CO2 Sensing Characteristics of a La2O3/SnO2 Stacked Structure with Micromachined Hotplates
Abstract
:1. Introduction
2. Experimental Procedure
2.1. Sensor Fabrication
2.2. Measurement Procedure
3. Results and Discussion
3.1. Observation of the Sensing Layer
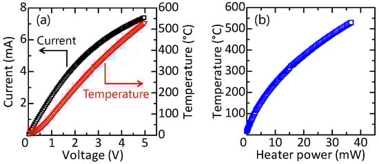
3.2. Characteristics of Micromachined Hotplates
3.3. Temperature Dependence of the CO-Sensing Characteristics
3.4. Concentration Dependence of the CO Response
4. Conclusions
Acknowledgments
Author Contributions
Conflicts of Interest
References
- Hagleitner, C.; Hierlemann, A.; Lange, D.; Kummer, A.; Kerness, N.; Brand, O.; Baltes, H. Smart single-chip gas sensor microsystem. Nature 2001, 414, 293–296. [Google Scholar] [CrossRef] [PubMed]
- Barrettino, D.; Graf, M.; Zimmermann, M.; Hagleitner, C.; Hierlemann, A.; Baltes, H. A Smart Single-Chip Micro-Hotplate-Based Gas Sensor System in CMOS-Technology. Analog Integr. Circuits Signal Process. 2004, 39, 275–287. [Google Scholar] [CrossRef]
- Maeng, S.; Guha, P.; Udrea, F.; Ali, S.Z.; Santra, S.; Gardner, J.; Park, J.; Kim, S.H.; Moon, S.E.; Park, K.H.; et al. SOI CMOS-Based Smart Gas Sensor System for Ubiquitous Sensor Networks. ETRI J. 2008, 30, 516–525. [Google Scholar] [CrossRef]
- Product Specification CO2 Engin® K30 STA. Available online: http://www.senseair.com/wp-content/uploads/2015/03/CO2-Engine-K30_PSP110-R7.pdf (accessed on 28 August 2017).
- Lee, H.J.; Park, K.K.; Kupnik, M.; Khuri-Yakub, B.T. Functionalization layers for CO2 sensing using capacitive micromachined ultrasonic transducers. Sens. Actuators B Chem. 2012, 174, 87–93. [Google Scholar] [CrossRef]
- Currie, J.; Essalik, A.; Marusic, J.C. Micromachined thin film solid state electrochemical CO2, NO2 and SO2 gas sensors. Sens. Actuators B Chem. 1999, 59, 235–241. [Google Scholar] [CrossRef]
- Sahner, K.; Schulz, A.; Kita, J.; Merkle, R.; Maier, J.; Moos, R. CO2 Selective Potentiometric Sensor in Thick-film Technology. Sensors 2008, 8, 4774–4785. [Google Scholar] [CrossRef] [PubMed]
- Morio, M.; Hyodo, T.; Shimizu, Y.; Egashira, M. Effect of macrostructural control of an auxiliary layer on the CO2 sensing properties of NASICON-based gas sensors. Sens. Actuators B Chem. 2009, 139, 563–569. [Google Scholar] [CrossRef]
- Mizuno, N.; Yoshioka, T.; Kato, K.; Iwamoto, M. CO2-sensing characteristics of SnO2 element modified by La2O3. Sens. Actuators B Chem. 1993, 13, 473–475. [Google Scholar] [CrossRef]
- Kim, D.H.; Yoon, J.Y.; Park, H.C.; Kim, K.H. CO2-sensing characteristics of SnO2 thick film by coating lanthanum oxide. Sens. Actuators B Chem. 2000, 62, 61–66. [Google Scholar] [CrossRef]
- Marsal, A.; Cornet, A.; Morante, J. Study of the CO and humidity interference in La doped tin oxide CO2 gas sensor. Sens. Actuators B Chem. 2003, 94, 324–329. [Google Scholar] [CrossRef]
- Liao, B.; Wei, Q.; Wang, K.; Liu, Y. Study on CuO–BaTiO3 semiconductor CO2 sensor. Sens. Actuators B Chem. 2001, 80, 208–214. [Google Scholar] [CrossRef]
- Herrán, J.; Mandayo, G.G.; Castaño, E. Physical behaviour of BaTiO3–CuO thin-film under carbon dioxide atmospheres. Sens. Actuators B Chem. 2007, 127, 370–375. [Google Scholar] [CrossRef]
- Trung, D.D.; Toan, L.D.; Hong, H.S.; Lam, T.D.; Trung, T.; Van Hieu, N. Selective detection of carbon dioxide using LaOCl-functionalized SnO2 nanowires for air-quality monitoring. Talanta 2012, 88, 152–159. [Google Scholar] [CrossRef] [PubMed]
- Hafiz, S.M.; Ritikos, R.; Whitcher, T.J.; Razib, N.M.; Bien, D.C.S.; Chanlek, N.; Nakajima, H.; Saisopa, T.; Songsiriritthigul, P.; Huang, N.M.; et al. A practical carbon dioxide gas sensor using room-temperature hydrogen plasma reduced graphene oxide. Sens. Actuators B Chem. 2014, 193, 692–700. [Google Scholar] [CrossRef]
- Lin, Z.D.; Young, S.J.; Chang, S.J. CO2 Gas Sensors Based on Carbon Nanotube Thin Films Using a Simple Transfer Method on Flexible Substrate. IEEE Sens. J. 2015, 15, 7017–7020. [Google Scholar] [CrossRef]
- Srinives, S.; Sarkar, T.; Hernandez, R.; Mulchandani, A. A miniature chemiresistor sensor for carbon dioxide. Anal. Chim. Acta 2015, 874, 54–58. [Google Scholar] [CrossRef] [PubMed]
- Simon, I.; Bârsan, N.; Bauer, M.; Weimar, U. Micromachined metal oxide gas sensors: Opportunities to improve sensor performance. Sens. Actuators B Chem. 2001, 73, 1–26. [Google Scholar] [CrossRef]
- Barrettino, D.; Graf, M.; Taschini, S.; Hafizovic, S.; Hagleitner, C.; Hierlemann, A. CMOS Monolithic Metal-Oxide Gas Sensor Microsystems. IEEE Sens. J. 2006, 6, 276–286. [Google Scholar] [CrossRef]
- Gardner, J.W.; Guha, P.K.; Udrea, F.; Covington, J.A. CMOS Interfacing for Integrated Gas Sensors: A Review. IEEE Sens. J. 2010, 10, 1833–1848. [Google Scholar] [CrossRef]
- Sheng, L.Y.; Tang, Z.; Wu, J.; Chan, P.C.H.; Sin, J.K.O. A low-power CMOS compatible integrated gas sensor using maskless tin oxide sputtering. Sens. Actuators B Chem. 1998, 49, 81–87. [Google Scholar] [CrossRef]
- Briand, D.; Krauss, A.; van der Schoot, B.; Weimar, U.; Barsan, N.; Göpel, W.; de Rooij, N.F. Design and fabrication of high-temperature micro-hotplates for drop-coated gas sensors. Sens. Actuators B Chem. 2000, 68, 223–233. [Google Scholar] [CrossRef]
- Chan, P.C.H.; Yan, G.Z.; Sheng, L.Y.; Sharma, R.K.; Tang, Z.; Sin, J.K.O.; Hsing, I.M.; Wang, Y. An integrated gas sensor technology using surface micro-machining. Sens. Actuators B Chem. 2002, 82, 277–283. [Google Scholar] [CrossRef]
- Ivanov, P.; Laconte, J.; Raskin, J.P.; Stankova, M.; Sotter, E.; Llobet, E.; Vilanova, X.; Flandre, D.; Correig, X. SOI-CMOS compatible low-power gas sensor using sputtered and drop-coated metal-oxide active layers. Microsyst. Technol. 2005, 12, 160–168. [Google Scholar] [CrossRef]
- Yamazoe, N. New approaches for improving semiconductor gas sensors. Sens. Actuators B 1991, 5, 7–19. [Google Scholar] [CrossRef]
- Barsan, N.; Schweizer-Berberich, M.; Göpel, W. Fundamental and practical aspects in the design of nanoscaled SnO2 gas sensors: A status report. Fresenius J. Anal. Chem. 1999, 365, 287–304. [Google Scholar] [CrossRef]
- Korotcenkov, G. The role of morphology and crystallographic structure of metal oxides in response of conductometric-type gas sensors. Mater. Sci. Eng. R 2008, 61, 1–39. [Google Scholar] [CrossRef]
- Iwata, T.; Soo, W.P.C.; Matsuda, K.; Takahashi, K.; Ishida, M.; Sawada, K. Design, fabrication, and characterization of bridge-type micro-hotplates with an SU-8 supporting layer for a smart gas sensing system. J. Micromech. Microeng. 2017, 27, 024003. [Google Scholar] [CrossRef]
- Figaro Engineering Inc. Available online: http://www.figaro.co.jp/en/ (accessed on 28 August 2017).
- Marsal, A.; Centeno, M.; Odriozola, J.; Cornet, A.; Morante, J. DRIFTS analysis of the CO2 detection mechanisms using LaOCl sensing material. Sens. Actuators B 2005, 108, 484–489. [Google Scholar] [CrossRef]
- Wolkenstein, T. Electronic Processes on Semiconductor Surfaces during Chemisorption; Springer: Boston, MA, USA, 1991. [Google Scholar]
- Dobrovolsky, Y.; Zyubina, T.; Kalinnikov, G. Chemisorption of CO2 at oxide electrodes in the presence of oxygen and water. Ionics 1995, 1, 358–365. [Google Scholar] [CrossRef]
- Esaka, T.; Moto-ike, K. CO2 absorption and desorption of Bi2O3–La2O3 powders prepared by mechanical synthesis. Mater. Res. Bull. 2004, 39, 1581–1587. [Google Scholar] [CrossRef]
- Bakiz, B.; Guinneton, F.; Arab, M.; Benlhachemi, A.; Villain, S.; Satre, P.; Gavarri, J.R. Carbonatation and Decarbonatation Kinetics in the La2O3–La2O2CO3 System under CO2 Gas Flows. Adv. Mater. Sci. Eng. 2010, 2010, 360597. [Google Scholar] [CrossRef]
- Marsal, A.; Dezanneau, G.; Cornet, A.; Morante, J. A new CO2 gas sensing material. Sens. Actuators B 2003, 95, 266–270. [Google Scholar] [CrossRef]
- Tabata, S.; Higaki, K.; Ohnishi, H.; Suzuki, T.; Kunihara, K.; Kobayashi, M. A micromachined gas sensor based on a catalytic thick film/SnO2 thin film bilayer and a thin film heater Part 2: CO sensing. Sens. Actuators B Chem. 2005, 109, 190–193. [Google Scholar] [CrossRef]
- Hoefer, U.; Steiner, K.; Wagner, E. Contact and sheet resistance of SnO2 thin films from transmission-line model measurements. Sens. Actuators B Chem. 1995, 26, 59–63. [Google Scholar] [CrossRef]
- Tamaki, J.; Miyaji, A.; Makinodan, J.; Ogura, S.; Konishi, S. Effect of micro-gap electrode on detection of dilute NO2 using WO3 thin film microsensors. Sens. Actuators B Chem. 2005, 108, 202–206. [Google Scholar] [CrossRef]








| Material | Response for 1000-ppm CO | Temperature | Ref. |
|---|---|---|---|
| LaO-SnO | 1.5 | 400 °C | [9] |
| LaOCl-SnO nanowire | 4.5 | 400 °C | [14] |
| BaTiO-CuO | 1.12 | 300 °C | [13] |
| Carbon nanotube | 1.022 | RT | [16] |
| Graphene oxide | 1.14 | RT | [15] |
| PEI-PANI | 1.08 | RT | [17] |
© 2017 by the authors. Licensee MDPI, Basel, Switzerland. This article is an open access article distributed under the terms and conditions of the Creative Commons Attribution (CC BY) license (http://creativecommons.org/licenses/by/4.0/).
Share and Cite
Iwata, T.; Matsuda, K.; Takahashi, K.; Sawada, K. CO2 Sensing Characteristics of a La2O3/SnO2 Stacked Structure with Micromachined Hotplates. Sensors 2017, 17, 2156. https://doi.org/10.3390/s17092156
Iwata T, Matsuda K, Takahashi K, Sawada K. CO2 Sensing Characteristics of a La2O3/SnO2 Stacked Structure with Micromachined Hotplates. Sensors. 2017; 17(9):2156. https://doi.org/10.3390/s17092156
Chicago/Turabian StyleIwata, Tatsuya, Kyosuke Matsuda, Kazuhiro Takahashi, and Kazuaki Sawada. 2017. "CO2 Sensing Characteristics of a La2O3/SnO2 Stacked Structure with Micromachined Hotplates" Sensors 17, no. 9: 2156. https://doi.org/10.3390/s17092156
APA StyleIwata, T., Matsuda, K., Takahashi, K., & Sawada, K. (2017). CO2 Sensing Characteristics of a La2O3/SnO2 Stacked Structure with Micromachined Hotplates. Sensors, 17(9), 2156. https://doi.org/10.3390/s17092156
