Relat. Res. 1986, 208, 108–113. [Google Scholar] [CrossRef]
- Sakai, R.; Kikuchi, A.; Morita, T.; Takahira, N.; Uchiyama, K.; Yamamoto, T.; Moriya, M.; Uchida, K.; Fukushima, K.; Tanaka, K.; et al. Hammering sound frequency analysis and prevention of intraoperative periprosthetic fractures during total hip arthroplasty. Hip Int. 2011, 21, 718–723. [Google Scholar] [CrossRef] [PubMed]
- Benazzo, F.; Formagnana, M.; Bargagliotti, M.; Perticarini, L. Periprosthetic acetabular fractures. Int. Orthop. 2015, 39, 1959–1963. [Google Scholar] [CrossRef] [PubMed]
- Shalabi, M.M.; Wolke, J.G.; Cuijpers, V.M.; Jansen, J.A. Evaluation of bone response to titanium-coated polymethyl methacrylate resin (PMMA) implants by X-ray tomography. J. Mater. Sci. Mater. Med. 2007, 18, 2033–2039. [Google Scholar] [CrossRef] [PubMed]
- Hecht, S.; Adams, W.H.; Narak, J.; Thomas, W.B. Magnetic resonance imaging susceptibility artifacts due to metallic foreign bodies. Vet. Radiol. Ultrasound 2011, 52, 409–414. [Google Scholar] [CrossRef] [PubMed]
- Hayashi, M.; Kobayashi, C.; Ogata, H.; Yamaoka, M.; Ogiso, B. A no-contact vibration device for measuring implant stability. Clin. Oral Implants Res. 2010, 21, 931–936. [Google Scholar] [CrossRef] [PubMed]
- Pastrav, L.C.; Jaecques, S.V.; Jonkers, I.; Perre, G.V.; Mulier, M. In vivo evaluation of a vibration analysis technique for the per-operative monitoring of the fixation of hip prostheses. J. Orthop. Surg. Res. 2009, 4, 10. [Google Scholar] [CrossRef] [PubMed]
- Pastrav, L.C.; Jaecques, S.V.; Mulier, M.; Van Der Perre, G. Detection of the insertion end point of cementless hip prostheses using the comparison between successive frequency response functions. J. Appl. Biomater. Biomech. 2008, 6, 23–29. [Google Scholar] [PubMed]
- Lannocca, M.; Varini, E.; Cappello, A.; Cristofolini, L.; Bialoblocka, E. Intra-operative evaluation of cementless hip implant stability: A prototype device based on vibration analysis. Med. Eng. Phys. 2007, 29, 886–894. [Google Scholar] [CrossRef] [PubMed]
- Cristofolini, L.; Varini, E.; Pelgreffi, I.; Cappello, A.; Toni, A. Device to measure intra-operatively the primary stability of cementless hip stems. Med. Eng. Phys. 2006, 28, 475–482. [Google Scholar] [CrossRef] [PubMed]
- Alshuhri, A.A.; Holsgrove, T.P.; Miles, A.W.; Cunningham, J.L. Non-invasive vibrometry-based diagnostic detection of acetabular cup loosening in total hip replacement (THR). Med. Eng. Phys. 2017. [Google Scholar] [CrossRef] [PubMed]
- Alshuhri, A.A.; Holsgrove, T.P.; Miles, A.W.; Cunningham, J.L. Development of a non-invasive diagnostic technique for acetabular component loosening in total hip replacements. Med. Eng. Phys. 2015, 37, 739–745. [Google Scholar] [CrossRef] [PubMed]
- Rieger, J.S.; Jaeger, S.; Schuld, C.; Kretzer, J.P.; Bitsch, R.G. A vibrational technique for diagnosing loosened total hip endoprostheses: An experimental sawbone study. Med. Eng. Phys. 2013, 35, 329–337. [Google Scholar] [CrossRef] [PubMed]
- Henys, P.; Capek, L.; Fencl, J.; Prochazka, E. Evaluation of acetabular cup initial fixation by using resonance frequency principle. Proc. Inst. Mech. Eng. Part H J. Eng. Med. 2015, 229, 3–8. [Google Scholar] [CrossRef] [PubMed]
- Goossens, Q.; Leuridan, S.; Henys, P.; Roosen, J.; Pastrav, L.; Mulier, M.; Desmet, W.; Denis, K.; Vander Sloten, J. Development of an acoustic measurement protocol to monitor acetabular implant fixation in cementless total hip Arthroplasty: A preliminary study. Med. Eng. Phys. 2017. [Google Scholar] [CrossRef] [PubMed]
- Mathieu, V.; Michel, A.; Flouzat Lachaniette, C.H.; Poignard, A.; Hernigou, P.; Allain, J.; Haiat, G. Variation of the impact duration during the in vitro insertion of acetabular cup implants. Med. Eng. Phys. 2013, 35, 1558–1563. [Google Scholar] [CrossRef] [PubMed]
- Michel, A.; Bosc, R.; Mathieu, V.; Hernigou, P.; Haiat, G. Monitoring the press-fit insertion of an acetabular cup by impact measurements: Influence of bone abrasion. Proc. Inst. Mech. Eng. Part H J. Eng. Med. 2014, 228, 1027–1034. [Google Scholar] [CrossRef] [PubMed]
- Michel, A.; Bosc, R.; Vayron, R.; Haiat, G. In vitro evaluation of the acetabular cup primary stability by impact analysis. J. Biomech. Eng. 2015. [Google Scholar] [CrossRef] [PubMed]
- Michel, A.; Bosc, R.; Sailhan, F.; Vayron, R.; Haiat, G. Ex vivo estimation of cementless acetabular cup stability using an impact hammer. Med. Eng. Phys. 2016, 38, 80–86. [Google Scholar] [CrossRef] [PubMed]
- Michel, A.; Bosc, R.; Meningaud, J.P.; Hernigou, P.; Haiat, G. Assessing the Acetabular Cup Implant Primary Stability by Impact Analyses: A Cadaveric Study. PLoS ONE 2016, 11, e0166778. [Google Scholar] [CrossRef] [PubMed]
- Nguyen, V.H.; Rosi, G.; Naili, S.; Michel, A.; Raffa, M.L.; Bosc, R.; Meningaud, J.P.; Chappard, C.; Takano, N.; Haiat, G. Influence of anisotropic bone properties on the biomechanical behavior of the acetabular cup implant: A multiscale finite element study. Comput. Methods Biomech. Biomed. Eng. 2017. [Google Scholar] [CrossRef] [PubMed]
- Michel, A.; Nguyen, V.H.; Bosc, R.; Vayron, R.; Hernigou, P.; Naili, S.; Haiat, G. Finite element model of the impaction of a press-fitted acetabular cup. Med. Biol. Eng. Comput. 2017, 55, 781–791. [Google Scholar] [CrossRef] [PubMed]











| BCD (mm) | ACD (mm) | Sample #1 | Sample #2 | Sample #3 | Sample #4 | Sample #5 | Total |
|---|---|---|---|---|---|---|---|
| 47 | 48 | 1 | 2 | 2 | 1 | 3 | 9 |
| 47 | 50 | 0 | 0 | 0 | 1 | 1 | 2 |
| 49 | 50 | 2 | 3 | 2 | 2 | 3 | 12 |
| 49 | 52 | 0 | 0 | 0 | 1 | 0 | 1 |
| 51 | 52 | 3 | 3 | 2 | 2 | 3 | 13 |
| 51 | 54 | 3 | 3 | 0 | 1 | 1 | 8 |
| 53 | 54 | 3 | 3 | 2 | 2 | 2 | 12 |
| Total | 12 | 14 | 8 | 10 | 13 | 57 | |
© 2017 by the authors. Licensee MDPI, Basel, Switzerland. This article is an open access article distributed under the terms and conditions of the Creative Commons Attribution (CC BY) license (http://creativecommons.org/licenses/by/4.0/).
Share and Cite
Tijou, A.; Rosi, G.; Hernigou, P.; Flouzat-Lachaniette, C.-H.; Haïat, G. Ex Vivo Evaluation of Cementless Acetabular Cup Stability Using Impact Analyses with a Hammer Instrumented with Strain Sensors. Sensors 2018, 18, 62. https://doi.org/10.3390/s18010062
Tijou A, Rosi G, Hernigou P, Flouzat-Lachaniette C-H, Haïat G. Ex Vivo Evaluation of Cementless Acetabular Cup Stability Using Impact Analyses with a Hammer Instrumented with Strain Sensors. Sensors. 2018; 18(1):62. https://doi.org/10.3390/s18010062
Chicago/Turabian StyleTijou, Antoine, Giuseppe Rosi, Philippe Hernigou, Charles-Henri Flouzat-Lachaniette, and Guillaume Haïat. 2018. "Ex Vivo Evaluation of Cementless Acetabular Cup Stability Using Impact Analyses with a Hammer Instrumented with Strain Sensors" Sensors 18, no. 1: 62. https://doi.org/10.3390/s18010062
APA StyleTijou, A., Rosi, G., Hernigou, P., Flouzat-Lachaniette, C.-H., & Haïat, G. (2018). Ex Vivo Evaluation of Cementless Acetabular Cup Stability Using Impact Analyses with a Hammer Instrumented with Strain Sensors. Sensors, 18(1), 62. https://doi.org/10.3390/s18010062
