An Acceleration-Based Gait Assessment Method for Children with Cerebral Palsy
Abstract
:1. Introduction
2. Materials and Methods
2.1. Subjects
2.2. Data Acquisition and Preprocessing
2.2.1. Data Acquisition
2.2.2. Pre-Processing
2.2.3. Gait Segmentation
2.3. Representative Gait Acceleration Signals, Average Gait Graph (AGG), and Characteristic Gait Graph (CGG)
2.4. Gray Relational Analysis Based Gait Assessment Model
2.4.1. Gait Acceleration Parameters
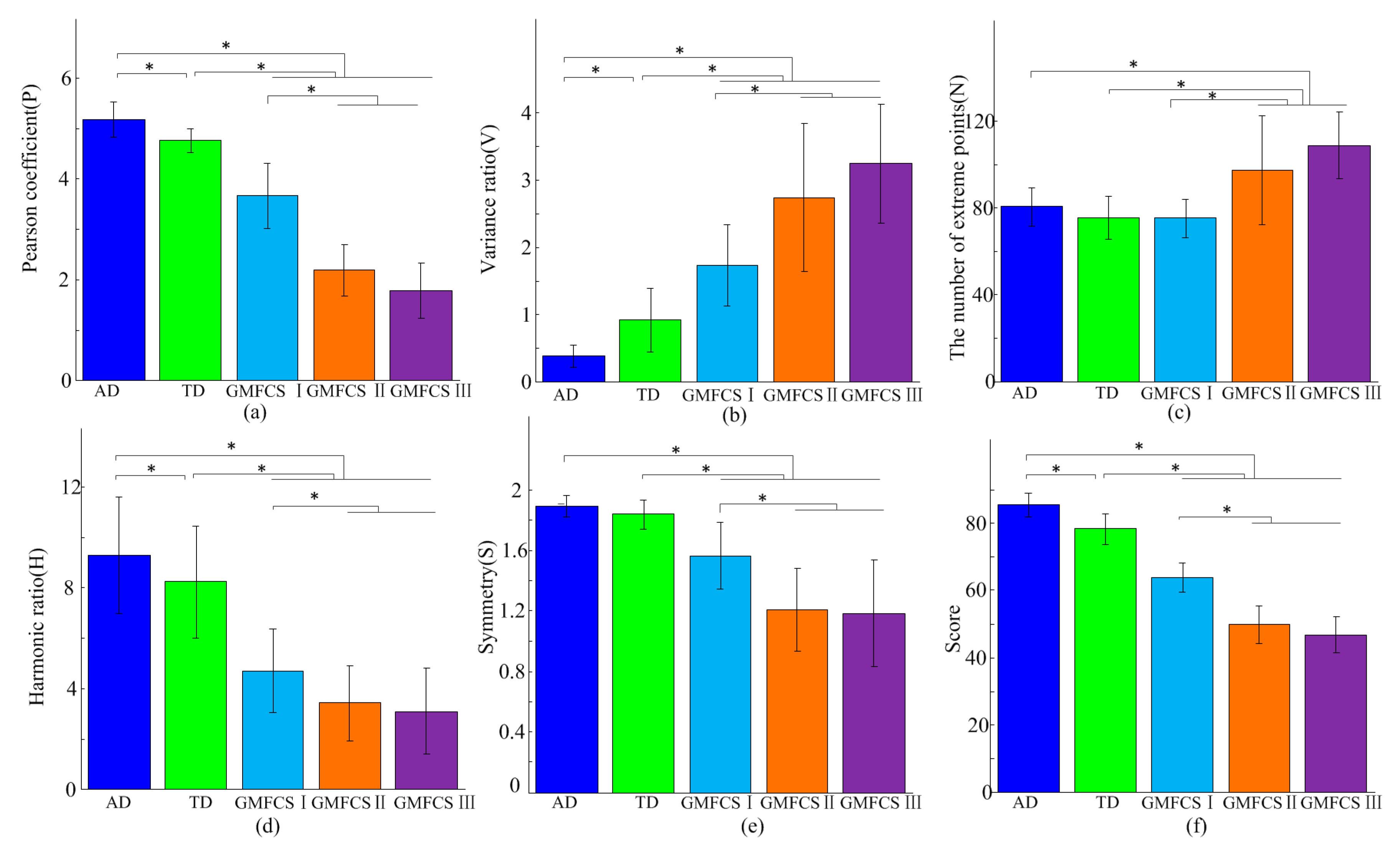
- Pearson coefficient: The Pearson coefficient reflects the degree of linear correlation between two variables, where a large value indicates a strong correlation [29]. In this study, r was calculated by Equation (1) to represent the degree of similarity of the corresponding channel in the AGG and CGG:and represent the values of each channel in the AGG and CGG, respectively, , , , , represent the mean and standard deviation of each channel in the AGG and CGG, and M is the length. Then P, which represents the overall correlation, is defined as the sum of the r values of all channels. A high P means that the AGG is similar to the CGG, and its maximum value is K. Here K is the number of the representative acceleration channels.
- Variance Ratio (VR): Variance ratio, proposed by Hershler and Milner, was used to measure the repeatability of a signal over a given number of identical footsteps [30]. In this study, the repeatability of the three gait cycles, which was used to obtain the AGG, was calculated. In Equation (2), M is the fixed length, n is the number of gait cycles, is the value of the jth gait cycle at time i, is the average of the three gait cycles values at time i, and is the grand mean of the average gait signal. If the values of the corresponding channels are similar between three gait cycles, v→0. Finally the parameter V is defined as the sum of v in all channels to depict the repeatability of the three gait cycles:
- The number of extreme points: During walking, children with CP often swung accompanied by some involuntary shaking, and this could result in unstable gait acceleration with more burr and extreme points, which was used to evaluate the upper limb function in Yanran et al.’s study [31]. As we know, the extreme points can be defined as the point whose first left and right side derivatives have a different sign. By finding two adjacent values which have opposite symbols in the first derivative of AGG, extreme points could be obtained. N, defined as the sum of the extreme points in all representative channels, is used to represent the extreme point feature in this study.
- Harmonic ratio (HR): The harmonic ratio is used to provide an indication of the smoothness and rhythm of acceleration patterns, and it is based on the premise that the unit of measurement from a continuous acceleration signal is a stride and the acceleration pattern repeated twice [32]. Hence, only the acceleration of the waist was analyzed in this study. Using a finite Fourier series, the acceleration signal could be considered as the combination of even and odd harmonics, and the harmonic ratio h could be calculated using Equation (3). In this study, the sum of two h values obtained from the SI-W and AP-W in AGGs, respectively, was used to represent the overall harmonic ratio, represented by H:
- Symmetry: Normal human walking is composed of cyclical movements of the lower limbs, and the movement of the left and right legs should be symmetrical. According to the study of Moe-Nilssen [33], unbiased autocorrelation coefficients of gait waist acceleration represent a periodic sequence. As shown in Figure 4, which demonstrates an unbiased and normalized autocorrelation sequence of the waist acceleration in the AP axis, the value of point could express the regularity of the acceleration signal between neighboring steps, and a higher means a better step regularity [33]. In this study, the sum of two values obtained from the autocorrelation coefficients of SI-W and AP-W in AGGs, respectively, were used to represent gait symmetry, represented by S.
2.4.2. Gait Assessment Method Based on Grey Relational Analysis
- Step 1:
- The normalized comparison set is obtained by standardizing the comparison set ;
- Step 2:
- The correlation coefficient between the ith row of Z and R is computed using Equation (4). The distinguishing coefficient is between 0 and 1, and was set as 1 in this study:
- Step 3:
- The correlation degree between the vector of Z and the reference set R with weights and is calculated by Equation (6). was between 0 and 1, and a higher indicates higher similarity:
- Part 1:
- Determination of the reference set R, and based on the healthy subjects:
- (1)
- Four AGGs are selected from each healthy subject, the five gait features of each AGG are calculated, and a matrix is constructed (here m is the number of healthy subjects, and n is the number of features).
- (2)
- (3)
- A normalized matrix is obtained by normalizing to positive indicators (the larger value is, the better) according to the comprehensive grey relational generating method mentioned in Chang et al.’s study [46], as shown in Equation (8).
- (4)
- The reference set R and parameters and are determined. Each element in the reference set R was determined as the optimal value of the five gait features of healthy subjects. In practice, R was set to the mean vector of the normalized matrix as shown in Equation (9). Then and were computed according to Equation (5):
- Part 2:
- Gait assessment of an unknown subject. When the basic parameters are obtained, the gait assessment of an unknown subject can be performed as follows:
- (1)
- Four AGGs of the subject are selected to construct the test set .
- (2)
- A normalized matrix is obtained by normalizing according to (8).
- (3)
- The correlation coefficient and correlation degree between and R are computed by (4) and (5), respectively. In this case, the roles of five gait features were assumed to be equal, so the weight was set to 0.2.
- (4)
- The gait assessment score is calculated by Equation (10):
2.5. Statistical Methods
3. Results
3.1. Validation of the Gait Segmentation Algorithm
3.2. Gait Acceleration Pattern Analysis Results of AD Subjects
3.3. Characteristic Gait Graph (CGG)
3.4. Gait Acceleration Pattern Analysis of Different Groups
3.5. Gait Features Analysis of AGG
3.6. Gait Assessment Results
4. Discussion
4.1. Gait Acceleration Pattern of Different Groups
4.2. The Effectiveness of Gait Features
4.3. The Effectiveness of Gait Assessment Model
4.4. Limitations and Future Work
5. Conclusions
Acknowledgments
Author Contributions
Conflicts of Interest
References
- Bax, M.; Goldstein, M.; Rosenbaum, P.; Leviton, A.; Paneth, N.; Dan, B.; Jacobsson, B.; Damiano, D. Proposed definition and classification of cerebral palsy, April 2005. Dev. Med. Child Neurol. 2005, 47, 571–576. [Google Scholar] [CrossRef] [PubMed]
- Rosenbaum, P.; Paneth, N.; Leviton, A.; Goldstein, M.; Bax, M.; Damiano, D.; Dan, B.; Jacobsson, B. A report: The definition and classification of cerebral palsy April 2006. Dev. Med. Child Neurol. 2007, 109, 8–14. [Google Scholar]
- Morris, C. Definition and classification of cerebral palsy: A historical perspective. Dev. Med. Child Neurol. 2007, 49, 3–7. [Google Scholar] [CrossRef]
- Miller, F. Physical Therapy of Cerebral Palsy; Springer Science and Business Media: New York, NY, USA, 2007. [Google Scholar]
- Yam, W.K.L.; Leung, M.S.M. Interrater reliability of modified ashworth scale and modified tardieu scale in children with spastic cerebral palsy. J. Child Neurol. 2006, 21, 1031–1035. [Google Scholar] [CrossRef] [PubMed]
- Patrick, E.; Ada, L. The tardieu scale differentiates contracture from spasticity whereas the ashworth scale is confounded by it. Clin. Rehabil. 2006, 20, 173–182. [Google Scholar] [CrossRef] [PubMed]
- Palisano, R.; Rosenbaum, P.; Walter, S.; Russell, D.; Wood, E.; Galuppi, B. Development and reliability of a system to classify gross motor function in children with cerebral palsy. Dev. Med. Child Neurol. 1997, 39, 214–223. [Google Scholar] [CrossRef] [PubMed]
- Wood, E.; Rosenbaum, P. The gross motor function classification system for cerebral palsy: A study of reliability and stability over time. Dev. Med. Child Neurol. 2000, 42, 292–296. [Google Scholar] [CrossRef] [PubMed]
- Wang, H.-Y.; Yang, Y.H. Evaluating the responsiveness of 2 versions of the gross motor function measure for children with cerebral palsy. Arch. Phys. Med. Rehabil. 2006, 87, 51–56. [Google Scholar] [CrossRef] [PubMed]
- Russell, D.J.; Rosenbaum, P.L.; Avery, L.M.; Lane, M. Gross Motor Function Measure (GMFM-66 and GMFM-88) User’s Manual; Mac Keith Press: London, UK, 2002. [Google Scholar]
- Whittle, M.W. Clinical gait analysis: A review. Hum. Mov. Sci. 1996, 15, 369–387. [Google Scholar] [CrossRef]
- Yang, C.-C.; Hsu, Y.-L.; Shih, K.-S.; Lu, J.-M. Real-time gait cycle parameter recognition using a wearable accelerometry system. Sensors 2011, 11, 7314–7326. [Google Scholar] [CrossRef] [PubMed]
- Whittle, M.W. Calibration and performance of a 3-dimensional television system for kinematic analysis. J. Biomech. 1982, 15, 185–196. [Google Scholar] [CrossRef]
- White, R.; Agouris, I.; Selbie, R.; Kirkpatrick, M. The variability of force platform data in normal and cerebral palsy gait. Clin. Biomech. 1999, 14, 185–192. [Google Scholar] [CrossRef]
- Lau, H.; Tong, K. The reliability of using accelerometer and gyroscope for gait event identification on persons with dropped foot. Gait Posture 2008, 27, 248–257. [Google Scholar] [CrossRef] [PubMed]
- Tao, W.; Liu, T.; Zheng, R.; Feng, H. Gait analysis using wearable sensors. Sensors 2012, 12, 2255–2283. [Google Scholar] [CrossRef] [PubMed]
- Taborri, J.; Palermo, E.; Rossi, S.; Cappa, P. Gait partitioning methods: A systematic review. Sensors 2016, 16, 66. [Google Scholar] [CrossRef] [PubMed]
- Tadano, S.; Takeda, R.; Miyagawa, H. Three dimensional gait analysis using wearable acceleration and gyro sensors based on quaternion calculations. Sensors 2013, 13, 9321–9343. [Google Scholar] [CrossRef] [PubMed]
- Favre, J.; Aissaoui, R.; Jolles, B.M.; de Guise, J.A.; Aminian, K. Functional calibration procedure for 3d knee joint angle description using inertial sensors. J. Biomech. 2009, 42, 2330–2335. [Google Scholar] [CrossRef] [PubMed]
- Palermo, E.; Rossi, S.; Marini, F.; Patane, F.; Cappa, P. Experimental evaluation of accuracy and repeatability of a novel body-to-sensor calibration procedure for inertial sensor-based gait analysis. Measurement 2014, 52, 145–155. [Google Scholar] [CrossRef]
- Kavanagh, J.J.; Menz, H.B. Accelerometry: A technique for quantifying movement patterns during walking. Gait Posture 2008, 28, 1–15. [Google Scholar] [CrossRef] [PubMed]
- Zijlstra, W.; Hof, A.L. Assessment of spatio-temporal gait parameters from trunk accelerations during human walking. Gait Posture 2003, 18, 1–10. [Google Scholar] [CrossRef]
- Zijlstra, W.; Hof, A.L. Displacement of the pelvis during human walking: Experimental data and model predictions. Gait Posture 1997, 6, 249–262. [Google Scholar] [CrossRef]
- Bugané, F.; Benedetti, M.; Casadio, G.; Attala, S.; Biagi, F.; Manca, M.; Leardini, A. Estimation of spatial-temporal gait parameters in level walking based on a single accelerometer: Validation on normal subjects by standard gait analysis. Comput. Methods Programs Biomed. 2012, 108, 129–137. [Google Scholar] [CrossRef] [PubMed]
- Huisinga, J.M.; Mancini, M.; George, R.J.S.; Horak, F.B. Accelerometry reveals differences in gait variability between patients with multiple sclerosis and healthy controls. Ann. Biomed. Eng. 2013, 41, 1670–1679. [Google Scholar] [CrossRef] [PubMed]
- Mizuike, C.; Ohgi, S.; Morita, S. Analysis of stroke patient walking dynamics using a tri-axial accelerometer. Gait Posture 2009, 30, 60–64. [Google Scholar] [CrossRef] [PubMed]
- Iosa, M.; Marro, T.; Paolucci, S.; Morelli, D. Stability and harmony of gait in children with cerebral palsy. Res. Dev. Disabil. 2012, 33, 129–135. [Google Scholar] [CrossRef] [PubMed]
- Saether, R.; Helbostad, J.L.; Adde, L.; Brændvik, S.; Lydersen, S.; Vik, T. Gait characteristics in children and adolescents with cerebral palsy assessed with a trunk-worn accelerometer. Res. Dev. Disabil. 2014, 35, 1773–1781. [Google Scholar] [CrossRef] [PubMed]
- Dler, J.; Parmryd, I. Quantifying colocalization by correlation: The pearson correlation coefficient is superior to the mander’s overlap coefficient. Cytom. Part A 2010, 77, 733–742. [Google Scholar]
- Hershler, C.; Milner, M. An optimality criterion for processing electromyographic (EMG) signals relating to human locomotion. IEEE Trans. Biomed. Eng. 1978, 5, 413–420. [Google Scholar] [CrossRef] [PubMed]
- Li, Y.; Zhang, X.; Gong, Y.; Cheng, Y.; Gao, X.; Chen, X. Motor function evaluation of hemiplegic upper-extremities using data fusion from wearable inertial and surface EMG sensors. Sensors 2017, 17, 582. [Google Scholar] [CrossRef] [PubMed]
- Menz, H.B.; Lord, S.R.; Fitzpatrick, R.C. Acceleration patterns of the head and pelvis when walking on level and irregular surfaces. Gait Posture 2003, 18, 35–46. [Google Scholar] [CrossRef]
- Moe-Nilssen, R.; Helbostad, J.L. Estimation of gait cycle characteristics by trunk accelerometry. J. Biomech. 2004, 37, 121–126. [Google Scholar] [CrossRef]
- Julong, D. Introduction to grey system theory. J. Grey Syst. 1989, 1, 1–24. [Google Scholar]
- Lin, Y.-H.; Lee, P.-C.; Chang, T.-P. Practical expert diagnosis model based on the grey relational analysis technique. Expert Syst. Appl. 2009, 36, 1523–1528. [Google Scholar] [CrossRef]
- Wang, Q.; Chen, X.; Wu, D.; Qian, L.; Zhang, X. In Acceleration and electromyography (EMG) pattern analysis for children with cerebral palsy. In Proceedings of the 2012 IEEE 14th International Conference on E-Health Networking, Applications and Services (Healthcom), Beijing, China, 10–13 October 2012. [Google Scholar]
- Stančin, S.; Tomažič, S. Time-and computation-efficient calibration of MEMS 3D accelerometers and gyroscopes. Sensors 2014, 14, 14885–14915. [Google Scholar] [CrossRef] [PubMed]
- Taborri, J.; Rossi, S.; Palermo, E.; Patanè, F.; Cappa, P. A novel hmm distributed classifier for the detection of gait phases by means of a wearable inertial sensor network. Sensors 2014, 14, 16212–16234. [Google Scholar] [CrossRef] [PubMed]
- Abaid, N.; Cappa, P.; Palermo, E.; Petrarca, M.; Porfiri, M. Gait detection in children with and without hemiplegia using single-axis wearable gyroscopes. PLoS ONE 2013, 8, e73152. [Google Scholar] [CrossRef] [PubMed]
- Esser, P.; Dawes, H.; Collett, J.; Howells, K. IMU: Inertial sensing of vertical com movement. J. Biomech. 2009, 42, 1578–1581. [Google Scholar] [CrossRef] [PubMed]
- Chou, J.C. Quaternion kinematic and dynamic differential equations. IEEE Trans. Robot. Autom. 1992, 8, 53–64. [Google Scholar] [CrossRef]
- Karantonis, D.M.; Narayanan, M.R.; Mathie, M.; Lovell, N.H.; Celler, B.G. Implementation of a real-time human movement classifier using a triaxial accelerometer for ambulatory monitoring. IEEE Trans. Inf. Technol. Biomed. 2006, 10, 156–167. [Google Scholar] [CrossRef] [PubMed]
- Trojaniello, D.; Ravaschio, A.; Hausdorff, J.M.; Cereatti, A. Comparative assessment of different methods for the estimation of gait temporal parameters using a single inertial sensor: Application to elderly, post-stroke, parkinson’s disease and huntington’s disease subjects. Gait Posture 2015, 42, 310–316. [Google Scholar] [CrossRef] [PubMed]
- Tang, L.; Li, F.; Cao, S.; Zhang, X.; Wu, D.; Chen, X. Muscle synergy analysis in children with cerebral palsy. J. Neural Eng. 2015, 12, 046017. [Google Scholar] [CrossRef] [PubMed]
- De Souto, M.C.; de Araujo, D.S.; Costa, I.G.; Soares, R.G.; Ludermir, T.B.; Schliep, A. In Comparative study on normalization procedures for cluster analysis of gene expression datasets. In Proceedings of the 2008 IEEE International Joint Conference on Neural Networks (IEEE World Congress on Computational Intelligence), Hong Kong, China, 1–8 June 2008. [Google Scholar]
- Chang, W.-C. A comprehensive study of grey relational generating. J. Grey Syst. 2000, 3, 53–57. [Google Scholar]
- Carlson, K.J.; Lublinsky, S.; Judex, S. Do different locomotor modes during growth modulate trabecular architecture in the murine hind limb? Integr. Comp. Biol. 2008, 48, 385–393. [Google Scholar] [CrossRef] [PubMed]
- Fortune, E.; Lugade, V.; Amin, S.; Kaufman, K.R. Step detection using multi-versus single tri-axial accelerometer-based systems. Physiol. Meas. 2015, 36, 2519. [Google Scholar] [CrossRef] [PubMed]
- Auvinet, B.; Berrut, G.; Touzard, C.; Moutel, L.; Collet, N.; Chaleil, D.; Barrey, E. Reference data for normal subjects obtained with an accelerometric device. Gait Posture 2002, 16, 124–134. [Google Scholar] [CrossRef]
- Sutherland, D. The development of mature gait. Gait Posture 1997, 6, 163–170. [Google Scholar] [CrossRef]
- Wallard, L.; Bril, B.; Dietrich, G.; Kerlirzin, Y.; Bredin, J. The role of head stabilization in locomotion in children with cerebral palsy. Ann. Phys. Rehabil. Med. 2012, 55, 590–600. [Google Scholar] [CrossRef] [PubMed]
- Godfrey, A.; Del Din, S.; Barry, G.; Mathers, J.; Rochester, L. Instrumenting gait with an accelerometer: A system and algorithm examination. Med. Eng. Phys. 2015, 37, 400–407. [Google Scholar] [CrossRef] [PubMed]
- Del Din, S.; Godfrey, A.; Rochester, L. Validation of an accelerometer to quantify a comprehensive battery of gait characteristics in healthy older adults and parkinson’s disease: Toward clinical and at home use. IEEE J. Biomed. Health Inform. 2016, 20, 838–847. [Google Scholar] [CrossRef] [PubMed]
- Lythgo, N.; Wilson, C.; Galea, M. Basic gait and symmetry measures for primary school-aged children and young adults. II: Walking at slow, free and fast speed. Gait Posture 2011, 33, 29–35. [Google Scholar] [CrossRef] [PubMed]
- Hausdorff, J.; Zemany, L.; Peng, C.-K.; Goldberger, A. Maturation of gait dynamics: Stride-to-stride variability and its temporal organization in children. J. Appl. Physiol. 1999, 86, 1040–1047. [Google Scholar] [PubMed]
- Holm, I.; Tveter, A.T.; Fredriksen, P.M.; Vøllestad, N. A normative sample of gait and hopping on one leg parameters in children 7–12 years of age. Gait Posture 2009, 29, 317–321. [Google Scholar] [CrossRef] [PubMed]
- Ganley, K.J.; Powers, C.M. Gait kinematics and kinetics of 7-year-old children: A comparison to adults using age-specific anthropometric data. Gait Posture 2005, 21, 141–145. [Google Scholar] [CrossRef] [PubMed]









| CP | Gender | Age (Years) | Type | GMFCS Level | Walking State | SF (Step/s) |
|---|---|---|---|---|---|---|
| 1 | F | 12 | Spastic, LN | I | WI | 0.9 |
| 2 | F | 12 | Spastic, HL | I | WI | 0.94 |
| 3 | M | 8 | Spastic, HR | I | WI | 0.96 |
| 4 | M | 7 | Spastic, HL | I | WI | 0.97 |
| 5 | F | 7.6 | Spastic, HR | I | WI | 0.88 |
| 6 | M | 7 | Spastic, HR | I | WI | 0.96 |
| 7 | M | 7.2 | Spastic, HL | I | WI | 0.95 |
| 8 | M | 7.4 | Spastic, HL | I | WI | 0.98 |
| 9 | F | 3 | Spastic, DI | I | WI | 1.12 |
| 10 | M | 3 | Spastic, DI | I | WI | 1.01 |
| 11 | M | 8 | Spastic, DI | II | WI | 0.92 |
| 12 | F | 5 | Spastic, DI | II | WI, SG | 0.84 |
| 13 | M | 4 | Spastic, DI | II | WI, SG | 0.8 |
| 14 | F | 12 | Spastic, HL | II | WI | 0.72 |
| 15 | M | 9 | Spastic, DI | II | WI | 1.00 |
| 16 | M | 9 | Athetosic, DI | II | WI | 0.72 |
| 17 | F | 7.6 | Spastic, DI | III | WI | 0.72 |
| 18 | F | 6 | Spastic, DI | III | WA | 0.64 |
| 19 | M | 3.6 | Spastic, QU | III | WA | 0.62 |
| 20 | F | 7 | Spastic, QU | III | WA | 0.68 |
| 21 | F | 12 | Spastic, DI | III | WI, SG | 0.6 |
| 22 | M | 5 | Spastic, QU | III | WA | 0.67 |
| AD9 | TD5 | CP8 | CP13 | CP22 | |
|---|---|---|---|---|---|
| Sensitivity (%) | 100 | 96.67 | 86.67 | 96.67 | 83.34 |
| PPV (%) | 100 | 96.67 | 86.67 | 90.65 | 80.65 |
| Acceleration Channel | Mean. | S.D. |
|---|---|---|
| SI-L | 0.79 | 0.12 |
| ML-L | 0.03 | 0.68 |
| AP-L | 0.78 | 0.10 |
| SI-R | 0.78 | 0.12 |
| ML-R | 0.05 | 0.70 |
| AP-R | 0.77 | 0.11 |
| SI-W | 0.89 | 0.05 |
| ML-W | 0.02 | 0.61 |
| AP-W | 0.88 | 0.06 |
| Subjects | Slow | Self | Fast |
|---|---|---|---|
| (Step/s) | (Step/s) | (Step/s) | |
| AD5 | 0.78 | 0.85 | 0.96 |
| AD6 | 0.76 | 0.88 | 0.93 |
| AD7 | 0.83 | 0.96 | 1.1 |
| AD8 | 0.89 | 1.01 | 1.13 |
| TD1 | 0.82 | 0.94 | 1.04 |
| TD2 | 0.90 | 1.05 | 1.17 |
| TD3 | 0.95 | 1.10 | 1.14 |
| TD4 | 0.85 | 0.93 | 0.99 |
© 2017 by the authors. Licensee MDPI, Basel, Switzerland. This article is an open access article distributed under the terms and conditions of the Creative Commons Attribution (CC BY) license (http://creativecommons.org/licenses/by/4.0/).
Share and Cite
Chen, X.; Liao, S.; Cao, S.; Wu, D.; Zhang, X. An Acceleration-Based Gait Assessment Method for Children with Cerebral Palsy. Sensors 2017, 17, 1002. https://doi.org/10.3390/s17051002
Chen X, Liao S, Cao S, Wu D, Zhang X. An Acceleration-Based Gait Assessment Method for Children with Cerebral Palsy. Sensors. 2017; 17(5):1002. https://doi.org/10.3390/s17051002
Chicago/Turabian StyleChen, Xiang, Songmei Liao, Shuai Cao, De Wu, and Xu Zhang. 2017. "An Acceleration-Based Gait Assessment Method for Children with Cerebral Palsy" Sensors 17, no. 5: 1002. https://doi.org/10.3390/s17051002
APA StyleChen, X., Liao, S., Cao, S., Wu, D., & Zhang, X. (2017). An Acceleration-Based Gait Assessment Method for Children with Cerebral Palsy. Sensors, 17(5), 1002. https://doi.org/10.3390/s17051002

