The Influence of Different Partial Pressure on the Fabrication of InGaO Ultraviolet Photodetectors
Abstract
:1. Introduction
2. Materials and Methods
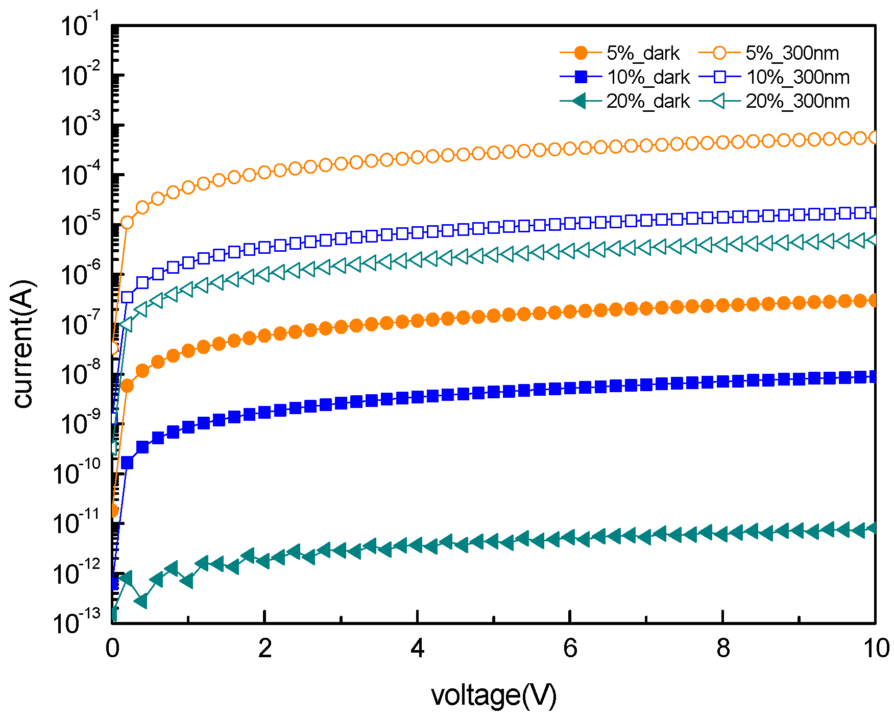
3. Results and Discussion
4. Conclusions
Supplementary Materials
Acknowledgments
Author Contributions
Conflicts of Interest
References
- Muñoz, E.; Monroy, E.; Pau, J.L.; Calle, F.; Omnès, F.; Gibart, P. III Nitrides and UV detection. J. Phys. Condens. Matter 2001, 13, 7115. [Google Scholar]
- Pandey, S.K.; Awasthi, V.; Verma, S.; Mukherjee, S. Blue electroluminescence from SbZnO/CdZnO/GaZnO heterojunction diode fabricated by dual ion beam sputtering. Opt. Express 2014, 22, 30983–30991. [Google Scholar] [CrossRef] [PubMed]
- Sandvik, P.; Mi, K.; Shahedipour, F.; McClintock, R.; Yasan, A.; Kung, P.; Razeghi, M. AlxGa1−xN for solar-blind UV detectors. J. Cryst. Growth 2001, 231, 366–370. [Google Scholar] [CrossRef]
- Monroy, E.; Omnes, F.; Calle, F. Wide-bandgap semiconductor ultraviolet photodetectors. Semicond. Sci. Technol. 2003, 18, R33–R51. [Google Scholar] [CrossRef]
- Guo, F.; Yang, B.; Yuan, Y.; Xiao, Z.; Dong, Q.; Bi, Y.; Huang, J. A nanocomposite ultraviolet photodetector based on interfacial trap-controlled charge injection. Nat. Nanotechnol. 2012, 7, 798–802. [Google Scholar] [CrossRef] [PubMed]
- Xie, Y.; Wei, L.; Li, Q.; Chen, Y.; Yan, S.; Jiao, J.; Liu, G.; Mei, L. High-performance self-powered UV photodetectors based on TiO2 nano-branched arrays. Nanotechnology 2014, 25, 075202. [Google Scholar] [CrossRef] [PubMed]
- Chen, C.H.; Chang, S.J.; Chang, S.P.; Li, M.J.; Chen, I.C.; Hsueh, T.J.; Hsu, C.L. Novel fabrication of UV photodetector based on ZnO nanowire/p-GaN heterojunction. Chem. Phys. Lett. 2009, 476, 69–72. [Google Scholar] [CrossRef]
- Chen, H.; Liu, K.; Hu, L.; Al-Ghamdi, A.A.; Fang, X. New concept ultraviolet photodetectors. Mater. Today 2015, 18, 493–502. [Google Scholar] [CrossRef]
- Sang, L.; Liao, M.; Sumiya, M. A comprehensive review of semiconductor ultraviolet photodetectors: From thin film to one-dimensional nanostructures. Sensors 2013, 13, 10482–10518. [Google Scholar] [CrossRef] [PubMed]
- Oshima, T.; Fujita, S. Properties of Ga2O3-based (InxGa1−x)2O3 alloy thin films grown by molecular beam epitaxy. Phys. Status Solidi C 2008, 5, 3113–3115. [Google Scholar] [CrossRef]
- Oshima, T.; Okuno, T.; Arai, N.; Suzuki, N.; Ohira, S.; Fujita, S. Vertical Solar-Blind Deep-Ultraviolet Schottky Photodetectors Based on β-Ga2O3 Substrates. Appl. Phys. Express 2008, 1, 011202. [Google Scholar] [CrossRef]
- Ji, Z.; Du, J.; Fan, J.; Wang, W. Gallium oxide films for filter and solar-blind UV detector. Opt. Mater. 2006, 28, 415–417. [Google Scholar] [CrossRef]
- Wenckstern, H.V.; Splith, D.; Purfürst, M.; Zhang, Z.; Kranert, C.; Müller, S.; Lorenz, M.; Grundmann, M. Structural and optical properties of (In,Ga)2O3 thin films and characteristics of Schottky contacts thereon. Semicond. Sci. Technol. 2015, 30, 024005. [Google Scholar] [CrossRef]
- Chang, T.H.; Chang, S.J.; Weng, W.Y.; Chiu, C.J.; Wei, C.Y. Amorphous Indium–Gallium–Oxide UV Photodetectors. IEEE Photon. Technol. Lett. 2015, 27, 2083–2086. [Google Scholar] [CrossRef]
- Han, S.; Zhang, Z.; Zhang, J.; Wang, L.; Zheng, J.; Zhao, H.; Zhang, Y.; Jiang, M.; Wang, S.; Zhao, D.; et al. Photoconductive gain in solar-blind ultraviolet photodetector based on Mg0.52Zn0.48O thin film. Appl. Phys. Lett. 2011, 99, 242105. [Google Scholar] [CrossRef]
- Remashan, K.; Hwang, D.K.; Park, S.D.; Bae, J.W.; Yeom, G.Y.; Park, S.J.; Jang, J.H. Effect of N2O plasma treatment on the performance of ZnO TFTs. Electrochem. Solid-State Lett. 2008, 11, H55–H58. [Google Scholar] [CrossRef]
- Poti, B.; Todaro, M.T.; Frassanito, M.C.; Pomarico, A.; Passaseo, A.; Lomascolo, M.; Cingolani, R.; De Vittorio, M. High responsivity GaN-based UV detectors. Electron. Lett. 2003, 39, 1747–1749. [Google Scholar] [CrossRef]
- Soci, C.; Zhang, A.; Xiang, B.; Dayeh, S.A.; Aplin, D.P.R.; Park, J.; Bao, X.Y.; Lo, Y.H.; Wang, D. ZnO Nanowire UV Photodetectors with High Internal Gain. Nano Lett. 2007, 7, 1003–1009. [Google Scholar] [CrossRef] [PubMed]
- Hwang, J.D.; Lin, J.S.; Hwang, S.B. Annealing effects on MgZnO films and applications in Schottky-barrier photodetectors. J. Phys. D Appl. Phys. 2015, 48, 405103. [Google Scholar] [CrossRef]
- Yu, J.; Tian, N.; Deng, Y.F.; Zhang, H.H. Ultraviolet photodetector based on sol–gel synthesized MgZnO nanoparticle with photoconductive gain. J. Alloy. Compd. 2016, 667, 359–362. [Google Scholar] [CrossRef]
- Kokubun, Y.; Miura, K.; Endo, F.; Nakagomi, S. Sol-gel prepared β-Ga2O3 thin films for ultraviolet photodetectors. Appl. Phys. Lett. 2007, 90, 031912. [Google Scholar] [CrossRef]
- Oshima, T.; Okuno, T.; Fujita, S. Ga2O3 Thin Film Growth on c-Plane Sapphire Substrates by Molecular Beam Epitaxy for Deep-Ultraviolet Photodetectors. Jpn. J. Appl. Phys. 2007, 46, 7217–7220. [Google Scholar] [CrossRef]
- Feng, Q.; Huang, L.; Han, G.; Li, F.; Li, X.; Fang, L.; Xing, X.; Zhang, J.; Mu, W.; Jia, Z.; et al. Comparison Study of β-Ga2O3 Photodetectors on Bulk Substrate and Sapphire. IEEE Trans. Electron Devices 2016, 63, 3578–3583. [Google Scholar] [CrossRef]
- Guo, D.Y.; Wu, Z.P.; An, Y.H.; Guo, X.C.; Chu, X.L.; Sun, C.L.; Li, L.H.; Li, P.G.; Tang, W.H. Oxygen vacancy tuned Ohmic-Schottky conversion for enhanced performance in β-Ga2O3 solar-blind ultraviolet photodetectors. Appl. Phys. Lett. 2014, 105. [Google Scholar] [CrossRef]
- Li, C.; Bando, Y.; Liao, M.; Koide, Y.; Golberg, D. Visible-blind deep-ultraviolet Schottky photodetector with a photocurrent gain based on individual Zn2GeO4 nanowire. Appl. Phys. Lett. 2010, 97. [Google Scholar] [CrossRef]









© 2016 by the authors; licensee MDPI, Basel, Switzerland. This article is an open access article distributed under the terms and conditions of the Creative Commons Attribution (CC-BY) license (http://creativecommons.org/licenses/by/4.0/).
Share and Cite
Chang, S.-P.; Chang, L.-Y.; Li, J.-Y. The Influence of Different Partial Pressure on the Fabrication of InGaO Ultraviolet Photodetectors. Sensors 2016, 16, 2145. https://doi.org/10.3390/s16122145
Chang S-P, Chang L-Y, Li J-Y. The Influence of Different Partial Pressure on the Fabrication of InGaO Ultraviolet Photodetectors. Sensors. 2016; 16(12):2145. https://doi.org/10.3390/s16122145
Chicago/Turabian StyleChang, Sheng-Po, Li-Yang Chang, and Jyun-Yi Li. 2016. "The Influence of Different Partial Pressure on the Fabrication of InGaO Ultraviolet Photodetectors" Sensors 16, no. 12: 2145. https://doi.org/10.3390/s16122145
APA StyleChang, S.-P., Chang, L.-Y., & Li, J.-Y. (2016). The Influence of Different Partial Pressure on the Fabrication of InGaO Ultraviolet Photodetectors. Sensors, 16(12), 2145. https://doi.org/10.3390/s16122145

