Next Article in Journal
Design Methodology for Magnetic Field-Based Soft Tri-Axis Tactile Sensors
Previous Article in Journal
Are We Ready to Build a System for Assisting Blind People in Tactile Exploration of Bas-Reliefs?
 
 
Font Type:
Arial Georgia Verdana
Font Size:
Aa Aa Aa
Line Spacing:
Column Width:
Background:
Article

The Finite Element Analysis for a Mini-Conductance Probe in Horizontal Oil-Water Two-Phase Flow

1
School of Information Science and Engineering, Yanshan University, Qinhuangdao 066004, Hebei, China
2
Key Laboratory for Computer Virtual Technology and System Integration of Hebei Province, Qinhuangdao 066004, Hebei, China
3
Logging and Testing Services Company, Daqing Oilfield Limited Company, Daqing 163453, Heilongjiang, China
4
Daqing Oilfield Limited Company, Daqing 163453, Heilongjiang, China
*
Author to whom correspondence should be addressed.
Sensors 2016, 16(9), 1352; https://doi.org/10.3390/s16091352
Submission received: 18 June 2016 / Revised: 4 August 2016 / Accepted: 15 August 2016 / Published: 24 August 2016
(This article belongs to the Section Physical Sensors)

Abstract

:
Oil-water two-phase flow is widespread in petroleum industry processes. The study of oil-water two-phase flow in horizontal pipes and the liquid holdup measurement of oil-water two-phase flow are of great importance for the optimization of the oil production process. This paper presents a novel sensor, i.e., a mini-conductance probe (MCP) for measuring pure-water phase conductivity of oil-water segregated flow in horizontal pipes. The MCP solves the difficult problem of obtaining the pure-water correction for water holdup measurements by using a ring-shaped conductivity water-cut meter (RSCWCM). Firstly, using the finite element method (FEM), the spatial sensitivity field of the MCP is investigated and the optimized MCP geometry structure is determined in terms of the characteristic parameters. Then, the responses of the MCP for the oil-water segregated flow are calculated, and it is found that the MCP has better stability and sensitivity to the variation of water-layer thickness in the condition of high water holdup and low flow velocity. Finally, the static experiments for the oil-water segregated flow were carried out and a novel calibration method for pure-water phase conductivity measurements was presented. The validity of the pure-water phase conductivity measurement with segregated flow in horizontal pipes was verified by experimental results.

1. Introduction

Two-phase flow is widespread in the petroleum industry, chemical engineering, pharmacy and nuclear reaction fields, etc. The study of liquid-liquid/gas-liquid two-phase flow in horizontal pipes and the individual phase concentration measurement of liquid-liquid/gas-liquid two-phase flow are of great importance for diverse industrial applications and the optimization of the oil production process [1,2]. Electrical methods (the capacitance method and conductance method) are widely used for gas-liquid/liquid-liquid two-phase flow measurements because they are characterized by their clarity of principle, simple structure, easy implementation, low cost, on-line measurement, fast response, and lack of fluid interference, etc. [3,4,5,6,7,8,9]. In particular the conductance method [8,9] is mainly dependent on the conductive properties of the flow components, which means that a direct measurement of phase holdup could be made if the two flow components are both electrically conductive and have contrasting conductivity. Therefore, it is very important and meaningful to measure the water holdup of oil-water two-phase flow in horizontal wells by using the conductance method [10].
The measurement principle of water holdup [1,11,12] indicates that water holdup can be determined by oil-water mixture phase conductivity and continuous water phase conductivity. Water holdup, which can be obtained according to Maxwell analytic model [13], can be converted into a water volume fraction, with an interpretation chart for slip correction. The value of oil-water mixture phase conductivity is mainly dependent on the dispersed oil-phase volume fraction and continuous water phase conductivity; meanwhile it is influenced by the space distribution of the discrete phase.
In terms of the ring-shaped conductance probe (RSCP) geometry optimization, Lucas et al. [14,15] used the FEM to investigate the sensitivity field distribution for the geometry optimization of electrodes. Fossa and Devia [16,17] optimized the RSCP geometry, and investigated the effects of the RSCP geometry on the response of the measuring device in annular, segregated and bubble flows, and improved the RSCP response both in terms of linearity and spatial resolution by means of the numerical solution of Laplace problem. Using the FEM, Jin et al. [18] designed and optimized a conductivity probe with a vertical multiple electrode array (VMEA), proposed the content of the spatial sensitivity and effective information, and then, constructed an optimized VMEA which could be used to measure cross-correlation velocity and predict volume fraction in vertical upward gas-water two-phase flow with satisfactory accuracy.
Although progress has been made on the conductance method in previous research, the early work mainly focused on the investigation of the sensitivity distribution of the electric field for vertical small diameter pipes, and paid little attention to the effects of various flow patterns in horizontal pipes on the output response both in terms of linearity and spatial resolution. The oil-water two-phase flow patterns of long distance undulating horizontal wells have a mixed flow pattern which is mainly horizontal segregated flow as opposed to vertical wells [2,19]. The flow pattern and flow velocity are influenced by the inclination of the long distance undulating horizontal well, so the pre-existing profile parameters measuring sensor production for vertical wells cannot be directly used for horizontal wells.
Early experimental investigations on the horizontal oil-water two-phase flow patterns were conducted in acrylic pipes with a small diameter, and the flow patterns were primarily defined by simple observations [20,21]. Arirachakaran et al. [22] observed stratified flow, mixed flow, annular flow, intermittent flow and dispersed flow in a 25.1 mm inner-diameter (ID) horizontal pipe. Trallero et al. [23] comprehensively performed an experimental and theoretical study in a 50.1 mm ID pipe, and then classified the flow patterns into segregated flow and dispersed flow, the segregated flow includes stratified flow (ST) and stratified flow with mixing at the interface (ST & MI), the dispersed flow includes dispersion of oil in water and water flow (DO/W & W), dispersion of water in oil and oil in water flow (DW/O & DO/W), dispersion of oil in water flow (DO/W), and dispersion of water in oil flow (DW/O). Zhai et al. [24] conducted an experimental under various flow conditions in a 20 mm ID horizontal pipe by using the radial mini-conductance probes and RSCP, analyzed and obtained the same result of flow patterns classification.
In vertical production profile logging wells, the RSCWCM measures oil-water mixture phase conductivity online when the fluid flows through the RSCP measuring pipelines. The pure-water phase conductivity could be obtained by the RSCP connected with a sampler for oil-water two-phase separation [1,12]. In horizontal production profile logging wells, the oil-water mixture phase conductivity could be measured online in the process of fluid flow by using the RSCWCM [25]. However, due to the characteristics of the horizontal well structure and limitations of the ring-shaped electrode structure of the RSCWCM, the RSCP must still be immersed in the oil-water segregated flow when sampling [26], so it is impossible to realize pure-water result sampling calibration, and the RSCWCM cannot be applied in horizontal wells.
In this study, we designed and optimized a MCP for measuring pure-water phase conductivity of oil-water two-phase segregated flows in horizontal pipes. We also present the experimental results to verify the validity of pure-water phase conductivity measurement using our new MCP.

2. Simulation of the MCP

2.1. The Geometry of the MCP

Figure 1 shows the geometric structure and the parameters of the MCP. The MCP consists of a pair of metal parallel-electrodes along the axial section direction, with each electrode flush-mounted on the inside wall of the insulated flow pipe. E1 and M1 represent two electrodes, each of which is simultaneously the exciting and measuring electrode. Polarization phenomena occur in the vicinity of the E1 and M1 electrodes when the MCP is excited by low frequency electrical power, which would result in parasitic impedance and lead to a detectable measuring error.
The structure parameters and coordinates of the MCP are also shown in Figure 1, in which S is the separation between the two electrodes, d is the same diameter of metal parallel-electrodes, h is the measurement field height of the metal parallel-electrode, D is the inner diameter of the insulated flow pipe, Dw is the thickness of the insulated flow pipe, and L is the axial length of the insulated flow pipe.

2.2. The Meshed Model of the MCP

Since the measurement field of the MCP is much smaller than the wavelength of the electric field, the electric field can be modeled as time invariant. With this regard, it uses a direct current source is used as the exciting signal to investigate the electric field of the MCP. The distribution of the electric field can be described by the Laplace equation [27]:
2 u ( r , φ , z ) = 1 r r ( r u r ) + 1 r 2 2 u φ + 2 u z 2 = 0
The essential boundary conditions can be expressed as
{ u = 0   ( r [ D 2 - h , D 2 ] , φ [ - a r c t a n ( d D 2 h ) , + a r c t a n ( d D 2 h ) ] , z [ S d 2 , S + d 2 ] ) u r = I e S d   ( r [ D 2 - h , D 2 ] , φ [ - a r c t a n ( d D 2 h ) , + a r c t a n ( d D 2 h ) ] , z [ S + d 2 , S d 2 ] ) u z = 0   ( z = ± L 2 )
where u is the inner electric potential distribution, Ie represents exciting current, D is the inner diameter of the insulated flow pipe, L is the insulated flow pipe length, h is the measurement field height of the metal parallel-electrode, and Sd is the surface area of the two electrodes of the MCP.
We employ the FEM to investigate the distribution of the electric field inside the MCP. Figure 2 shows the meshed finite element model of the MCP in ANSYS software in which we chose SOLID232 as the element type and used free meshing to mesh the model. The total element number of the units of the meshed finite model is 26,695. A direct current of 0.1 mA is supplied to the electrode E1, a current of −0.1 mA is supplied to M1, and the voltage of electrode M1 is simultaneously set to 0 V.

2.3. Optimize Parameters for the MCP Structure

The relative change amount of difference of output voltage between the two electrodes are measured after putting an oil droplet at some sensitive position coordinates (x,y,z), where the measuring electrodes difference of output voltage U0 is used as a reference when the insulated flow pipe is only filled with a continuous water phase. Using the finite element simulation model of the MCP it could be known that when the oil droplet is located at any unit volume in the measurement field, the response voltage of the measuring electrodes is Um(x,y,z) and the difference of output voltage between the measuring electrodes is ΔUm(x,y,z). The element sensitivity ψ m ( x , y , z ) is the result of the normalization for the relative change amount of difference of output voltage at any unit volume in the spatial measurement field, which is generated by the conductivity change of the subdomain. The element sensitivity ψ m ( x , y , z ) can be expressed as [14]:
Δ U m ( x , y , z ) = U m ( x , y , z ) -U 0   m = 1 , 2 , , N
ψ m ( x , y , z ) = Δ U m ( x , y , z ) [ Δ U m ( x , y , z ) ] max × 100 %   m = 1 , 2 , , N
where [ΔUm(x,y,z)]max is the maximum change in the value of the voltage drop between electrodes E1 and M1 that was calculated for the range of particle positions under consideration, and N is the total number of the unit volume in the measurement field.
The spatial sensitivity is the set of the sensitivity for any element unit volume in the spatial measurement field. In the process of simulation, using the insulated oil droplet as the test particle to traverse for the results of the equal division quantization for the volume of the spatial measurement field, from which the change amount of voltage at any element unit volume can be obtained. The element sensitivity can then be obtained after the normalization for the change amount of voltage at any element unit volume, which has nothing to do with the volume of the oil droplet.
The test particle was regarded as the center of mass to process while obtaining the element sensitivity in the spatial measurement field, that is, traversing the spatial measurement field is implemented by changing the center of mass position of the test particle.
This paper obtained the set of the sensitivity for any element unit volume of any center of mass by changing the center of mass with some regularity during obtaining the average spatial sensitivity in the spatial measurement filed of sensors, that is, the space measurement field is quantified into N equal parts, and Savg can be accessed by averaging the N parts of each elementsensitivity, based on the investigation into the sensor sensitivity distribution [28].
Taking into account the computational speed of the FEM in the three-dimensional electric field, an oil droplet of 2 mm-diameter was used in the simulation experiment. Changing the center of mass for the oil droplet, and solving finite element model with formula (1), the element sensitivity distribution of the MCP in the specific structure can then be obtained:
S a v g = 1 N m = 1 N ψ m ( x , y , z )     m = 1 , 2 , , N
The sensitivity variation parameter Svp:
S v p = S d e v S a v g × 100 %
The parameters Savg and Svp are used as the optimization indexes to study the effect of sensor geometry on the sensitivity field, in which Svp is the standard deviation of the element sensitivity and can be expressed as:
S d e v = [ 1 N m = 1 N ( ψ m ( x , y , z ) S a v g ) 2 ] 1 / 2     m = 1 , 2 , , N
Obviously, the smaller the parameter Svp is, the more homogeneous the distribution of the sensor sensitivity field would be. This indicates that the sensitivity of the sensor is better when Savg is larger. When Svp is smaller, the detection sensitivity is more uniformand the measurement value error is smaller. Actually, we expected to get high sensor relative sensitivity Savg and Svp minimized at the same time when designing and optimizing the MCP.
In the process of sensor parameters optimization, the electric field distribution evenness and sensor sensitivity distribution uniformity are used as the performance indicators of the MCP. The parameters d, h and S are the main factors that influence the MCP spatial sensitivity distribution. Especially the parameter h directly determines the ability of the MCP to distinguish the level of oil-water contact interface for pure-water phase conductivity measurements. Therefore, in this paper, under the condition of the parameter D = 20 mm, the parameter h is set to 3, 2 and 1 mm, respectively, to analyze the electric field distribution and sensitivity intensity distribution of the MCP in simulation and parameter optimization.

2.3.1. Electric Field Distribution and Parameters Optimization When h = 3 mm

Figure 3 shows the electric field distributions of both the XoZ and YoZ sections of the MCP in simulation when D = 20 mm, h = 3 mm, d = 1.5 mm, S equals 3, 4, 5, 6 mm, respectively. As can be seen in Figure 3, the S has great influences on the electric field distribution of the MCP. The larger the S is, the weaker the electric field between the two electrodes is, and the more uneven the distribution is. When S = 3 mm, the electric field intensity between the two electrodes is large, but the distribution uniformity is influenced; when S = 6 mm, the electric field intensity between the two electrodes is significantly decreased, the distribution uniformity is severely influenced.
Based on the study of the sensor electric field using FEM, we can further calculate the 2D sensitivity distribution between two measuring electrodes of the MCP. In the calculation, the relative resistivity of water and oil are respectively set as 100 Ω·m and 1.0E + 13 Ω·m. It is worth nothing that the center of mass of the oil droplet is located on the YoZ plane section. The total number of the test positions N is equal to 399.
As can be seen from Figure 3, when S = 4 mm, the electric field distribution of the MCP is relatively uniform. Figure 4 shows the distribution of sensor sensitivity field with the parameters constant at D = 20 mm, h = 3 mm, d = 1.5 mm and S = 4 mm. As can be seen from Figure 4a,b, the regions around the electrodes show relatively high sensitivity, while away from the electrodes the sensitivity tends to be quite low. As can be seen from Figure 4b–d, the regions show relatively high sensitivity at the position of |Z| < 6 mm and Y < −4 mm; the sensor is not sensible to oil droplet in the region of |Z| > 6 mm or Y > −4 mm.
The sensor relative sensitivity Savg and sensitivity variation parameter Svp extracted from Figure 4 are 0.104 and 1.779, respectively. Furthermore, the dependence of the calculated sensitivity field on the number of the meshed grids in the finite model is investigated. As shown in Table 1, it is obvious that the value of Savg, as well as the value of Svp, has a very small differences in different grids, which indicates the relative independence of the calculated results on the meshed grids.
Under the condition of the parameter D = 20 mm, to further investigate the influence which the parameters S and d have on sensitivity distribution when h = 3 mm, in simulation calculation, by obtaining the sensitivity values of different sensor geometries in the sensitive field, we use the sensitivity optimization indexes to optimize the parameters S and d, and then get their optimal values. The range of parameters S and d are (3 mm, 6 mm), (0.9 mm, 1.7 mm), respectively. Figure 5 shows the optimization indexes Savg and Svp of the MCP sensitivity field in which both the S and d are different. In Figure 5a by setting h = 3 mm, d = 1.5 mm, the Savg and Svp of the MCP sensitivity field in which S is different are calculated. From the analysis of Figure 3 and Figure 5a, when S = 4 mm, the relative sensitivity in sensitive field has a higher value, and its distribution is relatively uniform. In Figure 5b, on the basis of the optimized parameter S, with the parameters constant at h = 3 mm and S = 4 mm, and the Savg and Svp of the MCP sensitivity field in which d is different are calculated. As can be seen in Figure 5b, the relative sensitivity has a higher value in sensitive field, and its distribution is relatively uniform when d = 1.5 mm.
According to the characteristic parameters of the sensor sensitivity field, when the parameters D = 20 mm and h = 3 mm, we select the optimum geometry of MCP as S = 4 mm, d = 1.5 mm.

2.3.2. Electric Field Distribution and Parameters Optimization When h = 2 mm

Figure 6 shows the electric field distributions of both the XoZ and YoZ sections of the MCP when the parameters D = 20 mm, h = 2 mm, d = 1.5 mm, and S equals to 3, 4, 5, 6 mm, respectively. As can be seenin Figure 6, S has a great influence on the electric field distribution of the MCP, and the greater the S is, the weaker and the more unevenly distributed the electric field is. When S = 3 mm, the intensity of the electric field between the two electrodes is larger, but the distribution uniformity is affected. When S = 6 mm, the electric field intensity between the two electrodes decreases significantly, and distribution uniformity is severely affected.
As can be seen from Figure 6, when S = 4 mm, the electric field distribution of the MCP is relatively uniform. Figure 7 shows the distribution of sensor sensitivity field with the parameters constant at D = 20 mm, h = 2 mm, d = 1.5 mm and S = 4 mm. As can be seen from Figure 7a,b, the regions around the electrodes show relatively high sensitivity, while away from the electrodes the sensitivity tends to be quite low. As can be seen from Figure 7b–d, the regions show relatively high sensitivity at the position of |Z| < 6 mm and Y < −5 mm; the sensor is not sensitive to oil droplets in the region of |Z| > 6 mm or Y > −5 mm.
Under the condition of the parameter D = 20 mm, to further investigate the influences the parameters S and d have on the sensitivity distribution when h = 2 mm, in simulation experiment, by obtaining the sensitivity values of different sensor geometriesin the sensitive field, we use the sensitivity optimization indexes to optimize the parameters S and d, and then get their optimal values. The range of parameters S, d are (3 mm, 6 mm), (0.9 mm, 1.7 mm), respectively. Figure 8 shows the optimization indexes Savg and Svp of MCP sensitivity field in which both the S and d are different. In Figure 8a by setting D = 20 mm, h = 2 mm, d = 1.5 mm, respectively, the optimization indexes Savg and Svp of MCP sensitivity field in which S is different are calculated. From the analysis of Figure 7 and Figure 8a, when S = 4 mm, the relative sensitivity has a higher value in sensitive field, and its distribution is relatively uniform. In Figure 8b, on the basis of the optimized parameter S, with the parameters constant at D = 20 mm, h = 2 mm and S = 4 mm, the optimization indexes Savg and Svp of the MCP sensitivity field in which d is different are calculated. Figure 8b shows that the relative sensitivity has a higher value in sensitive field, and its distribution is relatively uniform when d = 1.3 mm. According to the characteristic parameters of the sensor sensitivity field, when D = 20 mm, h = 2 mm, the optimum geometry of MCP is selected as S = 4 mm, d = 1.3 mm.

2.3.3. Electric Field Distribution and Parameters Optimization When h = 1 mm

Figure 9 shows the electric field distributions of both the XoZ and YoZ sections of the MCP when D = 20 mm, h = 1 mm, d = 1.5 mm, and S equals to 3, 4, 5, 6 mm, respectively. As can be observed from Figure 9, the parameter S has a great influence on the electric field distribution of the MCP, and the greater the S is, the weaker the electric field is, and the more uneven the distribution is. When S = 3 mm and S = 4 mm, the intensity of the electric field between the two electrodes is larger, and the distribution uniformity is affected. When S = 5 mm and S = 6 mm, the electric field intensity between the two electrodes intensity significantly decreases, and the distribution uniformity is severely affected.
As can be seen from Figure 9, when S = 3 mm, the electric field distribution of the MCP is relatively uniform. Figure 10 shows the distribution of sensor sensitivity field with the parameters constant at D = 20 mm, h = 1 mm, d = 1.5 mm and S = 3 mm. As can be seen from Figure 10a,b, the regions around the electrodes show relatively high sensitivity, while away from the electrodes the sensitivity tends to be quite low. As can be seen from Figure 10b–d, the regions show relatively high sensitivity at the position of |Z| < 5 mm and Y < −6 mm; the sensor is not sensible to oil droplet in the region of |Z| > 5 mm or Y > −6 mm.
To further investigate the influences of the parameters S and d have on sensitivity distribution when D = 20 mm, h = 1 mm, in simulation experiments, by obtaining the sensitivity values of different sensor geometries in the sensitive field, we use the sensitivity optimization indexes to optimize the parameters S and d, and then gets their optimal values. The range of parameters S, d are (3 mm, 6 mm), (0.9 mm, 1.7 mm), respectively. Figure 11 shows the effect of the MCP geometry on the optimization indexes Savg and Svp of the MCP sensitivity field in which the parameters S and d are different. In Figure 11a by setting D = 20 mm, h = 1 mm, d = 1.5 mm, respectively, the optimization indexes Savg and Svp of the MCP sensitivity field in which S is different are calculated. From the analysis of Figure 10 and Figure 11a, when S = 3 mm, the relative sensitivity in the sensitive field has a higher value, and its distribution is relatively uniform. In Figure 11b, on the basis of the optimized parameter S, with the parameters constant at D = 20 mm, h = 1 mm, S = 3 mm, the Savg and Svp of the MCP sensitivity field in which d is different are calculated. As can be seen in Figure 11b, the relative sensitivity has a higher value in sensitive field, and its distribution is relatively uniform when d = 1.3 mm.
According to the characteristic parameters of the sensor sensitivity field, when D = 20 mm, h = 1 mm, the optimum geometry of MCP is selected as S = 3 mm, d = 1.3 mm.

3. Simulation Calculated Response for Segregated Flow

From Section 2, the sensitive fields of the MCP with different values of h have some differences when the parameters S and d are constant, especially with the increase of the parameter h, the sensitive field of sensor along the Y-axis shows a continuous expanding tendency. Consequently, to measure the pure-water phase conductivity in the condition of the horizontal oil-water segregated flow, the effect degree of the MCP in the measurement field along the Y-axis by the non-conducting materials such as oil phase and so on needs further investigation. From the analysis of Figure 5, Figure 8 and Figure 11, under the condition of the parameter D = 20 mm, the geometry parameters h, S and d of the MCP after optimization value h = 3 mm, S = 4 mm, d = 1.5 mm and h = 2 mm, S = 4 mm, d = 1.3 mm and h = 1 mm, S = 3 mm, d = 1.3 mm, respectively.
In this simulation, the response of the MCP for oil-water segregated flow is calculated using a 3D finite element model. Figure 12 shows the 2D view of the meshed model for segregated flow. H is the thickness of the water layer, D is the inner diameter of the insulated flow pipe. The simulation conditions, which are also same as the condition in Section 2, are that the water resistivity σw = 100 Ω·m, oil resistivity σo = 1.0E + 13 Ω·m, a direct current of 0.1 mA is supplied to the electrode E1, a current of −0.1 mA is supplied to M1, and the voltage of electrode M1 is simultaneously set to 0 V.
Figure 13 shows the curve between water holdup ym and height of water layer (H/D), and it is a nonlinear curve between the ym and the (H/D), the range of both ym and (H/D) are from 0 to 1. When ym = 0 or (H/D) = 0, the insulated flow pipe is filled with pure oil; when ym = 1 or (H/D) = 1, the insulated flow pipe is filled with pure water; when 0 < ym < 1 or 0 < H/D < 1, the insulated flow pipe is filled with oil-water mixture.
Under the condition of the parameter D = 20 mm, the response signals of the MCP are analyzed in terms of ym and H/D, respectively, the range of both ym and H/D are from 0 to 1, and the change interval with 0.05 was used as an experimental point. The calculated response values of the MCP are shown in Table 2 and Figure 14 in which Vm is the measured voltage and can be expressed as:
V m = k σ × σ m × I e
where kσ is resistance correction coefficient, σm is resistivity of oil-water mixture in measurement field, Ie represents exciting current.
As can be seen from Table 2, the response values of the MCP have obvious differences under the pure oil and pure water conditions, which can be attributed to the distinctive difference of water and oil resistivity. Meanwhile, the response values of sensor structure with different parameters are different, which can be attributed to the different electric field generated by two electrodes in measurement field.
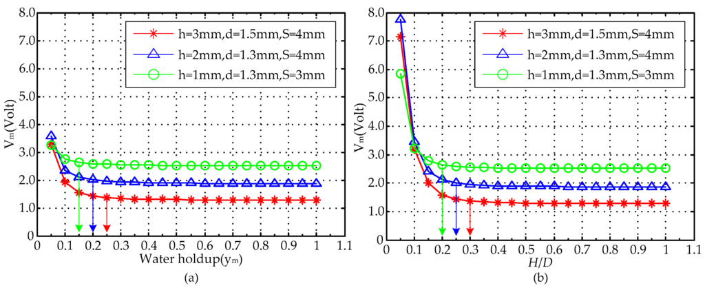
As can be seen from Figure 14, the range of both ym and H/D are from 0.05 to 1, and with the increase of ym or H/D, under the condition of lower ym or H/D, the measured voltage value Vm shows an obvious difference and decreasing tendency, which can be attributed to the stronger electric field in the measurement region, where the non-conducting oil phase is located in the high sensitivity sensitive area analyzed from Figure 4, Figure 7 and Figure 10. Therefore, the response result is seriously affected by the non-conducting oil phase and the pure-water result cannot be obtained. When ym or H/D is greater than or equal to a constant value, the response result of the MCP is approximately equal to pure-water value, and it is almost not influenced by oil phase, which can be attributed to the non-conducting fluid away from the high sensitivity sensitive area. Under the conditions of higher ym or H/D, the MCP can obtain a reliable and accurate pure-water value, and it can be used as the pure-water correction for water content measurement. As can be seen from Figure 14a, in the condition of the MCP with D = 20 mm, h = 3 mm, d = 1.5 mm and S = 4 mm, the response result is approximately equal to the pure-water value when ym is greater than or equal to 0.25. In the condition of the MCP with D = 20 mm, h = 2 mm, d = 1.3 mm and S = 4 mm, the response result is approximately equal to the pure-water value when ym is greater than or equal to 0.20. In the condition that the MCP with D = 20 mm, h = 1 mm, d = 1.3 mm and S = 3 mm, the response result is approximately equal to the pure-water value when ym is greater than or equal to 0.15. As well, in Figure 14b, in the condition of the MCP with D = 20 mm, h = 3 mm, d = 1.5 mm and S = 4 mm, the response result is approximately equal to the pure-water value when H/D is greater than or equal to 0.30.
In the condition ofthe MCP with D = 20 mm, h = 2 mm, d = 1.3 mm and S = 4 mm, the response result is approximately equal to the pure-water value when H/D is greater than or equal to 0.25. In the condition of the MCP with D = 20 mm, h = 1 mm, d = 1.3 mm and S = 3 mm, the response result is approximately equal to the pure-water value when H/D is greater than or equal to 0.2. In Figure 4d, Figure 7d, Figure 10d and Figure 14, it is found that the MCP has good measurement characteristics for oil-water segregated flow in case of high ym or H/D in simulated calculation. Meanwhile, the MCP response result tends to be constant, i.e., pure-water correction for water content measurement, under the condition of H/D ((h + 3)/20, 1) or ym ((h + 2)/20, 1), which shows that the smaller the parameter h of the MCP is, the larger the low sensitivity sensitive area along the Y-axis in the sensor measurement field is, the smaller the critical value of ym or H/D which is needed for getting the pure water correction, and the easier obtaining the pure-water phase conductivity is.

4. Static Experiment for Oil-Water Segregated Flow

In order to avoid the polarization phenomenon, an alternating voltage source is adopted as the exciting signal in actual application, and the two electrodes are connected with a sinusoidal 20 kHz exciting signal in the measurement system. Meanwhile, in order to avoid the voltage loss on the distance line, the V/F conversion circuit is adopted to construct the pure-water frequency measurement system.The instrument output is expressed by the frequency signal Fm which can be described as:
F m = k V × V m
where kV is correction coefficient, Vm is the measuring voltage for pure water, pure oil or water-oil mixture, respectively.
Figure 15 shows images of the MCP. In Figure 15, it can be seen that the structures of the MCP are axially separated and flush-mounted on the inside wall of the insulated flow pipe with D = 20 mm. Figure 16 shows images of the gold-plated electrodes with different parameters. In Figure 16a, the gold-plated electrode h is equal to 3 mm and d is equal to 1.5 mm. In Figure 16b, the gold-plated electrode h is equal to 2 mm and d is equal to 1.3 mm.
To calibrate the MCP in the water-layer thickness measurement, the calibration test for oil-water segregated flow is carried out. The experimental mediums are tap water and industrial white oil. In the experiment, the fluid is forced into the insulated flow pipe of the MCP with D = 20 mm from a large diameter horizontal plexiglass pipe (the value of inner diameter is 50 mm). The different values of ym are matched in horizontal plexiglass pipe, and the range of oil holdup y0 is from 0% to 100% which is corresponding to the different values of H/D.
Considering that the measurement results of the instruments are influenced by the repeatability errors of the measurements and system errors during long time continuous operation, this paper employed horizontal oil-water two-phase flow experimental equipment to carry out the multiple (three or more times)repeated oil-water segregated experiments using an experimental point where ym and H/D change from 0 to 1, increasing 0.05 every time, whose result is recorded every 5 minutes and each experimental point is recorded 10 times.
Figure 17 shows the comparison of the MCP with different structure parameters measuring the horizontal oil-water segregated distribution response results. As can be observed from Figure 17, the range of both ym and H/D are from 0 to 1, which can be described as: when ym = 0 or H/D = 0, the measured result of the MCP is the pure-oil value; when ym = 1 or H/D = 1, the measured result of the MCP is pure-water value; and when 0 < ym < 1 or 0 < H/D < 1, the measured result of the MCP is between the pure-oil value and the pure-water value. The measured values of the MCP with different structure parameters in the conditions of pure oil and pure water are shown in Table 3. As can be seen, the measured MCP values have obvious differences for the conditions of pure oil and pure water, which can be attributed to the distinctive resistivity differences of water and oil. Meanwhile, when ym = 0 or H/D = 0, i.e., the condition of pure oil, the measured values of sensors with different structure parameters are exactly the same, which can be attributed to the fact that the measured voltage reaches saturation in the actual circuit system. When ym = 1 or H/D = 1, i.e., the condition of pure water, the measured values of the sensors with different structure parameters are different, which can be attributed to the different electric field or high sensitivity sensitive area generated by the two electrodes in the measurement field. With the increase of ym or H/D, under the conditions of lower ym or H/D, the measured frequency signal Fm of the MCP with two different structure parameters shows obvious differences and decreasing tendency, which could be attributed to the stronger electric field in the measurement region, where the non-conducting oil phase is located in the high sensitivity sensitive area analyzed from Figure 4, Figure 7 and Figure 10. When ym or H/D is greater than or equal to a constant value, the response result of the MCP is pretty close to the pure-water value, and it is gently influenced by the non-conducting oil phase, which can be attributed to the non-conducting oil phase being away from the high sensitivity sensitive area. Therefore, under the conditions of higher ym or H/D, the MCP can obtain a reliable and accurate pure-water value, which can be used as the pure-water correction for water content measurements in horizontal oil-water segregated flow. As can be seen from Figure 17a, in the condition of the MCP with D = 20 mm, h = 3 mm, d = 1.5 mm and S = 4 mm, the response result Fm is pretty close to pure-water value when ym is greater than or equal to 0.25. In the condition of the MCP with D = 20 mm, h = 2 mm, d = 1.3 mm and S = 4 mm, the response result Fm is pretty close to pure-water value when ym is greater than or equal to 0.20. As can be seen from Figure 17b, in the condition ofthe MCP with D = 20 mm, h = 3 mm, d = 1.5 mm and S = 4 mm, the response result Fm is pretty close to the pure-water value when H/D is greater than or equal to 0.30. In the condition of the MCP with D = 20 mm, h = 2 mm, d = 1.3 mm and S = 4 mm, the response result Fm is pretty close to pure-water value when H/D is greater than or equal to 0.25.
Considering the influence of the repeatability errors of measurement and system errors comprehensively, the measurement error of the experimental point can be obtained by calculating the mean square error for the data set of the repeated experiments and long time records to the corresponding experimental point. The error bars of the MCP with two different structure parameters in the conditions of ym and H/D are shown in Figure 18. As can be seen from Figure 18, the measured error of each structure sensor has obvious difference in the conditions of ym or H/D, under the condition of lower ym or H/D, the distribution of measured error has a great fluctuation, which can be attributed to the weak fluctuation of the fluid in the measurement region, where the non-conducting oil phase is located in the high sensitivity sensitive area. When ym or H/D is greater than or equal to a constant value, the measured error of the MCP is very small, which can be attributed to the fact that the non-conducting oil phaseis away from the high sensitivity sensitive area, and it indicates that the MCP can obtain an accurate pure-water value in horizontal oil-water segregated flow.
In Figure 4d, Figure 7d, Figure 10d and Figure 17, it is found that the MCP with D = 20 mm has good measurement characteristics for oil-water segregated flow in case of high ym or H/D in static experiments. Meanwhile, the MCP measured result tends to be constant, i.e., the pure-water value, in the conditions of H/D ((h + 3)/20, 1) or ym ((h + 2)/20, 1), which shows that the smaller the parameter h of the MCP is, the larger the low or non-sensitive area along the Y-axis in the sensor measurement field is, the smaller the critical value of ym or H/D which is needed for getting pure-water correction, and the easier obtaining pure-water phase conductivity is.
From the comprehensive analysis of the simulation calculation and static experiment, under the condition of H/D ((h + 3)/20, 1) or ym ((h + 2)/20, 1), the measured value of the MCP in the horizontal oil-water segregated flow is approximately equal to the pure-water value, the MCP has good characteristics such as being stable and reliable for pure-water correction measurements with the continuous water phase, and the sensors whose value of the parameter h is minor have great adaptability in horizontal oil-water segregated flow.
Therefore, the response result of the MCP could be given as the calibration result of pure-water phase conductivity works satisfactorily in static experiments of oil-water segregated flow. Furthermore, the critical value of ym or H/D which is needed for getting the pure-water correction is not only related to the parameter h, but also the parameter D, simultaneously. Therefore, it is necessary to further investigate the effect of the parameter D on the performance of MCP in the future. Also the flow loop test will be carried out in the future to further examine the performance of the MCP.

5. Conclusions

In this work, a novel sensor is presented in which the MCP is used in horizontal oil-water segregated flow. The simulation model of this structure of the MCP is established in the FEM. Simulation experiments of electric field distribution and the YoZ plane element sensitivity distribution of the MCP measurement area were conducted. The optimization indexes, i.e., the parameters Savg and Svp, are adopted to study the effect of sensor geometry on the sensitivity field, and to obtain appropriately characteristic parameters through the analysis of two performance indicators, i.e., electric field and element sensitivity of the MCP. The parameters S and d when the parameter h has different values after optimization are the following: when h = 3 mm, S = 4 mm and d = 1.5 mm; when h = 2 mm, S = 4 mm and d = 1.3 mm; and when h = 1 mm, S = 3 mm and d = 1.3 mm. Finally, combining the FEM simulation calculation and static experiments on oil-water segregated flow, the measurement characteristics of the MCP are analyzed from two aspects of ym and H/D, which indicates that the response result of the MCP could be given as the pure-water calibration result in the conditions of H/D ((h + 3)/20, 1) or ym ((h + 2)/20, 1), and the sensors whose value of the parameter h is minor have great adaptability in horizontal oil-water segregated flow. Meanwhile, the validity and feasibility of pure-water phase conductivity measurement with segregated flow in horizontal pipes are also verified by experiment results.

Acknowledgments

This research is supported by the Specialized Research Fund for the Doctoral Program of Higher Education of China under Grant No. 20131333110015, Natural Science Foundation of Hebei Province, China under Grant Nos. F2014203265 and F2015203253, Key Project of Science and Technology of Hebei Education Department, China under Grant No. ZD2016161, Science and Technology Research & Development Program of Qinhuangdao City, China under Grant No. 201601B051, Daqing Oilfield Limited Company Science and Technology Project of Heilongjiang Province, China under Grant No. DQP-2014-CS-KY-002, Yanshan University Doctoral Foundation under Grant No.B972, and Science and Technique Research Plan of Qinhuangdao City, China under Grant No. 201502A017.

Author Contributions

Lingfu Kong conceived this research. Weihang Kong and Lei Li excuted all the simulation and data analysis, and draft the manuscript. Xingbin Liu, Ronghua Xie, Jun Li, and Haitao Tang participated in the discussion of the calculations and results, and commented on the manuscript.

Conflicts of Interest

The authors declare no conflict of interest.

References

  1. Liu, X.B. Research on the Methods of Multiphase Flow well Logging and Novel Sensors. Ph.D. Thesis, China University of Petroleum, Beijing, China, December 2000. [Google Scholar]
  2. Li, H.J.; Ji, H.F.; Huang, Z.Y.; Wang, B.L.; Li, H.Q.; Wu, G.H. A new void fraction measurement method for gas-liquid two-phase flow in small channels. Sensors 2016, 16, 159–172. [Google Scholar] [CrossRef] [PubMed]
  3. Abouelwafa, M.S.A.; Kendall, E.J.M. The use of capacitance sensors for phase percentage determination in multiphase pipelines. IEEE Instrum. Meas. 1980, 29, 24–27. [Google Scholar] [CrossRef]
  4. Ye, J.M.; Peng, L.H.; Wang, W.R.; Zhou, W.X. Optimization of helical capacitance sensor for void fraction measurement of gas-liquid two-phase flow in a small diameter tube. IEEE Sens. J. 2011, 11, 2189–2196. [Google Scholar] [CrossRef]
  5. Ji, H.F.; Li, H.J.; Huang, Z.Y.; Wang, B.L.; Li, H.Q. Measurement of gas-liquid two-phase flow in micro-pipes by a capacitance sensor. Sensors 2014, 14, 22431–22446. [Google Scholar] [CrossRef] [PubMed]
  6. Zhai, L.S.; Jin, N.D.; Gao, Z.K.; Wang, Z.Y. Liquid holdup measurement with double helix capacitance sensor in horizontal oil-water two-phase flow pipes. Chin. J. Chem. Eng. 2015, 23, 268–275. [Google Scholar] [CrossRef]
  7. Dong, T.; Barbosa, C. Capacitance variation induced by microfluidic two-phase flow across insulated interdigital electrodes in lab-on-chip devices. Sensors 2015, 15, 2694–2708. [Google Scholar] [CrossRef] [PubMed]
  8. Wu, H.; Tan, C.; Dong, X.X.; Feng, D. Design of a conductance and capacitance combination sensor for water holdup measurement in oil–water two-phase flow. Flow Meas. Instrum. 2015, 46, 218–229. [Google Scholar] [CrossRef]
  9. Asali, J.C.; Hanratty, T.J.; Paolo, A. Interfacial drag and film height for vertical annular flow. AIChE J. 1985, 31, 895–902. [Google Scholar] [CrossRef]
  10. Tan, C.; Wu, H.; Dong, F. Horizontal oil–water two-phase flow measurement with information fusion of conductance ring sensor and cone meter. Flow Meas. Instrum. 2013, 34, 83–90. [Google Scholar] [CrossRef]
  11. Ceccio, S.L.; George, D.L. A review of electrical impedance techniques for the measurement of multiphase flows. J. Fluids Eng. 1996, 118, 391–399. [Google Scholar] [CrossRef]
  12. Andreussi, P.; di Donfrancesco, A.; Messia, M. An impedance method for the measurement of liquid hold-up in two-phase flow. Int. J. Multiph. Flow 1988, 14, 777–785. [Google Scholar] [CrossRef]
  13. Maxwell, J.C. A Treatise on Electricity and Magnetism; Clarendon Press: Oxford, UK, 1882. [Google Scholar]
  14. Lucas, G.P.; Cory, J.C.; Waterfall, R.C. A six-electrode local probe for measuring solids velocity and volume fraction profiles in solids-water flows. Meas. Sci. Technol. 2000, 11, 1498–1509. [Google Scholar] [CrossRef]
  15. Lucas, G.P.; Cory, J.; Waterfall, R.C.; Loh, W.W.; Dickin, F.J. Measurement of the solids volume fraction and velocity distributions in solids–liquid flows using dual-plane electrical resistance tomography. Flow Meas. Instrum. 1999, 10, 249–258. [Google Scholar] [CrossRef]
  16. Fossa, M. Design and performance of a conductance probe for measuring the liquid fraction in two-phase gas-liquid flows. Flow Meas. Instrum. 1998, 9, 103–109. [Google Scholar] [CrossRef]
  17. Devia, F.; Fossa, M. Design and optimization of impedance probes for void fraction measurements. Flow Meas. Instrum. 2003, 14, 139–149. [Google Scholar] [CrossRef]
  18. Jin, N.D.; Xin, Z.; Wang, J.; Wang, Z.Y.; Jia, X.H.; Chen, W.P. Design and geometry optimization of a conductivity probe with a vertical multiple electrode array for measuring volume fraction and axial velocity of two-phase flow. Meas. Sci. Technol. 2008, 19, 045403. [Google Scholar] [CrossRef]
  19. Mata, C.; Pereyra, E.; Trallero, J.L.; Joseph, D.D. Stability of stratified gas–liquid flows. Int. J. Multiph. Flow 2002, 28, 1249–1268. [Google Scholar] [CrossRef]
  20. Russell, T.W.F.; Hodgson, G.W.; Govier, G.W. Horizontal pipeline flow of mixtures of oil and water. Can. J. Chem. Eng. 1959, 37, 9–17. [Google Scholar] [CrossRef]
  21. Hasson, D.; Mann, V.; Nir, A. Annular flow of two immiscible liquids I. Mechanisms. Can. J. Chem. Eng. 1970, 48, 514–520. [Google Scholar] [CrossRef]
  22. Arirachakaran, S.; Oglesby, K.D.; Malinowsky, M.S.; Shoham, O.; Brill, J.P. An analysis of oil/water flow phenomena in horizontal pipes. SPE Prod. Oper. Symp. 1989, 155–167. [Google Scholar]
  23. Trallero, J.L.; Sarica, C.; Brill, J.P. A study of oil-water flow patterns in horizontal pipes. SPE Prod. Facil. 1997, 12, 165–172. [Google Scholar] [CrossRef]
  24. Zhai, L.S.; Jin, N.D.; Zong, Y.B.; Hao, Q.Y.; Gao, Z.K. Experimental flow pattern map, slippage and time–frequency representation of oil–water two-phase flow in horizontal small diameter pipes. Int. J. Multiph. Flow 2015, 76, 168–186. [Google Scholar] [CrossRef]
  25. Zhai, L.S.; Jin, N.D.; Zong, Y.B.; Wang, Z.Y.; Gu, M. The development of a conductance method for measuring liquid holdup in horizontal oil-water two-phase flows. Meas. Sci. Technol. 2012, 23, 025304. [Google Scholar] [CrossRef]
  26. Oddie, G.; Pearson, J.A. Flow-rate measurement in two-phase flow. Annu. Rev. Fluid Mech. 2004, 36, 149–172. [Google Scholar] [CrossRef]
  27. Mo, H.; Deng, J.Z. Field Theory, 1st ed.; Atomic Energy Press: Beijing, China, 2006. [Google Scholar]
  28. Zhai, L.S.; Jin, N.D.; Gao, Z.K.; Huang, X. The finite element analysis for parallel-wire capacitance probe in small diameter two-phase flow pipe. Chin. J. Chem. Eng. 2013, 21, 813–819. [Google Scholar] [CrossRef]
Figure 1. The geometric structure and the parameters of the MCP: (a) the axial section; (b) the cross section.
Figure 1. The geometric structure and the parameters of the MCP: (a) the axial section; (b) the cross section.
Sensors 16 01352 g001
Figure 2. The meshed 3D model of the MCP with 26,695 elements, L = 0.05 m, D = 0.02 m, S = 0.004 m, d = 0.0015 m, h = 0.002 m, water resistivity σw = 100 Ω·m: (a) 3D model; (b) the axial section.
Figure 2. The meshed 3D model of the MCP with 26,695 elements, L = 0.05 m, D = 0.02 m, S = 0.004 m, d = 0.0015 m, h = 0.002 m, water resistivity σw = 100 Ω·m: (a) 3D model; (b) the axial section.
Sensors 16 01352 g002
Figure 3. Electric field distribution of the MCP under different S values (D = 20 mm, h = 3 mm, d = 1.5 mm): (a) S = 3 mm; (b) S = 4 mm; (c) S = 5 mm; (d) S = 6 mm.
Figure 3. Electric field distribution of the MCP under different S values (D = 20 mm, h = 3 mm, d = 1.5 mm): (a) S = 3 mm; (b) S = 4 mm; (c) S = 5 mm; (d) S = 6 mm.
Sensors 16 01352 g003
Figure 4. Sensor sensitivity distribution in YoZ plane sensitive field (D = 20 mm, h = 3 mm, d = 1.5 mm, S = 4 mm): (a,b) YoZ plane regions; (c) Z-axis direction; (d) Y-axis direction.
Figure 4. Sensor sensitivity distribution in YoZ plane sensitive field (D = 20 mm, h = 3 mm, d = 1.5 mm, S = 4 mm): (a,b) YoZ plane regions; (c) Z-axis direction; (d) Y-axis direction.
Sensors 16 01352 g004
Figure 5. The effect of the MCP geometry on Savg and Svp: (a) effect of the parameter S (D = 20 mm, h = 3 mm, d = 1.5 mm); (b) effect of the parameter d (D = 20 mm, h = 3 mm, S = 4 mm).
Figure 5. The effect of the MCP geometry on Savg and Svp: (a) effect of the parameter S (D = 20 mm, h = 3 mm, d = 1.5 mm); (b) effect of the parameter d (D = 20 mm, h = 3 mm, S = 4 mm).
Sensors 16 01352 g005
Figure 6. Electric field distribution under different S (D = 20 mm, h = 2 mm, d = 1.5 mm): (a) S = 3 mm; (b) S = 4 mm; (c) S = 5 mm; (d) S = 6 mm.
Figure 6. Electric field distribution under different S (D = 20 mm, h = 2 mm, d = 1.5 mm): (a) S = 3 mm; (b) S = 4 mm; (c) S = 5 mm; (d) S = 6 mm.
Sensors 16 01352 g006
Figure 7. Sensor sensitivity distribution in YoZ plane sensitive field (D = 20 mm, h = 2 mm, d = 1.5 mm, S = 4 mm): (a,b) YoZ plane regions; (c) Z-axis direction; (d) Y-axis direction.
Figure 7. Sensor sensitivity distribution in YoZ plane sensitive field (D = 20 mm, h = 2 mm, d = 1.5 mm, S = 4 mm): (a,b) YoZ plane regions; (c) Z-axis direction; (d) Y-axis direction.
Sensors 16 01352 g007aSensors 16 01352 g007b
Figure 8. The effect of the MCP geometry on Savg and Svp: (a) effect of the parameter S (D = 20 mm, h = 2 mm, d = 1.5 mm); (b) effect of the parameter d (D = 20 mm, h = 2 mm, S = 4 mm).
Figure 8. The effect of the MCP geometry on Savg and Svp: (a) effect of the parameter S (D = 20 mm, h = 2 mm, d = 1.5 mm); (b) effect of the parameter d (D = 20 mm, h = 2 mm, S = 4 mm).
Sensors 16 01352 g008
Figure 9. Electric field distribution under different S (D = 20 mm, h = 1 mm, d = 1.5 mm): (a) S = 3 mm; (b) S = 4 mm; (c) S = 5 mm; (d) S = 6 mm.
Figure 9. Electric field distribution under different S (D = 20 mm, h = 1 mm, d = 1.5 mm): (a) S = 3 mm; (b) S = 4 mm; (c) S = 5 mm; (d) S = 6 mm.
Sensors 16 01352 g009
Figure 10. Sensor sensitivity distribution in YoZ plane sensitivity field (D = 20 mm, h = 1 mm, d = 1.5 mm, S = 3 mm): (a,b) YoZ plane regions; (c) Z-axis direction; (d) Y-axis direction.
Figure 10. Sensor sensitivity distribution in YoZ plane sensitivity field (D = 20 mm, h = 1 mm, d = 1.5 mm, S = 3 mm): (a,b) YoZ plane regions; (c) Z-axis direction; (d) Y-axis direction.
Sensors 16 01352 g010
Figure 11. The effect of the MCP geometry on Savg and Svp: (a) effect of the S (D = 20 mm, h = 1 mm, d = 1.5 mm); (b) effect of the d (D = 20 mm, h = 1 mm, S = 3 mm).
Figure 11. The effect of the MCP geometry on Savg and Svp: (a) effect of the S (D = 20 mm, h = 1 mm, d = 1.5 mm); (b) effect of the d (D = 20 mm, h = 1 mm, S = 3 mm).
Sensors 16 01352 g011
Figure 12. Oil-water contact interface and 2D view of the finite element model for segregated flow sketches.
Figure 12. Oil-water contact interface and 2D view of the finite element model for segregated flow sketches.
Sensors 16 01352 g012
Figure 13. Water holdup ym and (H/D) curve.
Figure 13. Water holdup ym and (H/D) curve.
Sensors 16 01352 g013
Figure 14. FEM calculated response of the MCP with D = 20 mm for segregated flow: (a) Vm vs. ym; (b) Vm vs. H/D.
Figure 14. FEM calculated response of the MCP with D = 20 mm for segregated flow: (a) Vm vs. ym; (b) Vm vs. H/D.
Sensors 16 01352 g014
Figure 15. Images of the MCP with D = 20 mm and L = 50 mm.
Figure 15. Images of the MCP with D = 20 mm and L = 50 mm.
Sensors 16 01352 g015
Figure 16. Images of the gold-plated electrodes: (a) h = 3 mm, d = 1.5 mm; (b) h = 2 mm, d = 1.3 mm.
Figure 16. Images of the gold-plated electrodes: (a) h = 3 mm, d = 1.5 mm; (b) h = 2 mm, d = 1.3 mm.
Sensors 16 01352 g016
Figure 17. Calibration of the MCP with two different structure parameters in the condition of oil-water segregated distribution (D = 20 mm, L = 50 mm): (a) Fm vs. ym; (b) Fm vs. H/D.
Figure 17. Calibration of the MCP with two different structure parameters in the condition of oil-water segregated distribution (D = 20 mm, L = 50 mm): (a) Fm vs. ym; (b) Fm vs. H/D.
Sensors 16 01352 g017
Figure 18. Error bars of the MCP with different structure parameters from two aspects of ym and H/D (D = 20 mm, L = 50 mm): (a,b) h = 2 mm, d = 1.3 mm, S = 4 mm; (c,d) h = 3 mm, d = 1.5 mm, S = 4 mm.
Figure 18. Error bars of the MCP with different structure parameters from two aspects of ym and H/D (D = 20 mm, L = 50 mm): (a,b) h = 2 mm, d = 1.3 mm, S = 4 mm; (c,d) h = 3 mm, d = 1.5 mm, S = 4 mm.
Sensors 16 01352 g018
Table 1. Sensitivity field parameters of MCP with different grids (D = 20 mm, h = 3 mm, d = 1.5 mm, S = 4 mm).
Table 1. Sensitivity field parameters of MCP with different grids (D = 20 mm, h = 3 mm, d = 1.5 mm, S = 4 mm).
No.Total GridsMaximum Grid/m3Minimum Grid/m3Uo (V)SavgSdevSvp
124,2757.33 × 10−51.46 × 10−61.2730.1050.1851.768
239,3155.17 × 10−51.41 × 10−61.2750.1010.1861.850
357,6016.22 × 10−51.42 × 10−61.2760.1040.1861.795
474,2993.85 × 10−51.41 × 10−61.2760.1030.1881.810
5101,0823.97 × 10−51.20 × 10−61.2760.1020.1891.848
Table 2. The calculated response of the MCP with different structure parameters in the conditions of pure oil and pure water.
Table 2. The calculated response of the MCP with different structure parameters in the conditions of pure oil and pure water.
D = 20 mmVm vs. ym or H/D (V)
Pure Water (ym = 1 or H/D = 1)Pure Oil (ym = 0 or H/D = 0)
h = 3 mm, d = 1.5 mm, S = 4 mm1.2761.28 × 1011
h = 2 mm, d = 1.3 mm, S = 4 mm1.8671.87 × 1011
h = 1 mm, d = 1.3 mm, S = 3 mm2.5142.51 × 1011
Table 3. The measured values of the MCP with different structure parameters in the conditions of pure oil and pure water.
Table 3. The measured values of the MCP with different structure parameters in the conditions of pure oil and pure water.
D = 20 mmFm vs. ym or H/D (KHz)
Pure Water (ym = 1 or H/D = 1)Pure Oil (ym = 0 or H/D = 0)
h = 3 mm, d = 1.5 mm, S = 4 mm4.009.20
h = 2 mm, d = 1.3 mm, S = 4 mm4.809.20

Share and Cite

MDPI and ACS Style

Kong, W.; Kong, L.; Li, L.; Liu, X.; Xie, R.; Li, J.; Tang, H. The Finite Element Analysis for a Mini-Conductance Probe in Horizontal Oil-Water Two-Phase Flow. Sensors 2016, 16, 1352. https://doi.org/10.3390/s16091352

AMA Style

Kong W, Kong L, Li L, Liu X, Xie R, Li J, Tang H. The Finite Element Analysis for a Mini-Conductance Probe in Horizontal Oil-Water Two-Phase Flow. Sensors. 2016; 16(9):1352. https://doi.org/10.3390/s16091352

Chicago/Turabian Style

Kong, Weihang, Lingfu Kong, Lei Li, Xingbin Liu, Ronghua Xie, Jun Li, and Haitao Tang. 2016. "The Finite Element Analysis for a Mini-Conductance Probe in Horizontal Oil-Water Two-Phase Flow" Sensors 16, no. 9: 1352. https://doi.org/10.3390/s16091352

APA Style

Kong, W., Kong, L., Li, L., Liu, X., Xie, R., Li, J., & Tang, H. (2016). The Finite Element Analysis for a Mini-Conductance Probe in Horizontal Oil-Water Two-Phase Flow. Sensors, 16(9), 1352. https://doi.org/10.3390/s16091352

Note that from the first issue of 2016, this journal uses article numbers instead of page numbers. See further details here.

Article Metrics

Back to TopTop