A Lifetime Maximization Relay Selection Scheme in Wireless Body Area Networks
Abstract
:1. Introduction
2. Related Work
3. System Model
3.1. Conception of Network Lifetime
3.2. Network Model
3.3. Energy Consumption Model
- A WBAN set up with sensor nodes with different battery capacities.
- A WBAN resumes from a restart when each sensor node has already depleted energy under different consumption rates.
4. Optimization Problem Formulation
4.1. Variables and Matrix
4.2. Function and Problem Formulation
5. Heuristic Iterative Solution
- Find the sensor node with the minimum lifetime as the target node to improve its lifetime.
- Make relay selection action to improve target node’s lifetime according to the condition of the node.
- Compare the improved minimum lifetime with previous values and decide whether the iteration should be ended or not.
- If the target node is a relay node and does not help any other node in cooperative transmission, the algorithm will be terminated due to the fact that the relay node can not use cooperative transmission to save energy. Therefore, there is no possibility for target node to improve its lifetime as well as the whole network (Lines 9–10).
- If the target node is a relay node and helps some other nodes in cooperative transmission as a relay node, the node with the longest lifetime in the target node’s relayed node list will be removed and set to use direct transmission to reduce the burden of the target node and consequently to increase the lifetime of it (Lines 11–14).
- If the target node is not a relay node and uses cooperative transmission with the help of a relay node, there will be two conditions:
- (a)
- If the relay node of the target node is the nearest relay node from the target node, the algorithm will be terminated because it is not possible to select another relay node that can reduce the transmission costs of the target node (Lines 18–19).
- (b)
- If the relay node of the target node is not the nearest relay node, the nearest relay node will replace current relay node as the target node’s new relay node (Lines 20–23).
- If the target node is not a relay node and uses direct transmission, the relay node with the longest lifetime will be the new relay node of the target node (Lines 24–27).
| Algorithm 1 Rapid MRS Algorithm |
|
6. Performance Evaluation
6.1. Simulation Setup
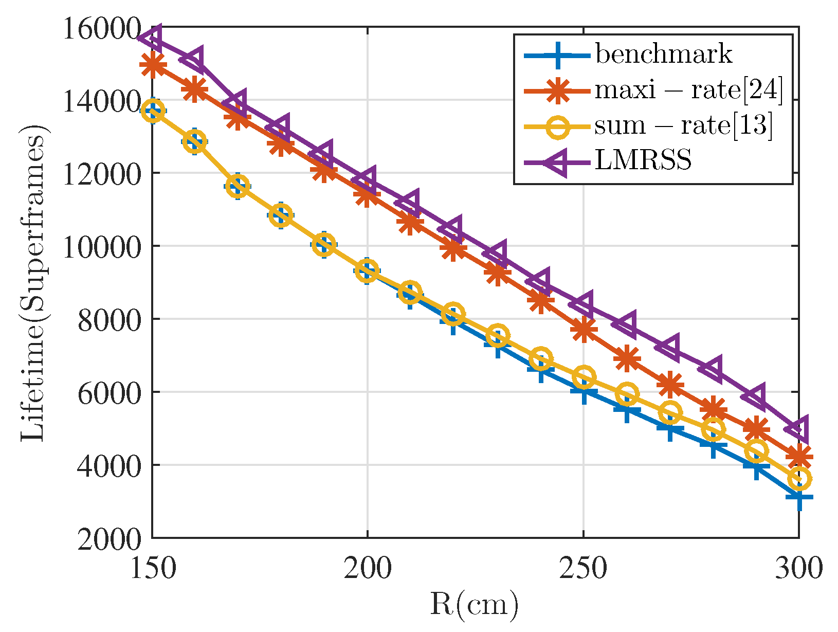
6.2. Result Analysis
- In a body-shaped WBAN application scenario, the proposed scheme can effectively improve the network lifetime of WBANs by 11.8% at least when compared with the direct transmission strategy and is also proved to be better than other existing relay selection methods. A comprehensive comparison between LMRSS, maxi-rate algorithm and sum-rate algorithm is summarized in Table 5 based on the simulation results.
- As LMRSS takes battery capacity diversity into account, it selects relay nodes depending on not only the energy consumption condition but also the remaining energy of each sensor node. When serious energy inequality conditions appear in the network, the advantage of network lifetime improvement of LMRSS is more significant when compared with other schemes.
- The network lifetime advantage of the proposed LMRSS is not restricted in body-shaped WBAN applications. As in a more generalized WBAN model, which is specified in the IEEE 802.15.6 standard, LMRSS still performs better than direct transmission and other existing relay selection methods in terms of network lifetime, no matter how the factors (energy inequality degree, range, number of nodes) vary.
- The time complexity of LMRSS is low, which can be implemented in a real-time WBAN system.
6.3. Implementation Discussion
- : the distance between each pair of sensor nodes and the distance between sensor nodes and the coordinator;
- n : the transmission path state (LOS/NLOS) between each pair of nodes including the coordinator;
- : the energy consumption parameters;
- k: the packet length in the network;
- : the energy storage condition of each sensor node in the network.
7. Conclusions and Future Work
7.1. Conclusions
7.2. Future Work
Acknowledgments
Author Contributions
Conflicts of Interest
References
- Iyengar, S.; Tempia Bonda, F.; Gravina, R.; Guerrieri, A.; Fortino, G.; Sangiovanni-Vincentelli, A. A Framework for Creating Healthcare Monitoring Applications Using Wireless Body Sensor Networks. In Proceedings of the ICST 3rd International Conference on Body Area Networks, Tempe, AZ, USA, 13–17 March 2008. [Google Scholar]
- Chen, M.; Gonzalez, S.; Vasilakos, A.; Cao, H.; Leung, V.C.M. Body area networks: A survey. J. Mob. Netw. Appl. 2011, 16, 171–193. [Google Scholar] [CrossRef]
- Liu, B.; Yan, Z.; Chen, C.W. Medium Access Control for Wireless Body Area Networks with QoS Provisioning and Energy Efficient Design. IEEE Trans. Mob. Comput. 2017, 2, 422–434. [Google Scholar] [CrossRef]
- Raffaele, G.; Parastoo, A.; Hassan, G.; Giancarlo, F. Multi-sensor fusion in body sensor networks: State-of-the-art and research challenges. Inf. Fusion 2017, 5, 68–80. [Google Scholar]
- Fortino, G.; Gravina, R.; Raffaele, G.; Philip, K.; Roozbeh, J. Enabling Effective Programming and Flexible Management of Efficient Body Sensor Network Applications. IEEE Trans. Hum. Mach. Syst. 2013, 1, 115–133. [Google Scholar] [CrossRef]
- Riccardo, C.; Flavia, M.; Ramona, R.; Chiara, B.; Roberto, V. A Survey on Wireless Body Area Networks: Technologies and Design Challenges. IEEE Commun. Surv. Tutor. 2014, 3, 1635–1657. [Google Scholar]
- George, S.; Nikos, D.; Rosario, S.; Valeria, L.; Fortino, G.; Yiannis, A. Decentralized Time-Synchronized Channel Swapping for Ad Hoc Wireless Networks. IEEE Trans. Veh. Technol., 2016, 10, 8538–8553. [Google Scholar]
- IEEE Standard for Local and Metropolitan Area Networks Part 15.6: Wireless Body Area Networks. In IEEE Std. 802.15.6-2012; IEEE: Piscataway, NJ, USA, 2012; pp. 1–271.
- Fabio, D.F.; Ilenia, T.; Yu, G. 1 Hop or 2 Hops: Topology Analysis in Body Area Network. In Proceedings of the 2014 European Conference on Networks and Communications (EuCNC), Bologna, Italy, 23–26 June 2014; pp. 1–5. [Google Scholar]
- Youssef, M.; Younis, M.; Arisha, K.A. A constrained shortest-path energy-aware routing algorithm for wireless sensor networks. In Proceedings of the 2002 IEEE Wireless Communications and Networking Conference (WCNC2002), Orlando, FL, USA, 17–21 March 2002; pp. 794–799. [Google Scholar]
- Haibo, Z.; Hong, S. Balancing energy consumption to maximize network lifetime in data gathering sensor networks. ACM Trans. Sens. Netw. 2009, 2, 1–25. [Google Scholar]
- Yasaman, K.; Rashid, A.; Ashfaq, K. Energy efficient decentralized detection based on bit-optimal multi-hop transmission in onedimensional wireless sensor networks. In Proceedings of the 2013 ITIP Wireless Days (WD), Valencia, Spain, 13–15 November 2013; pp. 1–8. [Google Scholar]
- Khoa, T.P.; Duy, H.N.N.; Tho, L. Joint power allocation and relay selection in cooperative networks. In Proceedings of the IEEE GLOBECOM 2009, Honolulu, HI, USA, 30 November–4 December 2009; pp. 1–5. [Google Scholar]
- Rui, P.; Ding, J.C.; Jaya, S.P.; Yong, P.X. An Opportunistic Relay Protocol With Dynamic Scheduling in Wireless Body Area Sensor Network. IEEE Sens. J. 2015, 7, 3743–3750. [Google Scholar]
- Cai, X.; Yuan, J.; Yuan, X.; Zhu, W.; Li, J.; Li, C.; Ullah, S. Energy-efficient Relay MAC with Dynamic Power Control in Wireless Body Area Networks. KSII Trans. Internet Inf. Syst. 2013, 7, 1547–1568. [Google Scholar]
- Chih, S.L.; Po, J.C. Energy-efficient two-hop extension protocol for wireless body area networks. IET Wirel. Sens. Syst. 2013, 1, 37–56. [Google Scholar]
- Deepak, K.S.; Babu, A.V. Improving energy efficiency of incremental relay based cooperative communications in wireless body area networks. Int. J. Commun. Syst. 2015, 1, 91–111. [Google Scholar] [CrossRef]
- Gomathi, C.; Santhiyakumari, N. OFSR : An Optimized Fuzzy Based Swarm Routing for Wireless Body Area Networks. In Proceedings of the IEEE SPIN 2016, Noida, India, 11–12 February 2016; pp. 507–512. [Google Scholar]
- Dae, Y.K.; Wee, Y.K.; Jin, S.C.; Ben, L. EAR: An Environment-Adaptive Routing Algorithm for WBANs. In Proceedings of the IEEE ISMICT 2010, Tainan, China, 27–29 October 2010. [Google Scholar]
- Ishtaique ul Huque, M.T.; Munasinghe, K.S.; Abolhasan, M.; Jamalipour, A. EAR-BAN: Energy Efficient Adaptive Routing in Wireless Body Area Networks. In Proceedings of the IEEE ICSPCS 2013, Carrara, Australia, 16–18 December 2013. [Google Scholar]
- Elias, J. Optimal design of energy-efficient and cost-effective Wireless Body Area Networks. Ad Hoc Netw. 2014, 1, 560–574. [Google Scholar] [CrossRef]
- Ding, J.; Dutkiewicz, E.; Huang, X.; Fang, G. Energy-Efficient Cooperative Relay Selection for UWB Based Body Area Networks. In Proceedings of the IEEE ICUWB 2013, Sydney, Australia, 15–18 September 2013; pp. 97–102. [Google Scholar]
- Ding, J.; Dutkiewicz, E.; Huang, X.; Fang, G. Energy efficient cooperative transmission in single-relay UWB based body area networks. In Proceedings of the IEEE ICC 2015, London, UK, 8–12 June 2015; pp. 1559–1564. [Google Scholar]
- Chai, R.; Wang, P.; Huang, Z.; Su, C. Network Lifetime Maximization Based Joint Resource Optimization for Wireless Body Area Networks. In Proceedings of the IEEE PIMRC 2014, Washington, DC, USA, 2–5 September 2014; pp. 1088–1092. [Google Scholar]
- Hussein, M.; Francis, M.B. Optimal Relay Selection and Power Control With Quality-of-Service Provisioning in Wireless Body Area Networks. IEEE Trans. Wirel. Commun. 2016, 8, 5497–5510. [Google Scholar]
- Welsh, M. Exposing resource tradeoffs in region-based communication abstractions for sensor networks. Comput. Commun. Rev. 2004, 1, 119–124. [Google Scholar] [CrossRef]
- Zhang, R.; Moungla, H.; Mehaoua, A. An Energy-Efficient Leader Election Mechanism for Wireless Body Area Networks. In Proceedings of the IEEE GLOBECOM 2014, Austin, TX, USA, 8–12 December 2014; pp. 2411–2416. [Google Scholar]
- Moid Sahndhu, M.; Javaid, N.; Imran, M.; Guizani, M.; Ali Khan, Z.; Qasim, U. BEC: A Novel Routing Protocol for Balanced Energy Consumption in Wireless Body Area Networks. In Proceedings of the IEEE IWCMC 2015, Dubrovnik, Croatia, 24–28 August 2015; pp. 653–658. [Google Scholar]
- Reusens, E.; Joseph, W.; Latre, B.; Brae, B.; Vermeeren, G.; Tanghe, E.; Martens, L.; Moerman, I.; Blondia, C. Characterization of On-Body Communication Channel and Energy Efficient Topology Design for Wireless Body Area Networks. IEEE Trans. Inf. Technol. Biomed. 2009, 6, 933–945. [Google Scholar] [CrossRef] [PubMed]
- Braem, B.; Latre, B.; Moerman, I.; Blondia, C.; Reusens, E.; Joseph, W.; Martens, L.; Demeester, P. The Need for Cooperation and Relaying in Short-Range High Path Loss Sensor Networks. In Proceedings of the International Conference on Sensor Technologies and Applications, Valencia, Spain, 14–20 October 2007; pp. 566–571. [Google Scholar]
- Elias, J.; Mehaoua, A. Energy-aware Topology Design for Wireless Body Area Networks. In Proceedings of the IEEE ICC 2012, Ottawa, ON, Canada, 10–15 June 2012; pp. 3409–3413. [Google Scholar]








| Body Part | Number of Nodes | Range |
|---|---|---|
| Head part | 2 | |
| Main body part | 6 | |
| Left arm part | 2 | |
| Right arm part | 2 | |
| Left leg part | 2 | |
| Right leg part | 2 | |
| Parameter | Value |
|---|---|
| Network Model | |
| Number of sensor nodes l | 16 |
| Number of relay nodes m | 6 |
| Packet size k | 1200 bit |
| Time slot duration | 10 ms |
| Superframes duration | 700 ms |
| Energy Consumption Model | |
| 16.7 nJ/bit | |
| 36.1 nJ/bit | |
| 1.97 nJ/bit | |
| 2 J | |
| 1 J | |
| 3.38 | |
| 5.9 |
| Nodes | Enumeration | The Rapid Solution |
|---|---|---|
| 6 | 0.008530s | 0.000010s |
| 8 | 0.084878s | 0.000016s |
| 10 | 0.834952s | 0.000017s |
| 12 | 7.510353s | 0.000025s |
| 16 | 104.487781s | 0.000028s |
| 20 | 6532.097615s | 0.000039s |
| Performance Item | LMRSS | Maxi-Rate [24] | Sum-Rate [13] | Benchmark |
|---|---|---|---|---|
| Total energy consumption (mJ) | 0.7408 | 0.8218 | 0.7408 | 0.7408 |
| Maximum energy consumption (mJ) | 0.0814 | 0.0738 | 0.0814 | 0.0814 |
| Network lifetime | 14,194.37 | 9983.49 | 14,194.37 | 14,194.37 |
| Attribute | LMRSS | Maxi-Rate [24] | Sum-Rate [13] |
|---|---|---|---|
| Effectiveness in body-shaped model | Yes | Yes | No |
| Improvement in body-shaped model(to benchmark) | 11.8–20.7% | 11.8–14.6% | 0% |
| Effectiveness in general model | Yes | Yes | Only when R > 2 m |
| Improvement in general model (to benchmark) | 14–103% | 12–67% | 0–41% |
| Time complexity of algorithm | Low | High | Low |
| Performance in worst case (to benchmark) | No degrading | Degrading | Degrading * |
© 2017 by the authors. Licensee MDPI, Basel, Switzerland. This article is an open access article distributed under the terms and conditions of the Creative Commons Attribution (CC BY) license (http://creativecommons.org/licenses/by/4.0/).
Share and Cite
Zhang, Y.; Zhang, B.; Zhang, S. A Lifetime Maximization Relay Selection Scheme in Wireless Body Area Networks. Sensors 2017, 17, 1267. https://doi.org/10.3390/s17061267
Zhang Y, Zhang B, Zhang S. A Lifetime Maximization Relay Selection Scheme in Wireless Body Area Networks. Sensors. 2017; 17(6):1267. https://doi.org/10.3390/s17061267
Chicago/Turabian StyleZhang, Yu, Bing Zhang, and Shi Zhang. 2017. "A Lifetime Maximization Relay Selection Scheme in Wireless Body Area Networks" Sensors 17, no. 6: 1267. https://doi.org/10.3390/s17061267
APA StyleZhang, Y., Zhang, B., & Zhang, S. (2017). A Lifetime Maximization Relay Selection Scheme in Wireless Body Area Networks. Sensors, 17(6), 1267. https://doi.org/10.3390/s17061267
