Phosphor-Doped Thermal Barrier Coatings Deposited by Air Plasma Spray for In-Depth Temperature Sensing
Abstract
:1. Introduction
2. Fabrication Method and Properties of Phosphor-Doped TBC
2.1. Materials and Fabrication Method
2.2. Coating Properties
3. Temperature Sensing Method
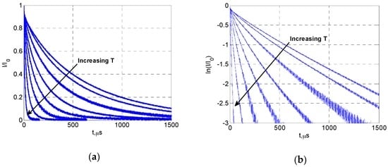
3.1. Fundamentals
3.2. Measurement System
3.3. Lifetime Determination
4. Results and Discussion
4.1. Calibration Results
4.2. Effects of Topcoat Thickness on the Signal Level and the Temperature Sensing Limit
5. Conclusions
Acknowledgments
Author Contributions
Conflicts of Interest
Abbreviations
| APS | Air plasma spray |
| EBPVD | Electron beam physical vapor deposition |
| PMT | Photo-multiplier tube |
| SBR | Signal-to-background ratio |
| SNR | Signal-to-noise ratio |
| TBC | Thermal Barrier Coating |
| YSZ | Yttria-stabilized zirconia |
References
- Schulz, U.; Leyens, C.; Fritscher, K.; Peters, M.; Saruhan-Brings, B.; Lavigne, O.; Dorvaux, J.; Poulain, M.; Mevrel, R.; Caliez, M. Some recent trends in research and technology of advanced thermal barrier coatings. Aerosp. Sci. Technol. 2003, 7, 73–80. [Google Scholar] [CrossRef]
- Miller, R.A. Current status of thermal barrier coatings: An overview. Surf. Coat. Technol. 1987, 30, 1–11. [Google Scholar] [CrossRef]
- Allison, S.W.; Gillies, G.T. Remote thermometry with thermographic phosphors: Instrumentation and applications. Rev. Sci. Instrum. 1997, 67, 2615–2650. [Google Scholar] [CrossRef]
- Khalid, A.H.; Kontis, K. Thermographic phosphors for high temperature measurements: Principles, current state of the art and recent applications. Sensors 2008, 8, 5673–5744. [Google Scholar] [CrossRef]
- Chambers, M.D.; Clarke, D.R. Doped oxides for high-temperature luminescence and lifetime thermometry. Annu. Rev. Mater. Res. 2009, 39, 325–359. [Google Scholar] [CrossRef]
- Alden, M.; Omrane, A.; Richter, M.; Sarner, G. Thermographic phosphors for thermometry: A survey of combustion applications. Prog. Energy Combust. Sci. 2011, 37, 422–461. [Google Scholar] [CrossRef]
- Brubach, J.; Pflitsch, C.; Dreizler, A.; Atakan, B. On surface temperature measurements with thermographic phosphors: A review. Prog. Energy Combust. Sci. 2013, 39, 37–60. [Google Scholar] [CrossRef]
- Fischer, L.H.; Harms, G.H.; Wolfbeis, O.S. Upconverting nanoparticles for nanoscale thermometry. Angew. Chem. Int. Ed. 2011, 50, 4546–4551. [Google Scholar] [CrossRef] [PubMed]
- Tian, Y.; Tian, B.; Cui, C.; Huang, P.; Wang, L.; Chen, B. Size-dependent upconversion luminescence and temperature sensing behavior of spherical Gd2O3:Yb3+/Er3+ phosphor. RSC Adv. 2015, 5, 14123–14128. [Google Scholar] [CrossRef]
- Tian, Y.; Tian, Y.; Huang, P.; Wang, L.; Shi, Q.; Cui, C. Effect of Yb3+ concentration on upconversion luminescence and temperature sensing behavior in Yb3+/Er3+ co-doped YNbO4 nanoparticles prepared via molten salt route. Chem. Eng. J. 2016, 297, 26–34. [Google Scholar] [CrossRef]
- Feist, J.P.; Heyes, A.L. Europium-doped yttria-stabilized zirconia for high-temperature phosphor thermometry. Proc. Inst. Mech. Eng. Part L J. Mater. 2000, 214, 7–12. [Google Scholar] [CrossRef]
- Gentleman, M.M.; Clarke, D.R. Luminescence sensing of temperature in pyrochlore zirconate materials for thermal barrier coatings. Surf. Coat. Technol. 2005, 200, 1264–1269. [Google Scholar] [CrossRef]
- Eldridge, J.I.; Bencic, T.J.; Allison, S.W.; Beshears, D.L. Depth-penetrating temperature measurements of thermal barrier coatings incorporating thermographic phosphors. J. Therm. Spray Technol. 2004, 13, 44–50. [Google Scholar] [CrossRef]
- Feist, J.P.; Heyes, A.L.; Nicholls, J.R. Phosphor thermometry in an electron beam physical vapour deposition produced thermal barrier coating doped with dysprosium. Proc. Inst. Mech. Eng. Part G J. Aerosp. Eng. 2001, 215, 333–341. [Google Scholar] [CrossRef]
- Gentleman, M.M.; Clarke, D. Concepts for luminescence sensing of thermal barrier coatings. Surf. Coat. Technol. 2004, 188–189, 93–100. [Google Scholar] [CrossRef]
- Gentleman, M.M.; Eldridge, J.I.; Zhu, D.M.; Murphy, K.S.; Clarke, D.R. Non-contact sensing of TBC/BC interface temperature in a thermal gradient. Surf. Coat. Technol. 2006, 201, 3937–3941. [Google Scholar] [CrossRef]
- Steenbakker, R.J.L.; Feist, J.P.; Wellman, R.G.; Nicholls, J.R. Sensor thermal barrier coatings: Remote in situ condition monitoring of EB-PVD coatings at elevated temperatures. J. Eng. Gas Turb. Power 2009, 131, 041301. [Google Scholar] [CrossRef]
- Chen, X.; Mutasim, Z.; Price, J.; Feist, J.P.; Heyes, A.L.; Seefeldt, S. Industrial sensor TBCs: Studies on temperature detection and durability. Int. J. Appl. Ceram. Technol. 2005, 2, 414–421. [Google Scholar] [CrossRef]
- Feist, J.P.; Heyes, A.L. Photo-stimulated phosphorescence for thermal condition monitoring and nondestructive evaluation in thermal barrier coatings. Heat Trans. Eng. 2009, 30, 1087–1095. [Google Scholar] [CrossRef]
- Feist, J.P.; Sollazzo, P.Y.; Berthier, S.; Charnley, B.; Wells, J. Application of an industrial sensor coating system on a rolls-royce jet engine for temperature detection. J. Eng. Gas Turb. Power 2013, 135, 012101. [Google Scholar] [CrossRef]
- Gentleman, M.M.; Lughi, V.; Nychka, J.A.; Clarke, D.R. Noncontact methods for measuring thermal barrier coating temperatures. Int. J. Appl. Ceram. Technol. 2006, 3, 105–112. [Google Scholar] [CrossRef]








© 2016 by the authors; licensee MDPI, Basel, Switzerland. This article is an open access article distributed under the terms and conditions of the Creative Commons Attribution (CC-BY) license (http://creativecommons.org/licenses/by/4.0/).
Share and Cite
Peng, D.; Yang, L.; Cai, T.; Liu, Y.; Zhao, X.; Yao, Z. Phosphor-Doped Thermal Barrier Coatings Deposited by Air Plasma Spray for In-Depth Temperature Sensing. Sensors 2016, 16, 1490. https://doi.org/10.3390/s16101490
Peng D, Yang L, Cai T, Liu Y, Zhao X, Yao Z. Phosphor-Doped Thermal Barrier Coatings Deposited by Air Plasma Spray for In-Depth Temperature Sensing. Sensors. 2016; 16(10):1490. https://doi.org/10.3390/s16101490
Chicago/Turabian StylePeng, Di, Lixia Yang, Tao Cai, Yingzheng Liu, Xiaofeng Zhao, and Zhiqi Yao. 2016. "Phosphor-Doped Thermal Barrier Coatings Deposited by Air Plasma Spray for In-Depth Temperature Sensing" Sensors 16, no. 10: 1490. https://doi.org/10.3390/s16101490
APA StylePeng, D., Yang, L., Cai, T., Liu, Y., Zhao, X., & Yao, Z. (2016). Phosphor-Doped Thermal Barrier Coatings Deposited by Air Plasma Spray for In-Depth Temperature Sensing. Sensors, 16(10), 1490. https://doi.org/10.3390/s16101490

