Ultrasensitive Magnetic Field Sensing Based on Refractive-Index-Matched Coupling
Abstract
:1. Introduction
2. Sensor Structure and Sensing Principle
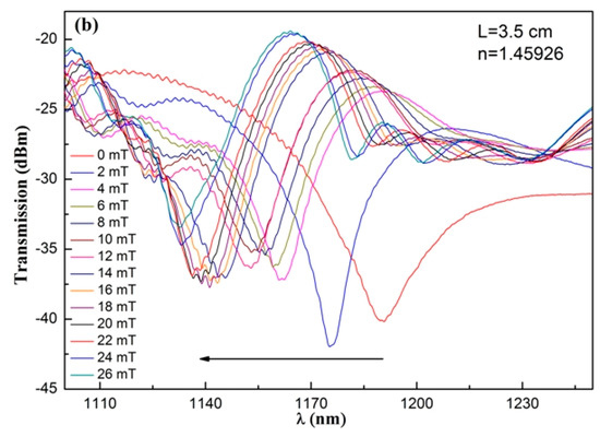
3. Experimental Results and Discussion
4. Conclusions
Acknowledgments
Author Contributions
Conflicts of Interest
References
- Wang, H.; Pu, S.; Wang, N.; Dong, S.; Huang, J. Magnetic field sensing based on singlemode-multimode-singlemode fiber structures using magnetic fluids as cladding. Opt. Lett. 2013, 38, 3765–3768. [Google Scholar] [CrossRef] [PubMed]
- Zhao, Y.; Lv, R.; Zhang, Y.; Wang, Q. Novel optical devices based on the transmission properties of magnetic fluid and their characteristics. Opt. Lasers Eng. 2012, 50, 1177–1184. [Google Scholar] [CrossRef]
- Pu, S.; Chen, X.; Chen, L.; Liao, W.; Chen, Y.; Xia, Y. Tunable magnetic fluid grating by applying a magnetic field. Appl. Phys. Lett. 2005, 87, 021901. [Google Scholar] [CrossRef]
- Zaibudeen, A.W.; Philip, J. Thermally tunable grating using thermo-responsive magnetic fluid. Opt. Mater. 2017, 66, 117–121. [Google Scholar] [CrossRef]
- Horng, H.E.; Chen, C.S.; Fang, K.L.; Yang, S.Y.; Chieh, J.J.; Hong, C.-Y.; Yang, H.C. Tunable optical switch using magnetic fluids. Appl. Phys. Lett. 2004, 85, 5592–5594. [Google Scholar] [CrossRef]
- Chen, Y.; Han, Q.; Liu, T.; Lan, X.; Xiao, H. Optical fiber magnetic field sensor based on single-mode–multimode–single-mode structure and magnetic fluid. Opt. Lett. 2013, 38, 3999–4001. [Google Scholar] [CrossRef] [PubMed]
- Xia, J.; Wang, F.; Luo, H.; Wang, Q.; Xiong, S. A magnetic field sensor based on a magnetic fluid-filled FP-FBG structure. Sensors 2016, 16, 620. [Google Scholar] [CrossRef] [PubMed]
- Wu, J.; Miao, Y.; Song, B.; Lin, W.; Zhang, H.; Zhang, K.; Liu, B.; Yao, J. Low temperature sensitive intensity-interrogated magnetic field sensor based on modal interference in thin-core fiber and magnetic fluid. Appl. Phys. Lett. 2014, 104, 252402. [Google Scholar] [CrossRef]
- Shi, J.; Wang, Y.; Xu, D.; Su, G.; Zhang, H.; Feng, J.; Yan, C.; Fu, S.; Yao, J. Remote magnetic field sensor based on intracavity absorption of evanescent field. IEEE Photonics J. 2016, 8, 6801607. [Google Scholar] [CrossRef]
- Chen, Y.; Han, Q.; Yan, W.; Yao, Y.; Liu, T. Magnetic-fluid-coated photonic crystal fiber and FBG for magnetic field and temperature sensing. IEEE Photonics Technol. Lett. 2016, 28, 2665–2668. [Google Scholar] [CrossRef]
- Bai, X.; Yuan, J.; Gu, J.; Wang, S.; Zhao, Y.; Pu, S.; Zeng, X. Magnetic field sensor using fiber ring cavity laser based on magnetic fluid. IEEE Photonics Technol. Lett. 2016, 28, 115–118. [Google Scholar] [CrossRef]
- Liu, H.; Zhang, H.; Liu, B.; Song, B.; Wu, J.; Lin, L. Ultra-sensitive magnetic field sensor with resolved temperature cross-sensitivity employing microfiber-assisted modal interferometer integrated with magnetic fluids. Appl. Phys. Lett. 2016, 109, 042402. [Google Scholar] [CrossRef]
- Mao, L.; Pu, S.; Su, D.; Wang, Z.; Zeng, X.; Lahoubi, M. Magnetic field sensor based on cascaded microfiber coupler with magnetic fluid. J. Appl. Phys. 2016, 120, 093192. [Google Scholar] [CrossRef]
- Zhang, Z.; Guo, T.; Zhang, X.; Xu, J.; Xie, W.; Nie, M.; Wu, Q.; Guan, B.-O.; Albert, J. Plasmonic fiber-optic vector magnetometer. Appl. Phys. Lett. 2016, 108, 101105. [Google Scholar] [CrossRef]
- Luo, L.; Pu, S.; Tang, J.; Zeng, X.; Lahoubi, M. Highly sensitive magnetic field sensor based on microfiber coupler with magnetic fluid. Appl. Phys. Lett. 2015, 106, 193507. [Google Scholar] [CrossRef]
- Candiani, A.; Argyros, A.; Leon-Saval, S.G.; Lwin, R.; Selleri, S.; Pissadakis, S. A loss-based magnetic field sensor implemented in a ferrofluid infiltrated microstructured polymer optical fiber. Appl. Phys. Lett. 2014, 104, 111106. [Google Scholar] [CrossRef]
- Lin, W.; Liu, B.; Zhang, H.; Song, B.; Yan, D.; Miao, Y.; Liu, H.; Liu, Y. Laser-induced thermal effect for tunable filter employing ferrofluid and fiber taper coupler. IEEE Photonics Technol. Lett. 2015, 27, 2339–2342. [Google Scholar] [CrossRef]
- Pu, S.; Dong, S.; Huang, J. Tunable slow light based on magnetic-fluid-infiltrated photonic crystal waveguides. J. Opt. 2014, 16, 045102. [Google Scholar] [CrossRef]
- Tagoudi, E.; Milenko, K.; Pissadakis, S. Intercore coupling effects in multicore optical fiber tapers using magnetic fluid out-claddings. J. Light. Technol. 2016, 34, 5561–5565. [Google Scholar] [CrossRef]
- Wu, Q.; Semenova, Y.; Hatta, A.; Wang, P.; Farrell, G. Bent SMS fiber structure for temperature measurement. Electron. Lett. 2010, 46, 1129–1130. [Google Scholar] [CrossRef]
- Wang, Q.; Farrell, G. All-fiber multimode-interference-based refractometer sensor: Proposal and design. Opt. Lett. 2006, 31, 317–319. [Google Scholar] [CrossRef] [PubMed]
- Lan, X.; Huang, J.; Han, Q.; Wei, T.; Gao, Z.; Jiang, H.; Dong, J.; Xiao, H. Fiber ring laser interrogated zeolite-coated singlemode-multimode-singlemode structure for trace chemical detection. Opt. Lett. 2012, 37, 1998–2000. [Google Scholar] [CrossRef] [PubMed]
- Tripathi, S.M.; Kumar, A.; Varshney, R.K.; Kumar, Y.B.P.; Marin, E.; Meunier, J.-P. Strain and temperature sensing characteristics of single-mode-multimode-single-mode structures. J. Lightwave Technol. 2009, 27, 2348–2356. [Google Scholar] [CrossRef]
- Lee, C.-L.; Lin, K.-H.; Lin, Y.Y.; Hsu, J.-M. Widely tunable and ultrasensitive leaky-guided multimode fiber interferometer based on refractive-index-matched coupling. Opt. Lett. 2012, 37, 302–305. [Google Scholar] [CrossRef] [PubMed]
- Bhowmik, T.; Maity, A. Design and analysis of broadband single-mode photonic crystal fiber for transmission windows of the telecom wavelengths. Opt.-Int. J. Light Electron Opt. 2017, 139, 366–372. [Google Scholar] [CrossRef]
- Hou, Y.; Fan, F.; Zhang, H.; Wang, X.-H.; Chang, S.-J. Terahertz single-polarization single-mode hollow-core fiber based on index-matching coupling. IEEE Photonics Technol. Lett. 2012, 24, 637–639. [Google Scholar] [CrossRef]
- Sun, B.; Chen, M.-Y.; Zhang, Y.-K.; Yang, J.-C. Design of refractive index sensors based on the wavelength-selective resonant coupling phenomenon in dual-core photonic crystal fibers. J. Biomed. Opt. 2012, 17, 037002. [Google Scholar] [CrossRef] [PubMed]
- Hong, C.-Y.; Chieh, J.-J.; Yang, S.-Y.; Yang, H.-C.; Horng, H.-E. Simultaneous identification of the low-field-induced tiny variation of complex refractive index for anisotropic and opaque magnetic-fluid thin film by a stable heterodyne Mach–Zehnder interferometer. Appl. Opt. 2009, 48, 5604–5611. [Google Scholar] [CrossRef] [PubMed]









© 2017 by the authors. Licensee MDPI, Basel, Switzerland. This article is an open access article distributed under the terms and conditions of the Creative Commons Attribution (CC BY) license (http://creativecommons.org/licenses/by/4.0/).
Share and Cite
Rao, J.; Pu, S.; Yao, T.; Su, D. Ultrasensitive Magnetic Field Sensing Based on Refractive-Index-Matched Coupling. Sensors 2017, 17, 1590. https://doi.org/10.3390/s17071590
Rao J, Pu S, Yao T, Su D. Ultrasensitive Magnetic Field Sensing Based on Refractive-Index-Matched Coupling. Sensors. 2017; 17(7):1590. https://doi.org/10.3390/s17071590
Chicago/Turabian StyleRao, Jie, Shengli Pu, Tianjun Yao, and Delong Su. 2017. "Ultrasensitive Magnetic Field Sensing Based on Refractive-Index-Matched Coupling" Sensors 17, no. 7: 1590. https://doi.org/10.3390/s17071590
APA StyleRao, J., Pu, S., Yao, T., & Su, D. (2017). Ultrasensitive Magnetic Field Sensing Based on Refractive-Index-Matched Coupling. Sensors, 17(7), 1590. https://doi.org/10.3390/s17071590

