A Circular Microstrip Antenna Sensor for Direction Sensitive Strain Evaluation †
Abstract
:1. Introduction
- RFID system based on passive sensors and an ultra-wideband (UWB) reader [10],
- wireless sensor node consists of two antennas (microstrip antenna utilized as the transmission/receiving (Tx/Rx) device and a separate microstrip patch structure serving as the temperature-sensing element) connected by a transmission line [13].
2. Sensor Design
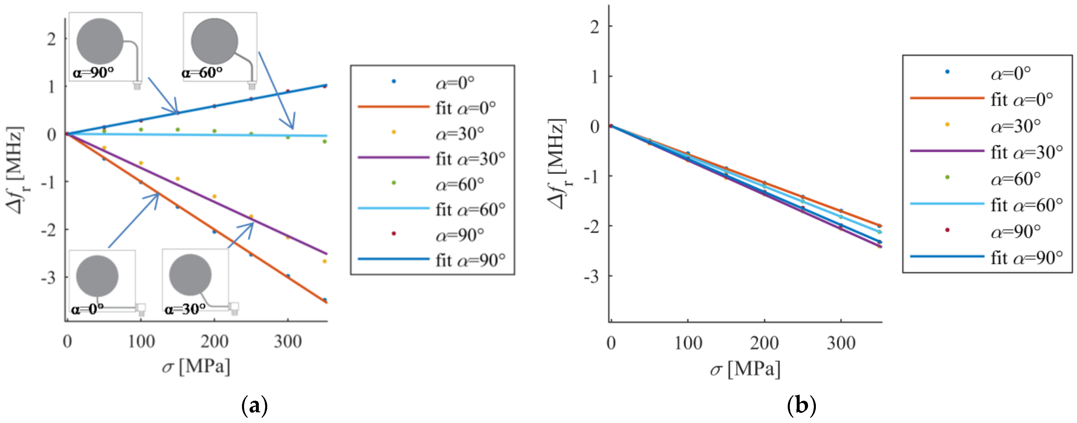
3. Numerical Analysis
4. Experimental Analysis
5. Conclusions
Acknowledgments
Author Contributions
Conflicts of Interest
References
- Balanis, C.A. Antenna Theory: Analysis and Design, 3rd ed.; John Wiley & Sons: Hoboken, NJ, USA, 2005; pp. 811–882. ISBN 978-1-119-09493-7. [Google Scholar]
- Pitra, K.; Raida, Z.; Lacik, J. Low-profile circularly polarized antenna exploiting Fabry-Perot resonator principle. Radioengineering 2015, 24, 898–905. [Google Scholar] [CrossRef]
- Abbasi Layegh, M.; Ghobadi, C.; Nourinia, J. The Optimization Design of a Novel Slotted Microstrip Patch Antenna with Multi-Bands Using Adaptive Network-Based Fuzzy Inference System. Technologies 2017, 5, 75. [Google Scholar] [CrossRef]
- Galindo-Romera, G.; Herraiz-Martinez, F.J.; Gil, M.; Martinez-Martinez, J.J.; Segovia-Vargas, D. Submerisible printed split-ring resonator-based sensor for thin-film detection and permittivity characterization. IEEE Sens. J. 2016, 16, 3587–3596. [Google Scholar] [CrossRef]
- Zarifi, M.H.; Daneshmand, M. Wide dynamic range microwave planar coupled ring resonator for sensing applications. Appl. Phys. Lett. 2016, 108. [Google Scholar] [CrossRef]
- Jankovic, N.; Radonic, V. A Microwave Microfluidic Sensor Based on a Dual-Mode Resonator for Dual-Sensing Applications. Sensors 2017, 17, 2713. [Google Scholar] [CrossRef] [PubMed]
- Wu, B.; Zhang, X.; Huang, B.; Zhao, Y.; Cheng, C.; Chen, H. High-Performance Wireless Ammonia Gas Sensors Based on Reduced Graphene Oxide and Nano-Silver Ink Hybrid Material Loaded on a Patch Antenna. Sensors 2017, 17, 2070. [Google Scholar] [CrossRef] [PubMed]
- Bogner, A.; Steiner, C.; Walter, S.; Kita, J.; Hagen, G.; Moos, R. Planar Microstrip Ring Resonators for Microwave-Based Gas Sensing: Design Aspects and Initial Transducers for Humidity and Ammonia Sensing. Sensors 2017, 17, 2422. [Google Scholar] [CrossRef] [PubMed]
- Philippe, J.; Arenas, C.; Henry, D.; Coustou, A.; Rumeau, A.; Aubert, H.; Pons, P. Passive and Chipless Packaged Sensor for the Wireless Pressure Monitoring in Harsh Environment. Proceedings 2017, 1, 629. [Google Scholar] [CrossRef]
- Girbau, D.; Ramos, A.; Lázaro, A.; Rima, S.; Villarino, R. Passive wireless temperature sensor based on time-coded UWB chipless RFID tags. IEEE Trans. Microw. Theory Tech. 2012, 60, 3623–3632. [Google Scholar] [CrossRef]
- Boccard, J.-M.; Aftab, T.; Hoppe, J.; Yousaf, A.; Hütter, R.; Reindl, L.M. High-resolution, far-field, and passive temperature sensing up to 700 °C using an isolated ZST microwave dielectric resonator. IEEE Sens. J. 2016, 16, 715–722. [Google Scholar] [CrossRef]
- Cheng, H.; Ebadi, S.; Gong, X. A low-profile wireless passive temperature sensor using resonator/antenna integration up to 1000 °C. IEEE Antenn. Wirel. Propag. Lett. 2012, 11, 369–372. [Google Scholar] [CrossRef]
- Yao, J.; Tchafa, F.M.; Jain, A.; Tjuatja, S.; Huang, H. Far-field interrogation of microstrip patch antenna for temperature sensing without electronics. IEEE Sens. J. 2016, 16, 7053–7060. [Google Scholar] [CrossRef]
- Zarifi, M.H.; Farsinezhad, S.; Wiltshire, B.D.; Abdorrazaghi, M.; Mahdi, N.; Kar, P.; Daneshmand, M.; Shankar, K. Effect of phosphonate monolayer adsorbate on the microwave photoresponse of TiO2 nanotube membranes mounted on a planar double ring resonator. Nanotechnology 2016, 27, 375201. [Google Scholar] [CrossRef] [PubMed]
- Chretiennot, T.; Dubuc, D.; Grenier, K. Microwave-Based Microfluidic Sensor for Non-Destructive and Quantitative Glucose Monitoring in Aqueous Solution. Sensors 2016, 16, 1733. [Google Scholar] [CrossRef] [PubMed]
- Jilani, M.T.; Wen, W.P.; Cheong, L.Y. A Microwave Ring-Resonator Sensor for Non-Invasive Assessment of Meat Aging. Sensors 2016, 16, 52. [Google Scholar] [CrossRef] [PubMed]
- Naqui, J.; Coromina, J.; Karami-Horestani, A.; Fumeaux, C.; Martín, F. Angular Displacement and Velocity Sensors Based on Coplanar Waveguides (CPWs) Loaded with S-Shaped Split Ring Resonators (S-SRR). Sensors 2015, 15, 9628–9650. [Google Scholar] [CrossRef] [PubMed]
- Karami, A.H.; Horestani, F.K.; Kolahdouz, M.; Horestani, A.K. Rotation Sensor Based on Magnetic Microrods. IEEE Sens. J. 2018, 18, 77–82. [Google Scholar] [CrossRef]
- Mohammad, I.; Hunag, H. Shear sensing based on a microstrip patch antenna. Meas. Sci. Technol. 2012, 23, 23. [Google Scholar] [CrossRef]
- Liu, Z.; Chen, K.; Li, Z.; Jiang, X. Crack Monitoring Method for an FRP-Strengthened Steel Structure Based on an Antenna Sensor. Sensors 2017, 17, 2394. [Google Scholar] [CrossRef] [PubMed]
- Mohammad, I.; Gowda, V.; Zhai, H.; Huang, H. Detecting crack orientation using patch antenna sensors. Meas. Sci. Technol. 2011, 23, 015102. [Google Scholar] [CrossRef]
- Daliri, A.; Galehdar, A.; Rowe, W.S.; Ghorbani, K.; John, S. Utilising microstrip patch antenna strain sensors for structural health monitoring. J. Intel. Mat. Syst. Struct. 2011, 23, 169–182. [Google Scholar] [CrossRef]
- Tata, U.S. Study of Patch Antennas for Strain Measurement. Master’s Thesis, University of Texas, Arlington, TX, USA, August 2008. [Google Scholar]
- Wang, W.; Ge, H.; Liu, T.; Liu, M. Study of Patch Antennas for Strain Measurement. Electromagn. Nondestruct. Eval. (XVIII) 2015, 40, 313–321. [Google Scholar] [CrossRef]
- Sharama, N.; Thakare, V.V. Analysis of microstrip rectangular patch antenna as a strain sensor. Inter. J. Res. Elect. Commun. Technol. 2015, 2, 17–19. [Google Scholar]
- Huang, H. Flexible wireless antenna sensor: A review. IEEE Sens. J. 2013, 13, 3865–3872. [Google Scholar] [CrossRef]
- Daliri, A.; Galehdar, A.; John, S.; Rowe, W.S.T.; Ghorbani, K. Slotted circular microstrip antenna application in strain based structural health monitoring. In Proceedings of the 14th Australian International Aerospace Congress, Melbourne, Australia, 28 February–3 March 2011. [Google Scholar]
- Daliri, A.; Wang, C.H.; John, S.; Galehdar, A.; Rowe, W.S.T.; Ghorbani, K. Multidirectional circular microstrip patch antenna strain sensor. In Proceedings of the ASME 2011 Conference on Smart Materials, Adaptive Structures and Intelligent Systems, Scottsdale, AZ, USA, 18–21 September 2011. [Google Scholar]
- Daliri, A.; Galehdar, A.; Rowe, W.S.T.; John, S.; Wang, C.H.; Ghorbani, K. Quality factor effect on the wireless range of microstrip patch antenna strain sensors. Sensors 2014, 14, 595–605. [Google Scholar] [CrossRef] [PubMed]
- Benchirouf, A.; Zichner, R.; Muller, C.; Kanoun, O. Electromagnetic simulation of flexible strain sensor based microstrip patch antenna. Int. J. Microw. Opt. Technol. 2015, 10, 397–401. [Google Scholar]
- Lopato, P.; Psuj, G.; Herbko, M.; Maciusowicz, M. Evaluation of stress in steel structures using electromagnetic methods based on utilization of microstrip antenna sensor and monitoring of AC magnetization process. Inform. Control Measure. Econ. Environ. Prot. 2016, 4, 32–36. [Google Scholar] [CrossRef]
- Szymanik, B.; Psuj, G.; Lopato, P.; Maciusowicz, M.; Herbko, M. Multimodal fatigue progress monitoring of construction steel elements. Arch. QIRT 2016, 2016, 297–305. [Google Scholar]
- Tata, U.; Huang, H.; Carter, R.L.; Chiao, J.C. Exploiting a patch antenna for strain measurements. Meas. Sci. Technol. 2008, 20, 015201. [Google Scholar] [CrossRef]
- Lopato, P.; Herbko, M. Microwave structural health monitoring sensor for deformation measurement of bended steel structures: Influence of curvature effect. Radioengineering 2017, 26, 1060–1066. [Google Scholar] [CrossRef]
- Lopato, P.; Herbko, M. Direction sensitive deformation measurement by circular microstrip sensor. In Proceedings of the 18th International Symposium on Electromagnetic Fields in Mechatronics, Electrical and Electronic Engineering (ISEF), Lodz, Poland, 14–16 September 2017. [Google Scholar]
- Yao, J.; Tjuatja, S.; Huang, H. A compact FMCW interrogator of microstrip antenna for foot pressure sensing. In Proceedings of the Electromagnetic Research Symposium (PIERS), Shanghai, China, 8–11 August 2016. [Google Scholar]
- Ni, Y.Q.; Wong, K.Y. Integrating bridge structural health monitoring and condition-based maintenance management. In Proceedings of the 4th International Workshop on Civil Structural, Berlin, Germany, 6–8 November 2012. [Google Scholar]
- Rainieri, C.; Fabrocino, G.; Cosenza, E. Structural health monitoring systems as a tool for seismic protection. In Proceedings of the 14th World Conference on Earthquake Engineering, Beijing, China, 12–17 November 2008. [Google Scholar]
- Bockenhenheimer, C.; Speckmann, H.; Team, I.W. Validation, verification and implementation of SHM at Airbus. In Proceedings of the 9th International Workshop on Structural Health Monitoring, Stanford, CA, USA, 10–12 September 2013. [Google Scholar]
- Lynch, J.P.; Loh, K.J. A summary review of wireless sensors and sensor networks for structural health monitoring. Shock Vibr. Dig. 2006, 38, 91–128. [Google Scholar] [CrossRef]
- Lynch, J.P.; Partridge, A.; Law, K.H.; Kenny, T.W. Design of piezoresistive MEMS-Based accelerometer for integration with wireless sensing unit for structural monitoring. J. Aerosp. Eng. 2003, 16, 108–114. [Google Scholar] [CrossRef]
- Psuj, G. Fusion of Multiple Parameters of Magnetic Testing Results for Damage Assessment of Loaded Steel Structures. In Electromagnetic Nondestructive. Evaluation (XVIII); IOS Press: Amsterdam, The Netherlands, 2015; Volume 40, pp. 192–199. [Google Scholar]
- Psuj, G.; Chady, T.; Enokizono, M.; Todaka, T. Stress evaluation in non-oriented electrical steel samples by observation of vector magnetic flux under static and rotating field conditions. Int. J. Appl. Elect. Mech. 2014, 44, 339–347. [Google Scholar] [CrossRef]
- Betz, D.; Thursby, G.J.; Culshaw, B.; Staszewski, W.J. Advanced of a fibres Bragg grating strain gauge rosette. J. Lightwave Technol. 2006, 24, 1019–1026. [Google Scholar] [CrossRef]
- Manojlović, J.; Janković, P. Bridge measuring circuits in the strain gauge sensor configuration. Mech. Eng. 2013, 11, 75–84. [Google Scholar]
- Sirohi, J.; Chopra, I. Fundamental Understanding of Piezoelectric Strain Sensors. J. Intell. Mater. Syst. Struct. 2000, 11, 246–257. [Google Scholar] [CrossRef]










| Steel S355J2+N Parameters | |
|---|---|
| Young’s modulus E | 200 GPa |
| Yield point | 355 MPa |
| Limit state | 510 MPa |
© 2018 by the authors. Licensee MDPI, Basel, Switzerland. This article is an open access article distributed under the terms and conditions of the Creative Commons Attribution (CC BY) license (http://creativecommons.org/licenses/by/4.0/).
Share and Cite
Lopato, P.; Herbko, M. A Circular Microstrip Antenna Sensor for Direction Sensitive Strain Evaluation. Sensors 2018, 18, 310. https://doi.org/10.3390/s18010310
Lopato P, Herbko M. A Circular Microstrip Antenna Sensor for Direction Sensitive Strain Evaluation. Sensors. 2018; 18(1):310. https://doi.org/10.3390/s18010310
Chicago/Turabian StyleLopato, Przemyslaw, and Michal Herbko. 2018. "A Circular Microstrip Antenna Sensor for Direction Sensitive Strain Evaluation" Sensors 18, no. 1: 310. https://doi.org/10.3390/s18010310
APA StyleLopato, P., & Herbko, M. (2018). A Circular Microstrip Antenna Sensor for Direction Sensitive Strain Evaluation. Sensors, 18(1), 310. https://doi.org/10.3390/s18010310

