Mechanical and Electrical Noise in Sense Channel of MEMS Vibratory Gyroscopes
Abstract
:1. Introduction
2. Model of Sense Channel in MEMS Vibratory Gyroscopes
3. Open-Loop Noise Model
- (1)
- The vibration of the drive axis under the electrostatic force excitation is sufficiently greater than the mechanical-thermal disturbance. Therefore, the NER coupling from the amplitude noise of the drive axis through Coriolis effect is insignificant and can be ignored.
- (2)
- Considering the drift of is extremely slow, the control parameters of the PLL in the drive axis can be set to achieve a very low phase noise for the frequency tracking. Consequently, the phase noise in the demodulation process is neglected in this paper.
- (3)
- Generally, there are multiple electrical noise sources in the system. However, in linear systems, multi stage noise sources can be equivalently converted into the one at the first stage [18]. In analog systems, the noise sources after the demodulation, typically introduced by the LPF, are trivial and thus can be neglected. In digital systems, no additional electrical noise will be presented after the analog-to-digital conversion. Taking these facts into account, we only model one electrical noise source at the pickoff node.
- (4)
- In addition, digitally-based noise, namely spurious, which is usually introduced by clocks and power supplies, is also ignored in this paper.
4. Force-Rebalance Noise Model
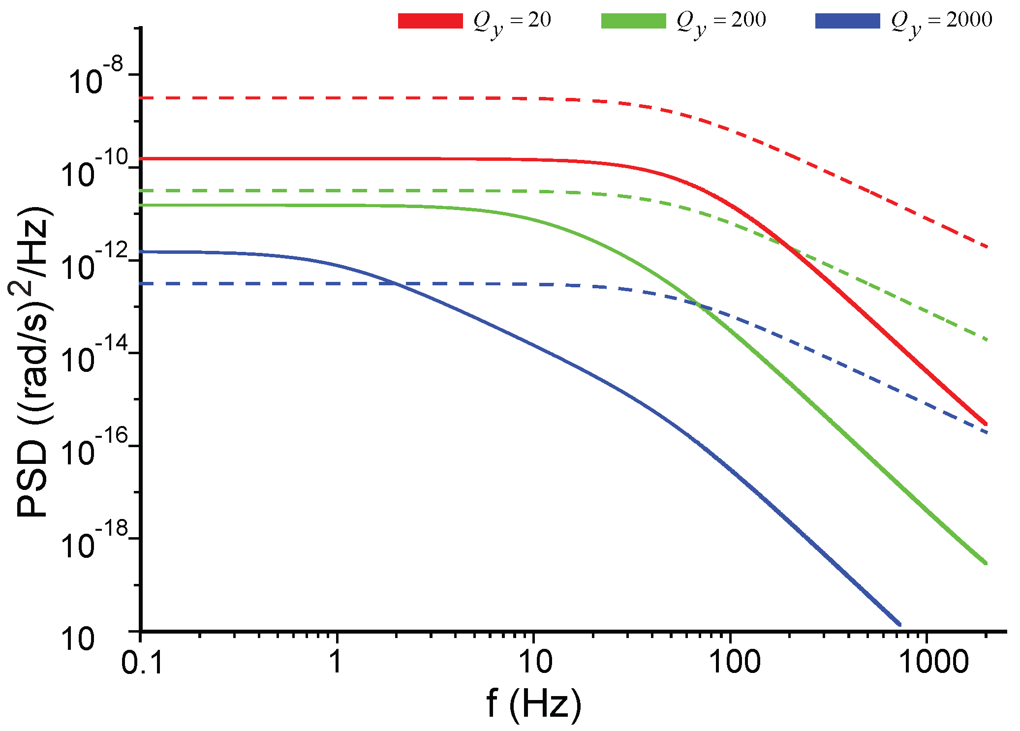
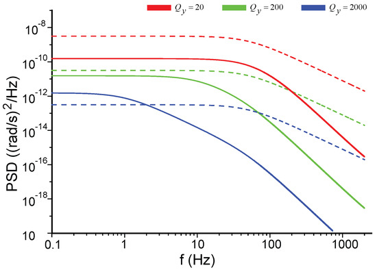
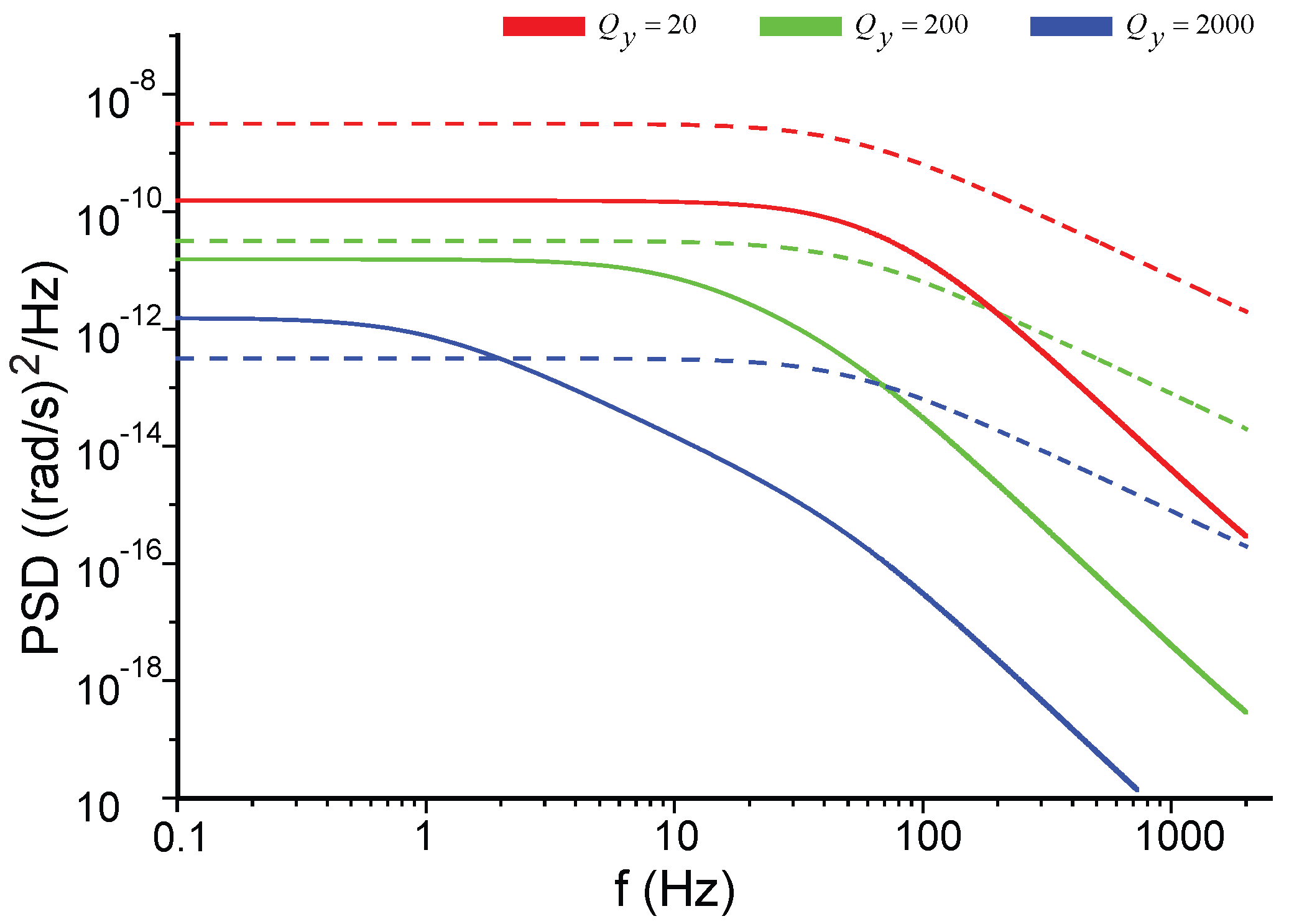
5. Angle Random Walk and Standard Deviation of Noise Equivalent Rate
- (1)
- The increase in can improve the ARW attributable to all noise components, which suggests an effective approach to improve the noise performance.
- (2)
- The boost of can reduce the ARW resulted from the mechanical noise in all of the operation cases but only decreases the ARW, to which the pickoff electrical noise contributes, in mode-matched cases.
- (3)
- Mode matching will not influence the ARW from the mechanical noise but will affect the ARW from the pickoff electrical noise by a factor of .
- (4)
- The enhancement of the pickoff circuit, namely a decrease in the ratio of , can reduce the ARW introduced by the pickoff electrical noise but does not affect the mechanically induced ARW.
- (5)
- The gain of the feedback forcer only affects the ARW from the feedback electrical noise. In other words, in a well-designed system, if the feedback electrical noise is insignificant, the design value of is non-essential for the noise consideration.
- (6)
- For a given gyroscope, loop closing of the sense channel, namely changing the sense channel from open-loop to force-rebalance, will not change the ARW from the mechanical noise and the pickoff electrical noise, neither in the mode-split case nor the mode-matched case.
6. Experiments and Results
7. Conclusions
Acknowledgments
Author Contributions
Conflicts of Interest
Abbreviations
| ACF | autocorrelation function |
| AGC | automatic gain control |
| ARW | angle random walk |
| DC | direct current |
| FPGA | field-programmable gate array |
| LPF | low pass filter |
| MEMS | micro-electro-mechanical systems |
| NER | noise equivalent rate |
| PLL | phase-locked loop |
| PSD | power spectral density |
Nomenclature
| vibration amplitude of the x-axis, m | B | frequency band of interest, Hz | |
| inverse Laplace transform of | damping coefficient of the sense axis, N/(m/s) | ||
| capacitance of the feedback electrodes, F | transfer function of the PI controller and the LPF | ||
| vibration frequency of the x-axis, Hz | cutoff frequency of the LPF, Hz | ||
| frequency resolution in estimation of , Hz | natural frequency of the x-axis, Hz | ||
| natural frequency of the y-axis, Hz | Coriolis force, N | ||
| force exerted along the x-axis, N | force exerted along the y-axis, N | ||
| inverse Laplace transform of | transfer function of the sense axis | ||
| equivalent transfer function of modulated–demodulated | j | imaginary unit, | |
| a constant for the flicker noise at the pickoff circuit, V | a constant for the flicker noise at the feedback circuit, V | ||
| Boltzmann constant, J/K | stiffness of the x-axis, N/m | ||
| stiffness of the y-axis, N/m | gain of the signal conditioning circuit, V/V | ||
| gain of the digital-to-analog converter buffer, V/V | gain of the feedback forcer, N/V | ||
| integral parameter of the PI controller | proportional parameter of the PI controller | ||
| gain of the pickoff circuit (displacement to voltage), V/m | transfer function of the LPF | ||
| m | mass of the sensor resonator, kg | noise in the sense channel before modulation, V | |
| noise in the sense channel after modulation, V | electrical noise introduced by feedback circuits, V | ||
| electrical noise introduced by pickoff circuits, V | mechanical-thermal noise, N | ||
| quality factor of the y-axis | equivalent resistance of the Johnson noise at the feedback circuit, | ||
| equivalent resistance of the Johnson noise at the pickoff circuit, | ACF of | ||
| ACF of | PSD of , V/Hz | ||
| PSD of , V/Hz | PSD of , V/Hz | ||
| PSD of , V/Hz | PSD of , N/Hz | ||
| PSD of the NER, (rad/s)/Hz | T | temperature, K | |
| time for averaging, s | equivalent transfer function in force-rebalance sense channel | ||
| equivalent transfer function in force-rebalance noise model | bias DC voltage applied to the forcer electrodes, V | ||
| x | displacement along the x-axis, m | y | displacement along the y-axis, m |
| open-loop scale-factor, V/(rad/s) | closed-loop scale-factor, V/(rad/s) | ||
| modal frequency split, Hz | modal frequency split, rad/s | ||
| angular gain factor | standard deviation of the gyroscope output, rad/s | ||
| standard deviation of NER, rad/s | demodulation phase, rad | ||
| optimal demodulation phase, rad | vibration frequency of the x-axis, rad/s | ||
| natural frequency of the x-axis, rad/s | natural frequency of the y-axis, rad/s | ||
| Laplace transform of | Laplace transform of | ||
| input angular rate, rad/s | measured angular rate, rad/s | ||
| angle random walk, (rad/s)/ |
References
- Mohd-Yasin, F.; Nagel, D.; Korman, C. Noise in MEMS. Meas. Sci. Technol. 2009, 21, 012001. [Google Scholar] [CrossRef]
- Leland, R.P. Mechanical-thermal noise in MEMS gyroscopes. IEEE Sens. J. 2005, 5, 493–500. [Google Scholar] [CrossRef]
- Cao, H.; Li, H.; Liu, J.; Shi, Y.; Tang, J.; Shen, C. An improved interface and noise analysis of a turning fork microgyroscope structure. Mech. Syst. Signal Process. 2016, 70, 1209–1220. [Google Scholar] [CrossRef]
- Kim, D.; M’Closkey, R. Noise analysis of closed-Loop vibratory rate gyros. In Proceedings of the American Control Conference (ACC), Montreal, QC, Canada, 27–29 June 2012; pp. 92–97. [Google Scholar]
- Kim, D.; M’Closkey, R.T. Spectral analysis of vibratory gyro noise. IEEE Sens. J. 2013, 13, 4361–4374. [Google Scholar] [CrossRef]
- Ding, X.; Li, H.; Zhu, K.; Zhang, Y. A Force Rebalanced Micro-Gyroscope Driven by Voltages Oscillating at Half of Structure’s Resonant Frequency. IEEE Sens. J. 2016, 16, 8897–8907. [Google Scholar] [CrossRef]
- IEEE. IEEE Standard Specification Format Guide and Test Procedure for Coriolis Vibratory Gyros; IEEE Std 1431-2004; IEEE: Piscataway, NJ, USA, 2004; pp. 1–78. [Google Scholar]
- Vukmirica, V.; Trajkovski, I.; Asanović, N. Two methods for the determination of inertial sensor parameters. Sci. Tech. Rev. 2010, 60, 27–33. [Google Scholar]
- Sung, W.T.; Sung, S.; Lee, J.G.; Kang, T. Design and performance test of a MEMS vibratory gyroscope with a novel AGC force rebalance control. J. Micromech. Microeng. 2007, 17, 1939. [Google Scholar] [CrossRef]
- Cui, J.; Guo, Z.; Zhao, Q.; Yang, Z.; Hao, Y.; Yan, G. Force rebalance controller synthesis for a micromachined vibratory gyroscope based on sensitivity margin specifications. J. Microelectromech. Syst. 2011, 20, 1382–1394. [Google Scholar] [CrossRef]
- Trusov, A.; Atikyan, G.; Rozelle, D.; Meyer, A.; Zotov, S.; Simon, B.; Shkel, A. Force rebalance, whole angle, and self-calibration mechanization of silicon MEMS quad mass gyro. In Proceedings of the 2014 International Symposium on Inertial Sensors and Systems (ISISS), Laguna Beach, CA, USA, 25–26 February 2014; pp. 1–2. [Google Scholar]
- Zaman, M.F.; Sharma, A.; Hao, Z.; Ayazi, F. A mode-matched silicon-yaw tuning-fork gyroscope with subdegree-per-hour Allan deviation bias instability. J. Microelectromech. Syst. 2008, 17, 1526–1536. [Google Scholar] [CrossRef]
- Sung, S.; Sung, W.T.; Kim, C.; Yun, S.; Lee, Y.J. On the mode-matched control of MEMS vibratory gyroscope via phase-domain analysis and design. IEEE/ASME Trans. Mechatron. 2009, 14, 446–455. [Google Scholar] [CrossRef]
- Sonmezoglu, S.; Alper, S.E.; Akin, T. An automatically mode-matched MEMS gyroscope with wide and tunable bandwidth. J. Microelectromech. Syst. 2014, 23, 284–297. [Google Scholar] [CrossRef]
- Xu, L.; Li, H.; Yang, C.; Huang, L. Comparison of three automatic mode-matching methods for silicon micro-gyroscopes based on phase characteristic. IEEE Sens. J. 2016, 16, 610–619. [Google Scholar] [CrossRef]
- Saukoski, M.; Aaltonen, L.; Halonen, K.A. Zero-rate output and quadrature compensation in vibratory MEMS gyroscopes. IEEE Sens. J. 2007, 7, 1639–1652. [Google Scholar] [CrossRef]
- Ding, X.; Li, H.; Ni, Y.; Sang, P. Analysis of Frequency Response and Scale-Factor of Tuning Fork Micro-Gyroscope Operating at Atmospheric Pressure. Sensors 2015, 15, 2453–2472. [Google Scholar] [CrossRef] [PubMed]
- Leach, W.M. On the calculation of noise in multistage amplifiers. IEEE Trans. Circuits Syst. I 1995, 42, 176–178. [Google Scholar] [CrossRef]


















| Parameters | Values | Parameters | Values |
|---|---|---|---|
| m | 1 | ||
| 200 | |||
| 0 | 500 | ||
| Attributable to | Attributable to | Attributable to | |
|---|---|---|---|
| Open-loop, mode-split | − | ||
| Open-loop, mode-matched | − | ||
| Force-rebalance, mode-split | |||
| Force-rebalance, mode-matched |
© 2017 by the authors. Licensee MDPI, Basel, Switzerland. This article is an open access article distributed under the terms and conditions of the Creative Commons Attribution (CC BY) license (http://creativecommons.org/licenses/by/4.0/).
Share and Cite
Ding, X.; Jia, J.; Gao, Y.; Li, H. Mechanical and Electrical Noise in Sense Channel of MEMS Vibratory Gyroscopes. Sensors 2017, 17, 2306. https://doi.org/10.3390/s17102306
Ding X, Jia J, Gao Y, Li H. Mechanical and Electrical Noise in Sense Channel of MEMS Vibratory Gyroscopes. Sensors. 2017; 17(10):2306. https://doi.org/10.3390/s17102306
Chicago/Turabian StyleDing, Xukai, Jia Jia, Yang Gao, and Hongsheng Li. 2017. "Mechanical and Electrical Noise in Sense Channel of MEMS Vibratory Gyroscopes" Sensors 17, no. 10: 2306. https://doi.org/10.3390/s17102306
APA StyleDing, X., Jia, J., Gao, Y., & Li, H. (2017). Mechanical and Electrical Noise in Sense Channel of MEMS Vibratory Gyroscopes. Sensors, 17(10), 2306. https://doi.org/10.3390/s17102306

