Quality Detection of Litchi Stored in Different Environments Using an Electronic Nose
Abstract
:1. Introduction
2. Materials and Methods
2.1. Materials and Grouping
2.2. Experimental Storage Equipment
2.3. Electronic Nose Detection
2.4. Physicochemical Index Measurement
2.5. Data Analysis Methods
2.5.1. LDA
2.5.2. CCA
2.5.3. BPNN
2.5.4. PLSR
3. Results
3.1. Hardness Change of Litchi Stored in Three Environments
3.2. Change in Sensor Response Signal for Litchi Stored in Three Environments
3.3. LDA for Storage Time Classification
3.4. BPNN for Storage Time Classification
3.5. CCA for Correlation Analysis between Electronic Nose Data and Hardness of Litchi
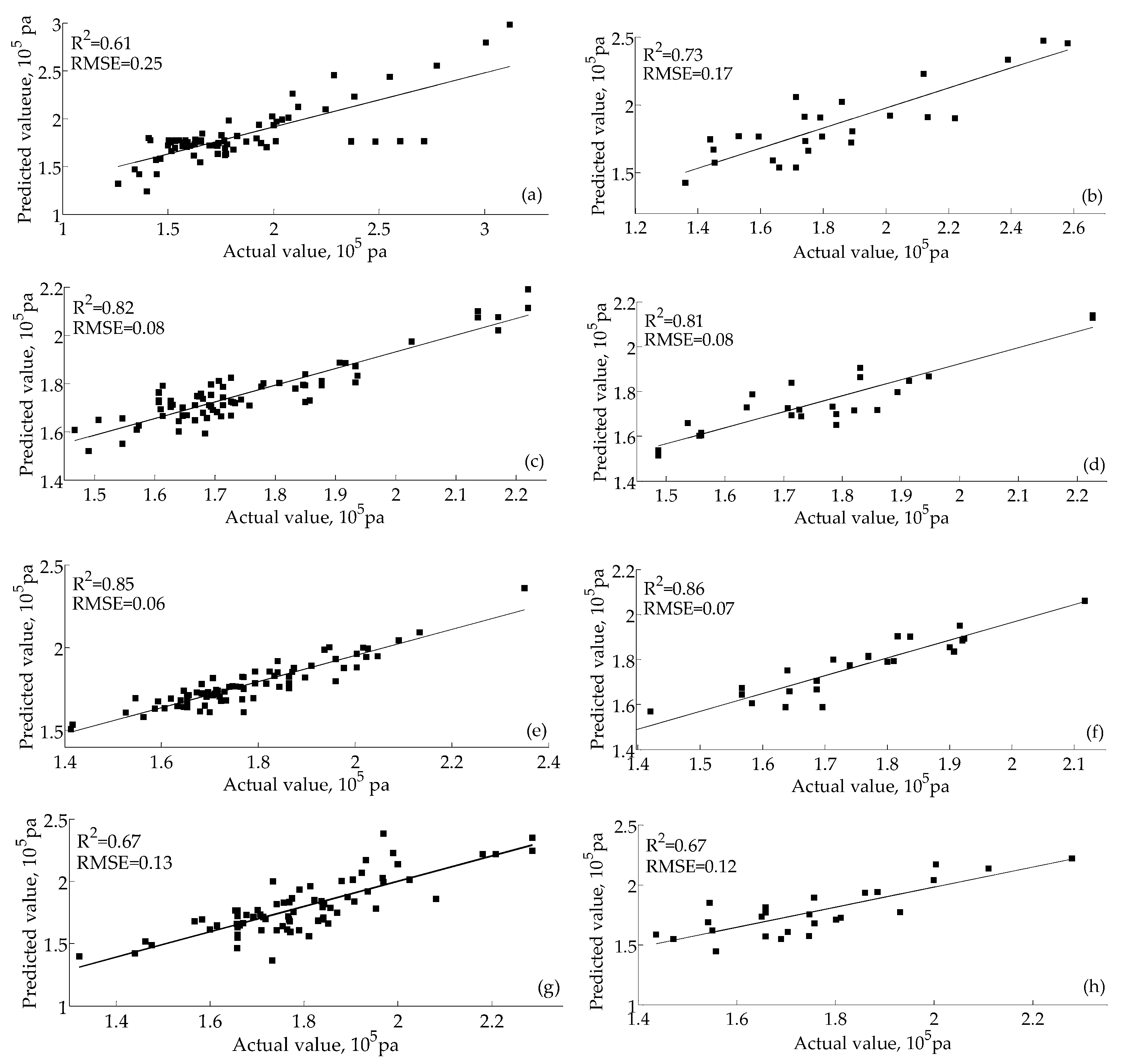
3.6. BPNN-PLSR for Hardness Prediction
4. Discussion
5. Conclusions
- (1)
- The hardness of litchi decreases with an increase in storage time. However, the decrease rate in order from fast to slow is room temperature, in a refrigerator environment and in a controlled-atmosphere environment.
- (2)
- The LDA classification effects of the three litchi storage environments on storage time were poor. Comparatively, the classification effect of litchi in a controlled-atmosphere environment is the best, followed by those in the refrigerator environment and room temperature environment.
- (3)
- According to the LDA classification effect, by using the feature extraction methods such as the maximum value method, average of differential value method and the 80th s value method, the classification effect is the best when using the average of differential value method.
- (4)
- BPNN can effectively recognize the storage time of litchi stored in a refrigerator and controlled-atmosphere environment, but its recognition of litchi stored in a room temperature environment is poor. The classification accuracy of the training sets of the room temperature environment storage group, the refrigerator environment storage group and the controlled-atmosphere storage group are 89.33%, 100% and 100%, respectively. The classification accuracy of the test sets of the room temperature environment storage group, the refrigerator environment storage group and the controlled-atmosphere storage group are 52%, 88% and 96%, respectively.
- (5)
- CCA results show a significant correlation between electronic nose data and hardness data under room temperature, and the correlation is more obvious for those under the refrigerator environment and controlled-atmosphere environment. The BPNN-PLSR prediction effect of hardness for litchi in either a refrigerated or controlled-atmosphere environment is good, but it is poor for that in a room temperature environment and in a global environment.
- (6)
- According to the research results of this study, among the three storage environments, the storage effect of the controlled-atmosphere environment is the best, followed by those of the refrigerator environment and room temperature environment.
Acknowledgments
Author Contributions
Conflicts of Interest
References
- Zou, Y.F.; Xie, R.H.; Qiu, Z.Q. Safety assessment of lichee cold chain logistics system based on go-flow methodology. Ind. Eng. J. 2008, 11, 47–49. [Google Scholar]
- Zhou, X.; Chen, Y.; Tang, J.; Huang, S.; Cao, Y. Loss estimation of litchi fruit due to pericarp browning. Chin. J. Trop. Crops 2012, 1403–1408. [Google Scholar]
- Zhang, Z.Q.; Pang, X.Q. Change of anthocyanin content and its determination during lychee pericarp browning. J. South China Agric. Univ. 2002, 23, 16–19. [Google Scholar]
- Scott, K.J.; Brown, B.I.; Chaplin, G.R.; Wilcox, M.E.; Bain, J.M. The control of rotting and browning of litchi fruit by hot benomyl and plastic film. Sci. Hortic.-Amst. 1982, 16, 253–262. [Google Scholar] [CrossRef]
- Singh, P.; Singh, I.S. Physico-chemical changes during storage of litchi (Litchi chinensis) beverages. Indian J. Agric. Sci. 1994, 64, 168–170. [Google Scholar]
- Singh, B.; Chadha, K.L.; Sahai, S. Performance of litchi cultivar for yield and physico-chemical quality of fruits. Indian J. Hortic. 2010, 67, 96–98. [Google Scholar]
- Zhou, L.J.; Wu, H.; Li, J.T.; Wang, Z.Y.; Zhang, L.Y. Determination of fatty acids in broiler breast meat by near-infrared reflectance spectroscopy. Meat Sci. 2012, 90, 658–664. [Google Scholar] [CrossRef] [PubMed]
- Barbin, D.; Elmasry, G.; Sun, D.; Allen, P. Near-infrared hyperspectral imaging for grading and classification of pork. Meat Sci. 2012, 90, 259–268. [Google Scholar] [CrossRef] [PubMed]
- Ghasemi-Varnamkhasti, M.; Aghbashlo, M. Electronic nose and electronic mucosa as innovative instruments for real-time monitoring of food dryers. Trends Food Sci. Technol. 2014, 38, 158–166. [Google Scholar] [CrossRef]
- Roy, R.B.; Tudu, B.; Shaw, L.; Jana, A.; Bhattacharyya, N.; Bandyopadhyay, R. Instrumental testing of tea by combining the responses of electronic nose and tongue. J. Food Eng. 2012, 110, 356–363. [Google Scholar]
- Baietto, M.; Wilson, A.D. Electronic-nose applications for fruit identification, ripeness and quality grading. Sensors 2015, 15, 899–931. [Google Scholar] [CrossRef] [PubMed]
- Hui, G.H.; Wu, Y.L.; Ye, D.D.; Ding, W.W. Fuji apple storage time predictive method using electronic nose. Food Anal. Method 2013, 6, 82–88. [Google Scholar]
- Messina, V.; Domínguez, P.G.; Sancho, A.M.; Walsöe De Reca, N.; Carrari, F.; Grigioni, G. Tomato quality during short-term storage assessed by colour and electronic nose. Int. J. Electrochem. 2012, 2012, 687429. [Google Scholar] [CrossRef]
- Zhou, Y.B.; Wang, J. Evaluation of maturity and shelf life of tomato using an electronic nose. Trans. Chin. Soc. Agric. Eng. 2005, 4, 25. [Google Scholar]
- Tian, X.; Wang, J.; Cui, S. Analysis of pork adulteration in minced mutton using electronic nose of metal oxide sensors. J. Food Eng. 2013, 119, 744–749. [Google Scholar] [CrossRef]
- Wang, D.; Wang, X.; Liu, T.; Liu, Y. Prediction of total viable counts on chilled pork using an electronic nose combined with support vector machine. Meat Sci. 2012, 90, 373–377. [Google Scholar] [CrossRef] [PubMed]
- Yoshida, K.; Ishikawa, E.; Joshi, M.; Lechat, H.; Ayouni, F.; Bonnefille, M. Quality control and rancidity tendency of nut mix using an electronic nose. In Perception and Machine Intelligence; Springer: Kolkata India, 2012; pp. 163–170. [Google Scholar]
- Osborn, G.S.; Lacey, R.E.; Singleton, J.A. A method to detect peanut off-flavors using an electronic nose. Trans. ASAE 2001, 44, 929–938. [Google Scholar]
- Xu, S.; Lu, H.Z.; Zhou, Z.Z.; Lü, E.L.; Jiang, Y.M.; Wang, Y.J. Identification of litchi’s maturing stage in orchard based on physicochemical indexes and electronic nose. Trans. Chin. Soc. Agric. Mach. 2015, 46, 226–232. [Google Scholar]
- Ruan, W.; Liu, B.; Song, X. Comparison of cooling method for litchi fruit. Sci. Technol. Food Ind. 2012, 33, 352–353. [Google Scholar]
- Chen, H.; Wang, Y.; Peng, Y. Shelf-quality and physiological indices of litchi subjected to cool storage. Subtrop. Plant Sci. 2001, 3, 2. [Google Scholar]
- Mahajan, P.V.; Goswami, T.K. Extended storage life of litchi fruit using controlled atmosphere and low temperature. J. Food Process. Preserv. 2004, 28, 388–403. [Google Scholar] [CrossRef]
- Guo, J.M.; Lv, E.L.; Lu, H.Z.; Li, Y.H.; Zheng, Z.X. Relationship between color index a* value and other quality indicators of litchi pericarp during storage. Modern Food Sci. Technol. 2014, 30, 68–73. [Google Scholar]
- Zhang, W.; Pan, L.; Zhao, X.; Tu, K. A Study on Soluble Solids Content Assessment Using Electronic Nose: Persimmon Fruit Picked on Different Dates. Int. J. Food Prop. 2016, 19, 53–62. [Google Scholar] [CrossRef]
- Sanaeifar, A.; Mohtasebi, S.S.; Ghasemi-Varnamkhasti, M.; Ahmadi, H. Application of MOS based electronic nose for the prediction of banana quality properties. Measurement 2016, 82, 105–114. [Google Scholar] [CrossRef]
- Qiu, S.; Wang, J.; Gao, L. Discrimination and characterization of strawberry juice based on electronic nose and tongue: Comparison of different juice processing approaches by LDA, PLSR, RF, and SVM. J. AGR Food Chem. 2014, 62, 6426–6434. [Google Scholar] [CrossRef] [PubMed]
- Harker, F.R.; Amos, R.L.; Echeverríaa, G.; Gunson, F.A. Influence of texture on taste: Insights gained during studies of hardness, juiciness, and sweetness of apple fruit. J. Food Sci. 2006, 71, S77–S82. [Google Scholar] [CrossRef]
- Zhang, Y. Combined technology of kiwifruit storage and freshness-keeping with freshness-keeping reagent at low temperature and modified atmosphere. Trans. Chin. Soc. Agric. Eng. 2001, 18, 138–141. [Google Scholar]
- Di Natale, C.; Macagnano, A.; Martinelli, E.; Proietti, E.; Paolesse, R.; Castellari, L.; Campani, S.; D’Amico, A. Electronic nose based investigation of the sensorial properties of peaches and nectarines. Sens. Actuat. B: Chem. 2001, 77, 561–566. [Google Scholar] [CrossRef]
- Lee, Y.; Kum, J.; Ahn, Y.; Kim, W. Effect of packaging material and oxygen absorbant on quality properties of Yukwa. Korean J. Food Sci. Technol. 2001, 33, 728–736. [Google Scholar]
- Li, Y.; Ren, Y.M.; Zhang, S.; Zhao, H.; Zhou, L.A.; Ren, X.L. Prediction of low-temperature storage time and quality of apples based on electronic nose. J. Northwest A&F Univ. (Nat. Sci. Ed.) 2015, 43, 183–191. [Google Scholar]
- Luo, J.; Tian, L.P.; Zhang, C.; Xue, L. Analysis of firmness and related characters of processing tomato. Chin. Agric. Sci. Bull. 2011, 27, 217–220. [Google Scholar]
- Buratti, S.; Benedetti, S.; Scampicchio, M.; Pangerod, E.C. Characterization and classification of Italian Barbera wines by using an electronic nose and an amperometric electronic tongue. Anal. Chim. Acta 2004, 525, 133–139. [Google Scholar] [CrossRef]
- Aleixandre, M.; Santos, J.P.; Sayago, I.; Cabellos, J.M.; Arroyo, T.; Horrillo, M.C. A Wireless and Portable Electronic Nose to Differentiate Musts of Different Ripeness Degree and Grape Varieties. Sensors (Basel) 2015, 15, 8429–8443. [Google Scholar] [CrossRef] [PubMed]
- Hong, X.; Wang, J.; Hai, Z. Discrimination and prediction of multiple beef freshness indexes based on electronic nose. Sens. Actuators B Chem. 2012, 161, 381–389. [Google Scholar] [CrossRef]
- Wei, Z.; Wang, J.; Zhang, W. Detecting internal quality of peanuts during storage using electronic nose responses combined with physicochemical methods. Food Chem. 2015, 177, 89–96. [Google Scholar] [CrossRef] [PubMed]
- Brudzewski, K.; Osowski, S.; Dwulit, A. Recognition of coffee using differential electronic nose. IEEE Trans. Instrum. Meas. 2012, 61, 1803–1810. [Google Scholar] [CrossRef]
- Yu, H.; Wang, J. Discrimination of LongJing green-tea grade by electronic nose. Sens. Actuators B Chem. 2007, 122, 134–140. [Google Scholar] [CrossRef]
- Saurina, J.; López-Aviles, E.; Le Moal, A.; Hernández-Cassou, S. Determination of calcium and total hardness in natural waters using a potentiometric sensor array. Anal. Chim. Acta 2002, 464, 89–98. [Google Scholar] [CrossRef]
- Hu, G.; Wang, J.; Wang, J.; Wang, X. Detection for rice odors and identification of varieties based on electronic nose technique. J. Zhejiang Univ. (Agric. Life Sci.) 2011, 6, 13. [Google Scholar]
- Yang, S.; Lv, E.; Lu, H.; Zeng, Z.; Tang, B. Effects of different fresh-keeping transportation modes on quality of litchi fruit. Trans. Chin. Soc. Agric. Eng. 2014, 30, 225–232. [Google Scholar]
- Cai, C.; Chen, Y.; Zeng, Q.; Zhang, A. Study on effects of freezing treatment on aroma components in litchi fruit. Food Sci. 2008, 29, 557–561. [Google Scholar]




| Number in Array | Sensor Name | Object Substances for Sensing | Threshold Value (mL·m−3) |
|---|---|---|---|
| R1 | W1C | Aromatics | 10 |
| R2 | W5S | Nitrogen oxides | 1 |
| R3 | W3C | Ammonia and aromatic molecules | 10 |
| R4 | W6S | Hydrogen | 100 |
| R5 | W5C | Methane, propane and aliphatic non-polar molecules | 1 |
| R6 | W1S | Broad methane | 100 |
| R7 | W1W | Sulfur-containing organics | 1 |
| R8 | W2S | Broad alcohols | 100 |
| R9 | W2W | Aromatics, sulfur-and chlorine-containing organics | 1 |
| R10 | W3S | Methane and aliphatics | 10 |
| Time | Storage Groups | R1 | R2 | R3 | R4 | R5 | R6 | R7 | R8 | R9 | R10 |
|---|---|---|---|---|---|---|---|---|---|---|---|
| 0d | RT | 0.313 | 2.448 | 0.486 | 1.103 | 0.542 | 6.422 | 630.558 | 4.936 | 3.316 | 1.214 |
| RE | 0.394 | 2.263 | 0.574 | 1.089 | 0.633 | 4.491 | 583.561 | 3.660 | 2.759 | 1.114 | |
| CA | 0.351 | 2.305 | 0.521 | 1.388 | 0.580 | 5.057 | 552.293 | 3.876 | 2.740 | 1.109 | |
| 2d | RT | 0.241 | 4.377 | 0.384 | 1.121 | 0.433 | 9.337 | 2601.409 | 6.295 | 4.648 | 1.202 |
| RE | 0.343 | 2.680 | 0.511 | 1.078 | 0.572 | 6.080 | 526.332 | 4.487 | 2.974 | 1.158 | |
| CA | 0.302 | 2.663 | 0.473 | 1.169 | 0.535 | 6.347 | 355.419 | 5.06 | 3.129 | 1.168 | |
| 4d | RT | 0.166 | 13.531 | 0.262 | 1.154 | 0.286 | 12.347 | 5873.842 | 7.487 | 17.022 | 1.184 |
| RE | 0.328 | 2.739 | 0.476 | 1.064 | 0.536 | 5.641 | 389.635 | 4.185 | 3.143 | 1.116 | |
| CA | 0.273 | 2.738 | 0.401 | 1.152 | 0.468 | 6.632 | 75.887 | 4.754 | 3.206 | 1.100 |
| Storage Groups | Input Layers | Hidden Layer | Output Layers | Learning Factor | Dynamic Factor | Training Times | Accuracy/% | |
|---|---|---|---|---|---|---|---|---|
| Training Set | Test Set | |||||||
| RT | 10 | 19 | 5 | 0.05 | 0.85 | 20,000 | 89.33 | 52 |
| RE | 10 | 21 | 5 | 0.025 | 0.75 | 20,000 | 100 | 88 |
| CA | 10 | 18 | 5 | 0.05 | 0.85 | 20,000 | 100 | 96 |
| Storage Groups | Input Layers | Hidden Layer | Output Layers | Learning Factor | Dynamic Factor | Training Times | |
|---|---|---|---|---|---|---|---|
| RT | 10 | 23 | 75 | 0.05 | 0.87 | 20,000 | |
| RE | 10 | 25 | 75 | 0.055 | 0.87 | 20,000 | |
| CA | 10 | 23 | 75 | 0.045 | 0.80 | 20,000 | |
| GL | 10 | 25 | 75 | 0.43 | 0.87 | 20,000 |
© 2016 by the authors; licensee MDPI, Basel, Switzerland. This article is an open access article distributed under the terms and conditions of the Creative Commons Attribution (CC-BY) license (http://creativecommons.org/licenses/by/4.0/).
Share and Cite
Xu, S.; Lü, E.; Lu, H.; Zhou, Z.; Wang, Y.; Yang, J.; Wang, Y. Quality Detection of Litchi Stored in Different Environments Using an Electronic Nose. Sensors 2016, 16, 852. https://doi.org/10.3390/s16060852
Xu S, Lü E, Lu H, Zhou Z, Wang Y, Yang J, Wang Y. Quality Detection of Litchi Stored in Different Environments Using an Electronic Nose. Sensors. 2016; 16(6):852. https://doi.org/10.3390/s16060852
Chicago/Turabian StyleXu, Sai, Enli Lü, Huazhong Lu, Zhiyan Zhou, Yu Wang, Jing Yang, and Yajuan Wang. 2016. "Quality Detection of Litchi Stored in Different Environments Using an Electronic Nose" Sensors 16, no. 6: 852. https://doi.org/10.3390/s16060852
APA StyleXu, S., Lü, E., Lu, H., Zhou, Z., Wang, Y., Yang, J., & Wang, Y. (2016). Quality Detection of Litchi Stored in Different Environments Using an Electronic Nose. Sensors, 16(6), 852. https://doi.org/10.3390/s16060852

