Improved Spatial Differencing Scheme for 2-D DOA Estimation of Coherent Signals with Uniform Rectangular Arrays
Abstract
1. Introduction
- Classic spatial differencing techniques only use the data information of overlapped smoothing subarrays, while FO-ISD and FB-ISD can extract all the data information of each row or column rectangle subarrays.
- Classic spatial differencing techniques perform difference-operation on the whole overlapping subarrays, while FO-ISD and FB-ISD calculate the differencing matrix for the auto-correlations and keep the cross-correlations unchanged. So SD-SMS has less information loss, resulting in a more effective noise suppression.
- FB-ISD can achieve a further improved performance than FO-ISD due to the increased number of smoothing submatrices.
2. System Model
3. 2-D DOA Estimation with URA
3.1. Classic Spatial Differencing Technique
3.2. Improved Spatial Differencing (ISD) Scheme
3.2.1. Analysis for Row Rectangular Subarrays
3.2.2. Forward only ISD (FO-ISD) Method
3.2.3. Forward Backward ISD (FB-ISD) Method
3.2.4. Summary of FO-ISD and FB-ISD Methods
| Algorithm 1: FO-ISD and FB-ISD for 2-D DOA estimation of coherent signals |
| Input : x = As + z, t = 1, 2, …, L Output: Estimated 2-D DOAs
|
3.3. Cramér-Rao Bound (CRB)
4. Simulation Results
4.1. Effectiveness Evaluation
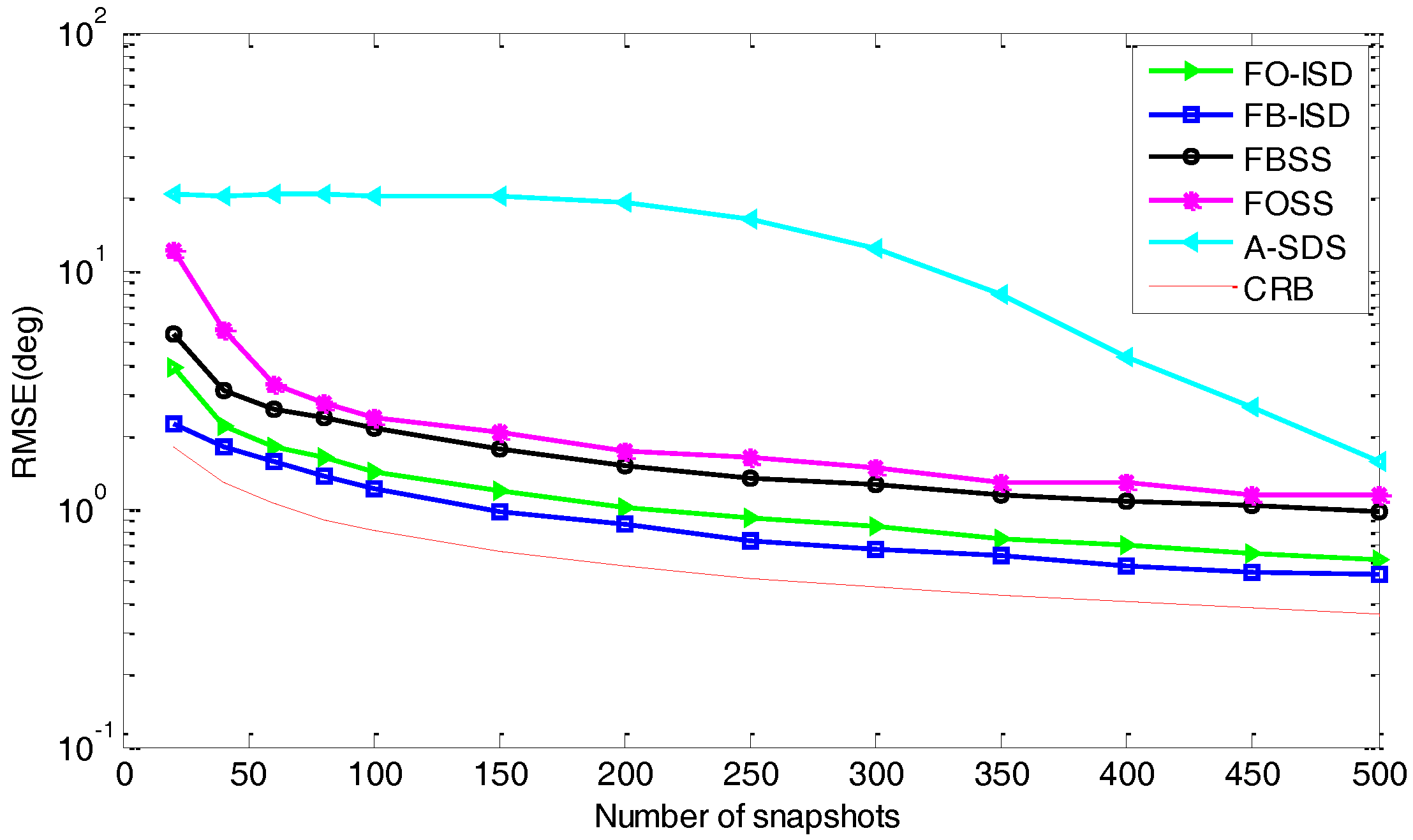
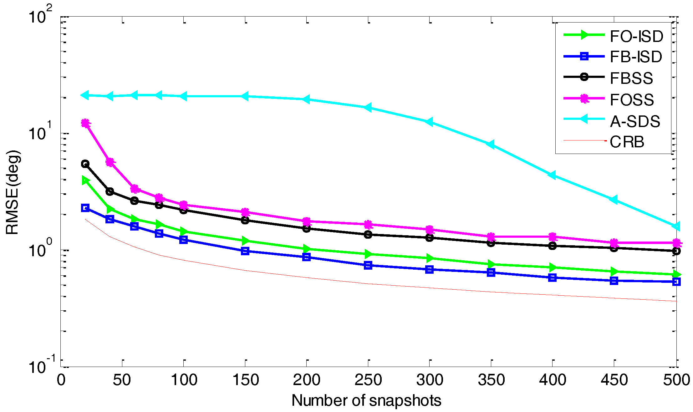
4.2. RMSE Performance in the Case of White Noise
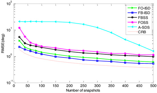
4.3. RMSE Performance in Case of Colored Noise
5. Conclusions
Appendix A
Acknowledgments
Author Contributions
Conflicts of Interest
References
- Wang, G.; Xin, J.; Zheng, N.; Sano, A. Computationally efficient subspace-based method for two-dimensional direction estimation with L-shaped array. IEEE Trans. Signal Process. 2011, 59, 3197–3212. [Google Scholar] [CrossRef]
- Wang, X.; Wang, W.; Li, X.; Wang, J. A tensor-based subspace approach for bistatic MIMO radar in spatial colored noise. Sensors 2014, 14, 3897–3907. [Google Scholar] [CrossRef] [PubMed]
- Zhou, C.; Gu, Y.; He, S.; Shi, Z. A robust and efficient algorithm for coprime array adaptive beamforming. IEEE Trans. Veh. Technol. 2017. [Google Scholar] [CrossRef]
- Xi, N.; Li, L. A computationally efficient subspace algorithm for 2-D DOA estimation with L-shaped array. IEEE Signal Process. Lett. 2014, 21, 971–974. [Google Scholar]
- Inghelbrecht, V.; Verhaevert, J.; Hecke, T.; Rogier, H. The influence of random element displacement on DOA estimates obtained with Khatri-Rao-Root-MUSIC. Sensors 2014, 14, 21258–21280. [Google Scholar] [CrossRef] [PubMed]
- Gu, J.; Zhu, W.; Swamy, M.S. Joint 2-D DOA estimation via sparse L-shaped array. IEEE Trans. Signal Process. 2015, 63, 1171–1182. [Google Scholar] [CrossRef]
- Wang, X.; Mao, X.; Wang, Y.; Zhang, N.; Li, B. A novel 2-D coherent DOA estimation method based on dimension reduction sparse reconstruction for orthogonal arrays. Sensors 2016, 16, 1496. [Google Scholar] [CrossRef] [PubMed]
- Shi, Z.; Zhou, C.; Gu, Y.; Goodman, N.; Qu, F. Source estimation using coprime array: A sparse reconstruction perspective. IEEE Sens. J. 2017, 17, 573–586. [Google Scholar] [CrossRef]
- Shi, J.; Hu, G.; Zhang, X.; Sun, F.; Zhou, H. Sparsity-based 2-D DOA estimation for co-prime array: From sum-difference co-array viewpoint. IEEE Trans. Signal Process. 2017, 99. [Google Scholar] [CrossRef]
- Heidenreich, P.; Zoubir, A.M.; Rubsamen, M. Joint 2-D DOA estimation and phase calibration for uniform rectangular arrays. IEEE Trans. Signal Process. 2012, 60, 4683–4693. [Google Scholar] [CrossRef]
- Shi, J.; Hu, G.; Zhang, X.; Sun, F.; Xiao, Y. Computationally efficient 2D DOA estimation with uniform rectangular array in low-grazing angle. Sensors 2017, 17, 470. [Google Scholar] [CrossRef] [PubMed]
- Dai, Z.; Cui, W.; Ba, B.; Wang, D.; Sun, Y. Two-dimensional DOA estimation for coherently distributed sources with symmetric properties in crossed arrays. Sensors 2017, 17, 1300. [Google Scholar]
- Shi, J.; Hu, G.; Zong, B.; Chen, M. DOA estimation using multipath echo power for MIMO radar in low-grazing angle. IEEE Sens. J. 2016, 16, 6087–6094. [Google Scholar] [CrossRef]
- Schmidt, R.O. Multiple emitter location and signal parameter estimation. IEEE Trans. Antennas Propag. 1986, 34, 276–280. [Google Scholar] [CrossRef]
- Roy, R.; Kailath, T. ESPRIT- estimation of signal parameters via rotational invariance techniques. IEEE Trans. Acoust. Speech Signal Process. 1989, 37, 984–995. [Google Scholar] [CrossRef]
- Pillai, S.U.; Kwon, B.H. Forward/backward spatial smoothing techniques for coherent signal identification. IEEE Trans. Acoust. Speech Signal Process. 1989, 37, 8–15. [Google Scholar] [CrossRef]
- Yeh, C.C.; Lee, J.H.; Chen, Y.M. Estimating two-dimensional angles of arrival in coherent source environment. IEEE Trans. Acoust. Speech Signal Process. 1989, 37, 153–155. [Google Scholar] [CrossRef]
- Zoltowski, M.D.; Haardt, M.; Mathews, C.P. Closed-form 2-D angle estimation with rectangular arrays in element space or beam space via unitary ESPRIT. IEEE Trans. Signal Process. 1996, 44, 316–328. [Google Scholar] [CrossRef]
- Tabrikian, J.; Bekkerman, I. Transmission diversity smoothing for multi-target localization. In Proceedings of the IEEE International Conference on Acoustics, Speech, and Signal Processing (ICASSP), Philadelphia, PA, USA, 23 March 2005; Volume 4, pp. 1041–1044. [Google Scholar]
- Zhang, W.; Liu, W.; Wang, J.; Wu, S. Joint transmission and reception diversity smoothing for direction finding of coherent targets in MIMO radar. IEEE J. Sel. Top. Signal Process. 2012, 8, 115–124. [Google Scholar] [CrossRef]
- Chen, J.; Gu, H.; Su, W. Cumulants-based Toeplitz matrices reconstruction method for 2-D coherent DOA estimation. IEEE Sens. J. 2014, 14, 2824–2832. [Google Scholar] [CrossRef]
- Hu, Y.; Liu, Y.; Wang, X. DOA estimation of coherent signals on coprime arrays exploiting fourth-order cumulants. Sensors 2017, 17, 682. [Google Scholar] [CrossRef] [PubMed]
- Shi, J.; Hu, G.; Zhang, X. Direction of arrival estimation in low-grazing angle: A partial spatial-differencing approach. IEEE Access 2017, 6, 9973–9980. [Google Scholar] [CrossRef]
- Liu, F.; Wang, J.; Sun, C.; Du, R. Spatial differencing method for DOA estimation under the coexistence of both uncorrelated and coherent signals. IEEE Trans. Antennas Propag. 2012, 60, 2052–2062. [Google Scholar] [CrossRef]
- Ma, X.; Dong, X.; Xie, Y. An improved spatial differencing method for DOA estimation with the coexistence of uncorrelated and coherent signals. IEEE Sens. J. 2016, 16, 3719–3723. [Google Scholar] [CrossRef]
- Ma, X.; Dong, X.; Xie, Y. DOA estimation for coherent sources in unknown nonuniform noise fields. IEEE Trans. Aerosp. Electron. Syst. 2007, 43, 1195–1204. [Google Scholar]
- Hong, S.; Wan, X.; Ke, H. Spatial difference smoothing for coherent sources location in MIMO radar. Signal Process. 2015, 109, 69–73. [Google Scholar] [CrossRef]
- Chen, J.; Gu, H.; Su, W. Angle estimation using ESPRIT without pairing in MIMO radar. Electron. Lett. 2008, 44, 1422–1423. [Google Scholar]
- Li, W.; Zhang, Y.; Lin, J.; Guo, R.; Chen, Z. Wideband direction of arrival estimation in the presence of unknown mutual coupling. Sensors 2017, 17, 230. [Google Scholar] [CrossRef] [PubMed]
- Wang, W.; Ren, S.; Ding, Y.; Wang, H. An efficient algorithm for direction finding against unknown mutual coupling. Sensors 2014, 14, 20064–20077. [Google Scholar] [CrossRef] [PubMed]
- Vu, D.; Renaux, A.; Boyer, R.; Marcos, S. A Cramér-Rao bounds based analysis of 3D antenna array geometries made from ULA branches. Multidimens. Syst. Signal Process. 2013, 24, 121–155. [Google Scholar] [CrossRef]









© 2017 by the authors. Licensee MDPI, Basel, Switzerland. This article is an open access article distributed under the terms and conditions of the Creative Commons Attribution (CC BY) license (http://creativecommons.org/licenses/by/4.0/).
Share and Cite
Shi, J.; Hu, G.; Sun, F.; Zong, B.; Wang, X. Improved Spatial Differencing Scheme for 2-D DOA Estimation of Coherent Signals with Uniform Rectangular Arrays. Sensors 2017, 17, 1956. https://doi.org/10.3390/s17091956
Shi J, Hu G, Sun F, Zong B, Wang X. Improved Spatial Differencing Scheme for 2-D DOA Estimation of Coherent Signals with Uniform Rectangular Arrays. Sensors. 2017; 17(9):1956. https://doi.org/10.3390/s17091956
Chicago/Turabian StyleShi, Junpeng, Guoping Hu, Fenggang Sun, Binfeng Zong, and Xin Wang. 2017. "Improved Spatial Differencing Scheme for 2-D DOA Estimation of Coherent Signals with Uniform Rectangular Arrays" Sensors 17, no. 9: 1956. https://doi.org/10.3390/s17091956
APA StyleShi, J., Hu, G., Sun, F., Zong, B., & Wang, X. (2017). Improved Spatial Differencing Scheme for 2-D DOA Estimation of Coherent Signals with Uniform Rectangular Arrays. Sensors, 17(9), 1956. https://doi.org/10.3390/s17091956

