Portable System for Monitoring the Microclimate in the Footwear-Foot Interface
Abstract
:1. Introduction
2. Materials and Methods
2.1. System Description
2.2. Software User’s Interface
2.3. Calculating Curve Behavior
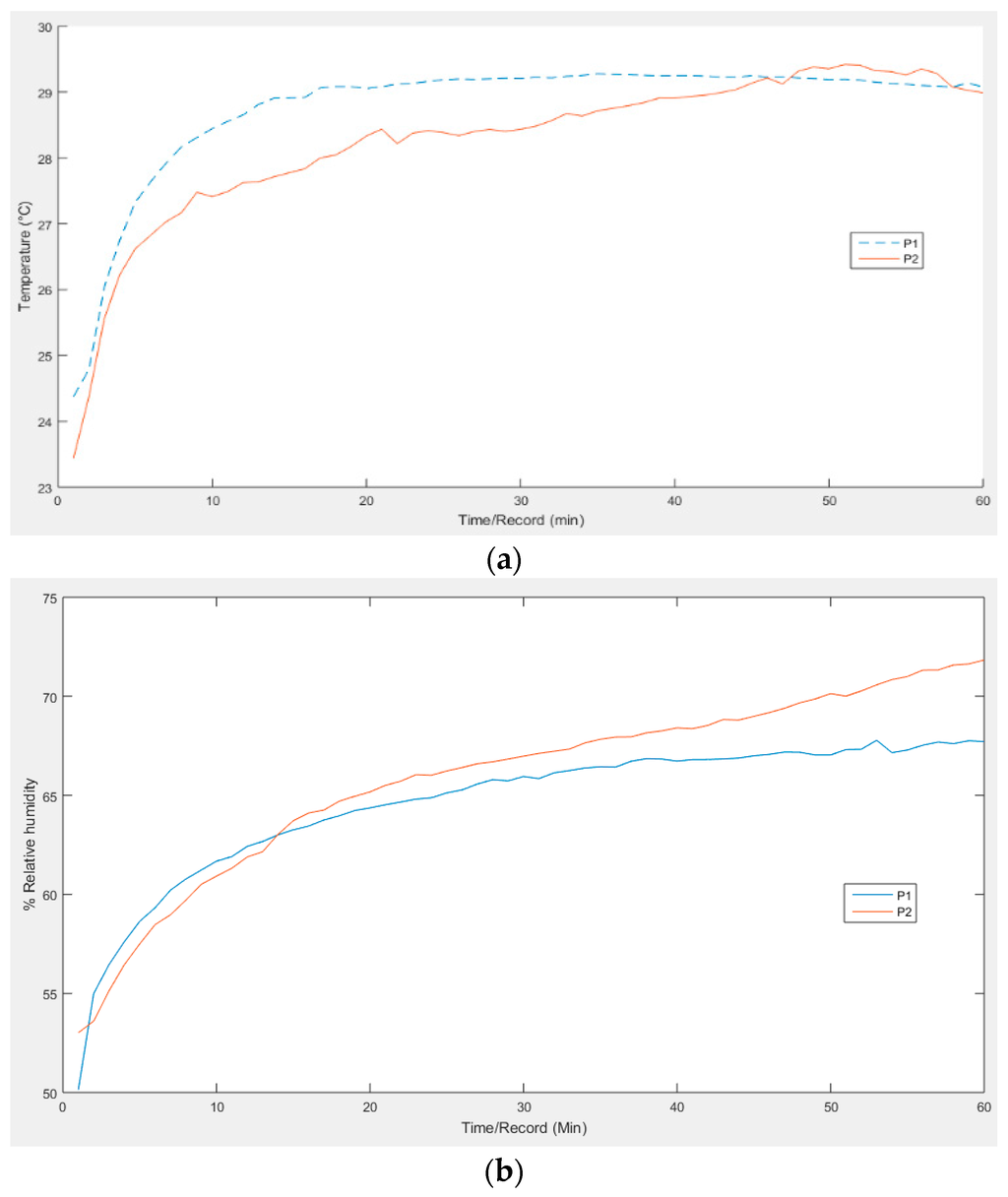
2.4. Experimental System Test
3. Results
3.1. Portable Device
- Date and time settings, reading intervals (in minutes), number of readings to be made and data transfer.
- Verification of power display: before starting any new data collection there is a verification of the current battery power. If it is below 2.5 V then the display prompts for a battery.
- The amount of existing data in memory.
- To delete or continue readings option.
3.2. Portable Device
3.3. Software Interface
- Getting function: implements an algorithm to verify that the M2 is connected via USB and requests data collection of temperature and humidity from the M1.
- View function: presents a row-column text data list.
- Analysis function: presents the data in 2D graphics, it is possible to select a particular range reading of interest.
4. Discussion and Conclusions
Acknowledgments
Author Contributions
Conflicts of Interest
References
- Sun, P.C.; Lin, H.D.; Jao, S.H.E.; Ku, Y.C.; Chan, R.C.; Cheng, C.K. Relationship of skin temperature to sympathetic dysfunction in diabetic at-risk feet. Diabetes Res. Clin. Pract. 2006, 73, 41–46. [Google Scholar] [CrossRef] [PubMed]
- Aye, M.; Masson, E.A. Dermatological Care of the Diabetic Foot American. J. Clin. Dermaol. 2002, 3, 463–474. [Google Scholar] [CrossRef]
- Brown, P. Quick Reference to Wound Care; Jones & Bartlett Publishers: Sudbury, MA, USA, 2009. [Google Scholar]
- Tentolouris, N.; Voulgari, C.; Liatis, S.; Kokkinos, A.; Eleftheriadou, I.; Makrilakis, K.; Marinou, K.; Katsilambros, N. Moisture Status of the Skin of the Feet Assessed by the Visual Test Neuropad Correlates with Foot Ulceration in Diabetes. Diabetes Care 2010, 33, 1112–1114. [Google Scholar] [CrossRef] [PubMed]
- Diabetic Foot Ulcers—Prevention and Treatment A Coloplast Quick Guide. Available online: http://www.coloplast.us/Global/US/Wound%20Care/Diabetic%20Foot%20Ulcers%20Quickguide_M4007N.pdf (accessed on 19 January 2016).
- Baird, S.; Skinner, C.M.; Trail, S.; Frankis, J.S. Anhydrosis in the diabetic foot: A comparison of two urea creams Stuart. Diabet. Foot 2003, 6, 122–126. [Google Scholar]
- Zeigler, D. Diagnosis and treatment of diabetic autonomic neuropathy. Curr. Diabetes Rep. 2001, 1, 216–227. [Google Scholar] [CrossRef]
- Harding, C.R.; Watkinson, A.; Rawlings, A.V. Dry skin, moisturisation and corneodesmolysis. Int. J. Cosmet. Sci. 2000, 22, 21–52. [Google Scholar] [CrossRef] [PubMed]
- Klaassen, M.; Schipper, D.J.; Masen, M.A. Influence of the relative humidity and the temperature on the in vivo friction behaviour of human skin. Biotribology 2016, 6, 21–28. [Google Scholar] [CrossRef]
- Atmaca, I.; Yigit, A. Predicting the effect of relative humidity on skin temperature and skin wettedness. J. Therm. Biol. 2006, 31, 442–452. [Google Scholar] [CrossRef]
- Veijgen, N.K.; van der Heide, E.; Masen, M.A. A multivariable model for predicting the frictional behaviour and hydration of the human skin. Skin Res. Technol. 2013, 19, 330–338. [Google Scholar] [CrossRef] [PubMed]
- Hendriks, C.P.; Franklin, S.E. Influence of surface roughness, material and climate conditions on the friction of human skin. Tribol. Lett. 2009, 37, 361–373. [Google Scholar] [CrossRef]
- Yusuf, S.; Okuwa1, M.; Shigeta, Y.; Dai1, M.; Iuchi, T.; Rahman, S.; Usman, A.; Kasim, S.; Sugama, J.; Nakatani, T.; et al. Microclimate and development of pressure ulcers and superficial skin changes. Int. Wound J. 2015, 12, 1742–4801. [Google Scholar] [CrossRef] [PubMed]
- Takahashi, M.; Black, J.; Dealey, C.; Gefen, A.; Reger, S.I.; Ranganathan, V.K.; Orsted, H.L.; Ohura, T.; Clark, M.; Romanelli, M. Pressure ulcer prevention: Pressure, shear, friction and microclimate in context. A consensus document. Wounds Int. Rev. 2010, 48, 1487–1494. [Google Scholar]
- Bergtholdt, H.T.; Brand, P.W. Temperature assessment and plantar inflammation. Lepr. Rev. 1976, 47, 211–219. [Google Scholar] [CrossRef] [PubMed]
- Bergtholdt, H.T.; Brand, P.W. Thermography: An aid in the management of insensitive feet and stumps. Arch. Phys. Med. Rehabil. 1975, 56, 205–209. [Google Scholar] [PubMed]
- Yavuz, M.; Brem, R.W.; Glaros, A.G.; Garrett, A.; Flyzik, M.; Lavery, L.; Davis, B.L.; Hilario, H.; Adams, L.S. Association Between Plantar Temperatures and Triaxial Stresses in Individuals With Diabetes. Diabetes Care 2015, 38, 178–179. [Google Scholar] [CrossRef] [PubMed]
- Peregrina-Barret, H.; Morales-Hernandez, L.A.; Rangel-Magdaleno, J.J.; Avina-Cervantes, J.G.; Ramirez-Cortes, J.M.; Morales-Caporal, R. Quantitative Estimation of Temperature Variations in Plantar Angiosomes: A Study Case for Diabetic Foot. Comput. Math. Methods Med. 2014, 2014, 585306. [Google Scholar] [CrossRef] [PubMed]
- Irzmanska, E. Evaluating the comfort of use of protective footwear: Validation of a method based on microclimate parameters and peripheral blood flow. Measurement 2016, 77, 34–39. [Google Scholar] [CrossRef]
- Hofer, P.; Hasler, M.; Fauland, G.; Bechtold, T.; Nachbauer, W. Microclimate in ski boots e Temperature, relative humidity, and water absorption for ergonomic proposes. Appl. Ergon. 2014, 45, 515–520. [Google Scholar] [CrossRef] [PubMed]
- Irzmanska, E. Case study of the impact of toecap type on the microclimate in protective footwear. Int. J. Ind. Ergon. 2014, 44, 706–714. [Google Scholar] [CrossRef]
- Irzmańska, E. The Microclimate in Protective Fire Fighter Footwear: Foot Temperature and Air Temperature and Relative Humidity. Autex Res. J. 2015, 16, 75–79. [Google Scholar] [CrossRef]
- Razak, A.H.A.; Zayegh, A.; Begg, R.K.; Wahab, Y. Foot Plantar Pressure Measurement System: A Review. Sensors 2012, 12, 9884–9912. [Google Scholar] [CrossRef] [PubMed]
- Arunachalam, K.; Maccarini, P.F.; Stauffer, P.R. A Thermal Monitoring Sheet with Low Influence from Adjacent Waterbolus for Tissue Surface Thermometry during Clinical Hyperthermia. IEEE Trans. Biomed. Eng. 2008, 55, 2397–2406. [Google Scholar] [CrossRef] [PubMed]
- Schols, H.M.; Wilbert, A.E.; Van den Eijn, A.J. Method for assessing termal confort of shoes using a sweating foot. Eur. J. Appl. Physiol. 2004, 92, 706–709. [Google Scholar] [CrossRef] [PubMed]
- Morley, R.E.; Richter, E.J.; Klaesner, J.W.; Maluf, K.S.; Mueller, M.J. In-shoe multisensory data acquisition system. IEEE Trans. Biomed. Eng. 2001, 48, 815–820. [Google Scholar] [CrossRef] [PubMed]
- Maluf, K.S.; Morley, R.E.; Richter, E.J.; Klaesner, J.W.; Mueller, M.J. Monitoring in-shoe plantar pressures, temperature, and humidity: Reliability and validity of measures from a portable device. Arch. Phys. Med. Rehabil. 2001, 82, 1119–1127. [Google Scholar] [CrossRef] [PubMed]
- Lavery, L.A.; Higgins, K.R.; Lanctot, D.R.; Constantinides, G.P.; Zamorano, R.G.; Armstrong, D.G.; Athanasiou, K.A.; Agrawal, C.M. Home monitoring of foot skin temperatures to-prevent ulceration. Diabetes Care 2004, 27, 2642–2647. [Google Scholar] [CrossRef] [PubMed]
- Foresee, F.D.; Hagan, M.T. Gauss-Newton approximation to Bayesian learning. In Proceedings of the IEEE International Conference on Neural Networks, Houston, TX, USA, 9–12 June 1997.
- Nocedal, J.; Wright, S.J. Numerical Optimization, 2nd ed.; Springer: Berlin, Germany, 2006; pp. 259–262. [Google Scholar]










© 2016 by the authors; licensee MDPI, Basel, Switzerland. This article is an open access article distributed under the terms and conditions of the Creative Commons Attribution (CC-BY) license (http://creativecommons.org/licenses/by/4.0/).
Share and Cite
Sandoval-Palomares, J.D.J.; Yáñez-Mendiola, J.; Gómez-Espinosa, A.; López-Vela, J.M. Portable System for Monitoring the Microclimate in the Footwear-Foot Interface. Sensors 2016, 16, 1059. https://doi.org/10.3390/s16071059
Sandoval-Palomares JDJ, Yáñez-Mendiola J, Gómez-Espinosa A, López-Vela JM. Portable System for Monitoring the Microclimate in the Footwear-Foot Interface. Sensors. 2016; 16(7):1059. https://doi.org/10.3390/s16071059
Chicago/Turabian StyleSandoval-Palomares, José De Jesús, Javier Yáñez-Mendiola, Alfonso Gómez-Espinosa, and José Martin López-Vela. 2016. "Portable System for Monitoring the Microclimate in the Footwear-Foot Interface" Sensors 16, no. 7: 1059. https://doi.org/10.3390/s16071059
APA StyleSandoval-Palomares, J. D. J., Yáñez-Mendiola, J., Gómez-Espinosa, A., & López-Vela, J. M. (2016). Portable System for Monitoring the Microclimate in the Footwear-Foot Interface. Sensors, 16(7), 1059. https://doi.org/10.3390/s16071059

