Integration of High-Resolution Laser Displacement Sensors and 3D Printing for Structural Health Monitoring
Abstract
1. Introduction
2. Materials and Methods
2.1. The 3D-Printed Structural Model and Composite Bracing Systems
2.2. Experimental Setup
2.3. The Entropy-Based SHM Algorithm
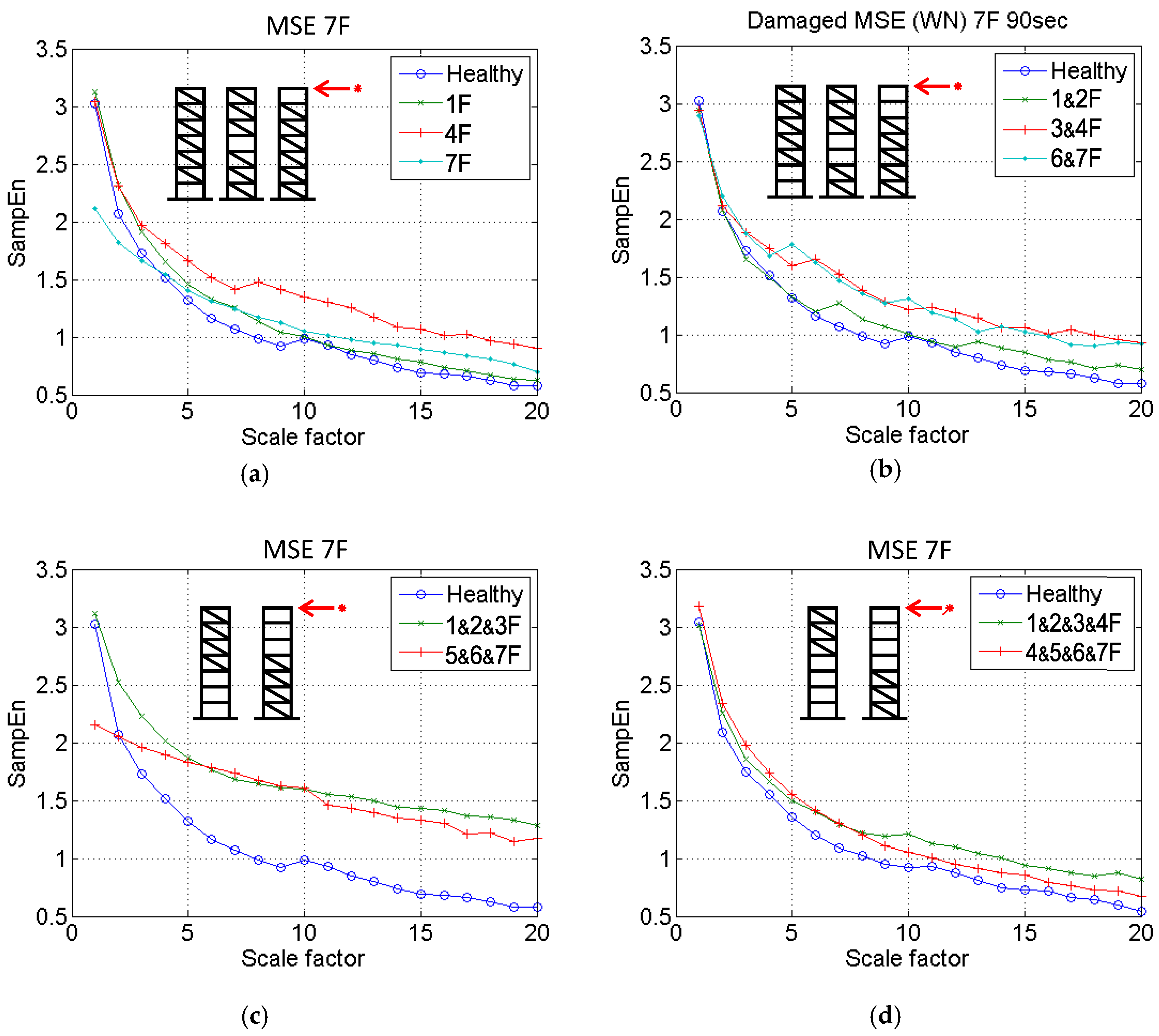
3. Damage Condition by Removing Bracing
3.1. Single-Story Damage
3.2. Two-Story Damage
3.3. Three-Story Damage
3.4. Four-Story Damage
4. Damage Location
4.1. Single-Story Damage
4.2. Two-Story Damage
4.3. Three-Story Damage
4.4. Four-Story Damage
5. Damage Degree (Composite)
6. Discussion and Conclusions
Acknowledgments
Author Contributions
Conflicts of Interest
References
- Bose, S.; Vahabzadeh, S.; Bandyopadhyay, A. Bone tissue engineering using 3D printing. Mater. Today 2013, 16, 496–504. [Google Scholar] [CrossRef]
- Compton, B.G.; Lewis, J.A. 3D-printing of lightweight cellular composites. Adv. Mater. 2014, 26, 5930–5935. [Google Scholar] [CrossRef] [PubMed]
- Sobral, J.M.; Caridade, S.G.; Sousa, R.A.; Mano, J.F.; Reis, R.L. Three-dimensional plotted scaffolds with controlled pore size gradients: Effect of scaffold geometry on mechanical performance and cell seeding efficiency. Acta Biomater. 2011, 7, 1009–1018. [Google Scholar] [CrossRef] [PubMed]
- Ebert, R.; Regenfuss, P.; Kloetzer, S.; Hartwig, L.; Exner, H. Process assembly for µm-scale SLS, reaction sintering, and CVD. In Proceedings of the Fourth International Symposium on Laser Precision Microfabrication, Munich, Germany, 18 November 2003; p. 6. [Google Scholar]
- Exner, H.; Regenfuss, P.; Hartwig, L.; Kloetzer, S.; Ebert, R. Selective laser micro sintering with a novel process. In Proceedings of the Fourth International Symposium on Laser Precision Microfabrication, Munich, Germany, 18 November 2003; p. 7. [Google Scholar]
- Regenfuss, P.; Hartwig, L.; Klötzer, S.; Ebert, R.; Brabant, Th.; Petsch, T.; Exner, H. Industrial freeform generation of microtools by laser micro sintering. Rapid Prototyp. J. 2005, 11, 18–25. [Google Scholar] [CrossRef]
- Dimas, L.S.; Bratzel, G.H.; Eylon, I.; Buehler, M.J. Tough Composites Inspired by Mineralized Natural Materials: Computation, 3D printing, and Testing. Adv. Funct. Mater. 2013, 23, 4629–4638. [Google Scholar] [CrossRef]
- Lee, J.-S.; Hong, J.M.; Jung, J.W.; Shim, J.H.; Oh, J.-H.; Cho, D.-W. 3D printing of composite tissue with complex shape applied to ear regeneration. Biofabrication 2014, 6, 1–12. [Google Scholar] [CrossRef] [PubMed]
- Tran, P.; Ngo, T.D.; Ghazlan, A.; Hui, D. Bimaterial 3D printing and numerical analysis of bio-inspired composite structures under in-plane and transverse loadings. Compos. Part B Eng. 2017, 108, 210–223. [Google Scholar] [CrossRef]
- Schumacher, C.; Bickel, B.; Rys, J.; Marschner, S.; Daraio, C.; Gross, M. Microstructures to control elasticity in 3D printing. ACM Trans. Graph. 2015, 34, 1–13. [Google Scholar] [CrossRef]
- Kang, H.; Hollister, S.J.; La Marca, F.; Park, P.; Lin, C.-Y. Porous Biodegradable Lumbar Interbody Fusion Cage Design and Fabrication Using Integrated Global-Local Topology Optimization With Laser Sintering. J. Biomech. Eng. 2013, 135, 1010131–1010138. [Google Scholar] [CrossRef] [PubMed]
- Egan, P.F.; Gonella, V.C.; Engensperger, M.; Ferguson, S.J.; Shea, K. Computationally designed lattices with tuned properties for tissue engineering using 3D printing. PLoS ONE 2017, 12, e0182902. [Google Scholar] [CrossRef] [PubMed]
- Farrar, C.R.; Worden, K. An introduction to structural health monitoring. Philos. Trans. A Math. Phys. Eng. Sci. 2007, 365, 303–315. [Google Scholar] [CrossRef] [PubMed]
- Jang, S.A.; Sim, S.-H.; Spencer Jr, B.F. Structural damage detection using static strain data. In Proceedings of the World Forum on Smart Materials and Smart Structures Technology (SMSST’07), Chongqing & Nanjing, China, 22–27 May 2007; p. 286. [Google Scholar]
- Pehlivan, H.; Bayata, H. Usability of inclinometers as a complementary measurement tool in structural monitoring. Struct. Eng. Mech. 2016, 58, 1077–1085. [Google Scholar] [CrossRef]
- Feng, M.; Fukuda, Y.; Mizuta, M.; Ozer, E. Citizen Sensors for SHM: Use of Accelerometer Data from Smartphones. Sensors 2015, 15, 2980–2998. [Google Scholar] [CrossRef] [PubMed]
- Ying, Y.; Garrett, J.H., Jr.; Oppenheim, I.J.; Soibelman, L.; Harley, J.B.; Shi, J.; Jin, Y. Toward Data-Driven Structural Health Monitoring: Application of Machine Learning and Signal Processing to Damage Detection. J. Comput. Civ. Eng. 2013, 27, 667–680. [Google Scholar] [CrossRef]
- Jung, H.-Y.; Sung, S.-H.; Jung, H.-J. Experimental Validation of Normalized Uniform Load Surface Curvature Method for Damage Localization. Sensors 2015, 15, 26315–26330. [Google Scholar] [CrossRef] [PubMed]
- Sun, H.; Büyüköztürk, O. Probabilistic updating of building models using incomplete modal data. Mech. Syst. Signal Process. 2016, 75, 27–40. [Google Scholar] [CrossRef]
- Sun, H.; Mordret, A.; Prieto, G.A.; Toksöz, M.N.; Büyüköztürk, O. Bayesian characterization of buildings using seismic interferometry on ambient vibrations. Mech. Syst. Signal Process. 2017, 85, 468–486. [Google Scholar] [CrossRef]
- Pandey, A.K.; Biswas, M.; Samman, M.M. Damage detection from changes in curvature mode shapes. J. Sound Vibr. 1991, 145, 321–332. [Google Scholar] [CrossRef]
- Fan, W.; Qiao, P. Vibration-based Damage Identification Methods: A Review and Comparative Study. Struct. Health Monit. 2011, 10, 83–111. [Google Scholar] [CrossRef]
- Lin, T.-K.; Liang, J.-C. Application of multi-scale (cross-) sample entropy for structural health monitoring. Smart Mater. Struct. 2015, 24, 085003. [Google Scholar] [CrossRef]
- Rojas, E.; Baltazar, A.; Loh, K.J. Damage detection using the signal entropy of an ultrasonic sensor network. Smart Mater. Struct. 2015, 24, 075008. [Google Scholar] [CrossRef]
- Lin, T.-K.; Tseng, T.C.; Laínez, A.G. Three-dimensional structural health monitoring based on multiscale cross-sample entropy. Earthq. Struct. 2017, 12, 673–687. [Google Scholar] [CrossRef]







| Materials | Model | Bracing | Composite Bracing | ||
|---|---|---|---|---|---|
| Polylactide (PLA) (Model) | Polyvinyl Alcohol (PVA) (Support) | PLA | PLA | PVA | |
| Printing temperature (°C) | 200 | 215 | 200 | 200 | 215 |
| Bed temperature (°C) | 60 | 60 | 60 | 60 | 60 |
| Printing speed (mm/s) | 45 | 32 | 50 | 50 | 15 |
| Infill rate (%) | 100 | 25 | 20 | 20 | 100 |
| Layer thickness (mm) | 0.1 | 0.1 | 0.1 | 0.1 | 0.1 |
| Case Number | Damage Category | Damage Floors |
|---|---|---|
| 1 | Undamaged | None |
| 2 | Single-story | 1F |
| 3 | 4F | |
| 4 | 7F | |
| 5 | Two-story | 1 and 2F |
| 6 | 3 and 4F | |
| 7 | 6 and 7F | |
| 8 | Three-story | 1, 2, and 3F |
| 9 | 5, 6, and 7F | |
| 10 | Four-story | 1, 2, 3 and 4F |
| 11 | 4, 5, 6 and 7F |
© 2017 by the authors. Licensee MDPI, Basel, Switzerland. This article is an open access article distributed under the terms and conditions of the Creative Commons Attribution (CC BY) license (http://creativecommons.org/licenses/by/4.0/).
Share and Cite
Chang, S.-W.; Lin, T.-K.; Kuo, S.-Y.; Huang, T.-H. Integration of High-Resolution Laser Displacement Sensors and 3D Printing for Structural Health Monitoring. Sensors 2018, 18, 19. https://doi.org/10.3390/s18010019
Chang S-W, Lin T-K, Kuo S-Y, Huang T-H. Integration of High-Resolution Laser Displacement Sensors and 3D Printing for Structural Health Monitoring. Sensors. 2018; 18(1):19. https://doi.org/10.3390/s18010019
Chicago/Turabian StyleChang, Shu-Wei, Tzu-Kang Lin, Shih-Yu Kuo, and Ting-Hsuan Huang. 2018. "Integration of High-Resolution Laser Displacement Sensors and 3D Printing for Structural Health Monitoring" Sensors 18, no. 1: 19. https://doi.org/10.3390/s18010019
APA StyleChang, S.-W., Lin, T.-K., Kuo, S.-Y., & Huang, T.-H. (2018). Integration of High-Resolution Laser Displacement Sensors and 3D Printing for Structural Health Monitoring. Sensors, 18(1), 19. https://doi.org/10.3390/s18010019

