CPM Signals for Satellite Navigation in the S and C Bands
Abstract
:1. Introduction
2. CPM Signal
2.1. Mathematical Model

2.2. PSD

3. Evaluation Criterion
3.1. Tracking Performance
3.2. Multi-Path Error Envelopes
3.3. Compatibility
3.4. Anti-Jamming Performance
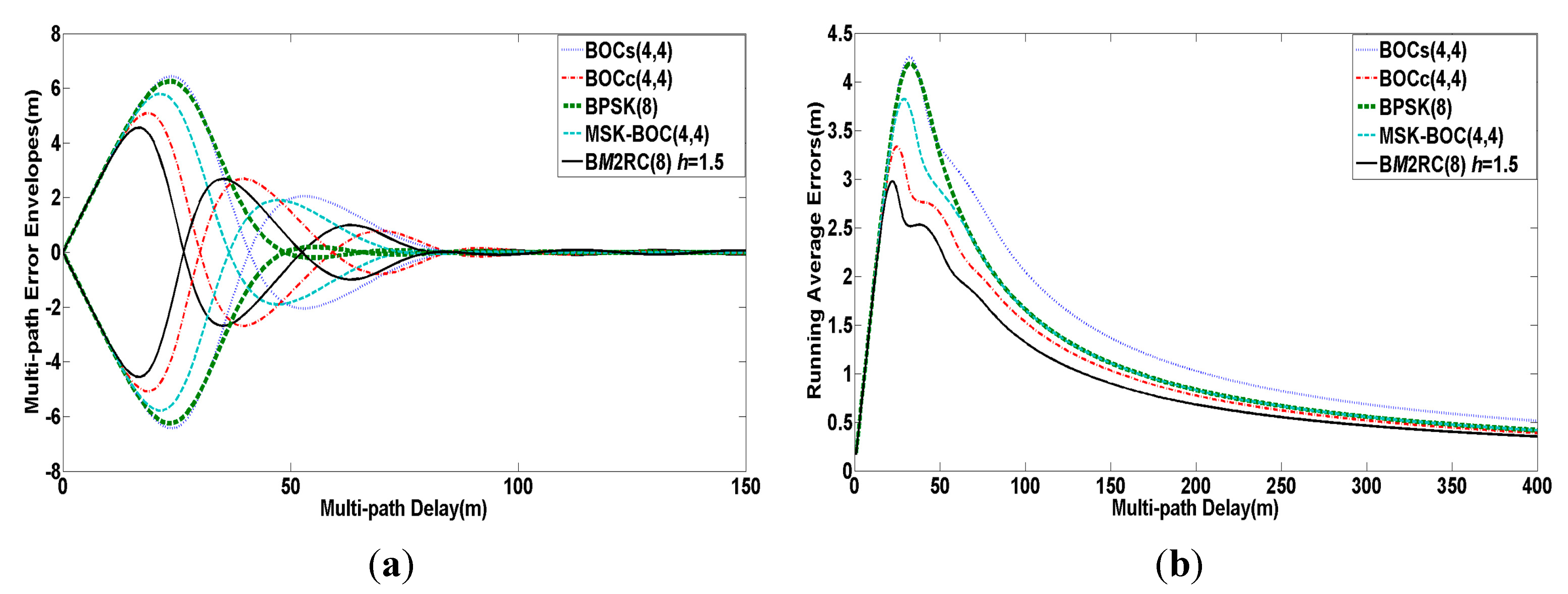
4. Performance Evaluation for S Band Signals
4.1. PSD of S Band Signals

4.2. Performance Analysis


| Merit Factors | BM2RC(8) | BOCs(4,4) | BOCc(4,4) | BPSK(8) | MSK-BOC(4,4) |
|---|---|---|---|---|---|
| 70.2910 | 70.7160 | 71.0772 | 72.8167 | 70.5057 | |
| 68.0721 | 67.8803 | 67.8264 | 69.1297 | 68.3023 | |
| 53.5508 | 53.9370 | 55.3525 | 53.9137 | 53.1460 | |
| 51.8673 | 51.9276 | 52.6869 | 52.1400 | 51.7845 |
| SSC | BM2RC(8) | BOCs(4,4) | BOCc(4,4) | BPSK(8) | MSK-BOC(4,4) |
|---|---|---|---|---|---|
| BOCc(1,1) | −75.7768 | −72.9434 | −79.0989 | −70.1492 | −73.3354 |
| BPSK(1) | −73.2353 | −79.9343 | −86.0651 | −69.3153 | −80.3243 |
| BPSK(4) | −74.9872 | −73.9122 | −80.0727 | −69.9253 | −74.3046 |
| BPSK(8) | −74.3592 | −72.1678 | −75.2494 | −70.9034 | −72.0851 |
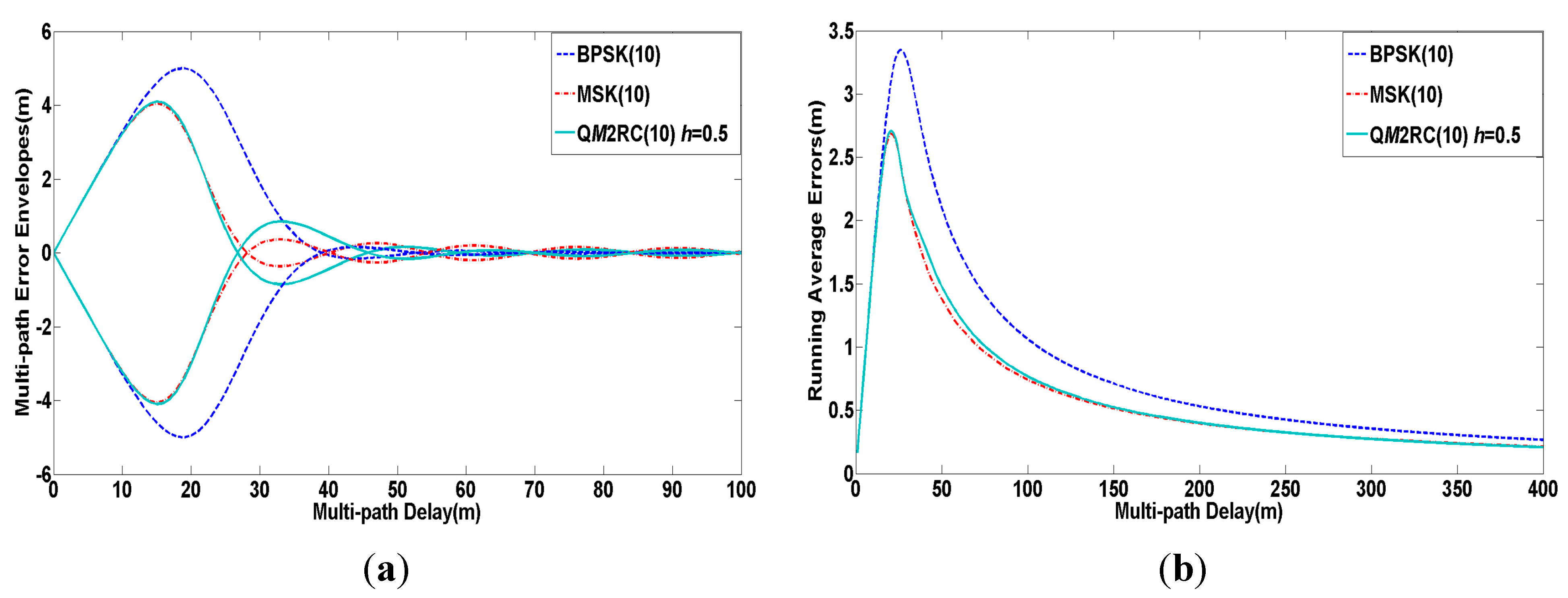
5. Performance Evaluation for C Band Signals
5.1. PSD of C Band Signals

| Signal | OOB Emission Power in 4990–5000 MHz band (RA) (dBc) | OOB Emission Power in 5030–5150 MHz Band (MLS) (dBc) | Out-of-Band Loss in 5010–5030 MHz for C Band Navigation (dB) |
|---|---|---|---|
| QM2RC(10) | −49.9821 | −20.4880 | 0.0783 |
| BPSK(10) | −20.8451 | −13.5014 | 0.4428 |
| MSK(10) | −29.9547 | −17.6705 | 0.1512 |
5.2. Performance Analysis


| Merit Factors | QM2RC(10) | BPSK(10) | MSK(10) |
|---|---|---|---|
| 73.4678 | 73.7855 | 74.2665 | |
| 70.2342 | 70.0984 | 70.9042 | |
| 55.5892 | 54.8792 | 55.4381 | |
| 54.8397 | 52.1400 | 54.0212 |
| SSC | QM2RC(10) | BPSK(10) | MSK(10) |
|---|---|---|---|
| QM2RC(10) | −72.5789 | −72.6223 | −72.6020 |
| BPSK(10) | −72.6223 | −71.8689 | −72.2611 |
| MSK(10) | −72.6020 | −72.2611 | −72.4278 |
6. Conclusions
Acknowledgments
Author Contributions
Conflicts of Interest
References
- Liu, X.; Liang, M.; Morton, Y.; Closas, P.; Zhang, T.; Hong, Z. Performance evaluation of MSK and OFDM modulations for future GNSS signals. GPS Solut. 2014, 18, 163–175. [Google Scholar] [CrossRef]
- Irsigler, M.; Hein, G.W.; Schmitz-Peiffer, A. Use of C-Band frequencies for satellite navigation: Benefits and drawbacks. GPS Solut. 2004, 8, 119–139. [Google Scholar] [CrossRef]
- Mateu, I.; Paonni, M.; Issler, J.L.; Hein, G.W. A search for spectrum: GNSS signals in S-Band part 1. Inside GNSS 2010, 5, 65–71. [Google Scholar]
- Colzi, E.; Lopez-Risueño, G.; Samson, J.; Angeletti, P.; Crisci, M.; De Gaudenzi, R.; Gerner, J.L. Assessment of the Feasibility of GNSS in C-Band. In Proceedings of the International Communications Satellite Systems Conference, San Diegom, CA, USA, 10–12 June 2008; pp. 1–15.
- Hein, G.W.; Irsigler, M.; Avila-rodriguez, J.A.; Wallner, S.; Pany, T.; Eissfeller, B.; Hartl, P. Envisioning a future GNSS system of systems part 3. Inside GNSS 2007, 6, 64–73. [Google Scholar]
- Issler, J.L.; Eissfeller, B. Toward centimetric positioning thanks to L-and S-Band GNSS and to meta-GNSS signals. In Proceedings of the 2010 5th ESA Workshop on Satellite Navigation Technologies and European Workshop on GNSS Signals and Signal Processing, Toulouse, France, 8–10 December 2010; pp. 1–8.
- Liu, M.; Zhan, X.; Li, W.; Chen, M. MSK-BCS modulation for GNSS radio frequency compatibility in C Band. J. Netw. 2014, 9, 2713–2720. [Google Scholar] [CrossRef]
- Liu, M.; Zhan, X.; Li, W.; Chen, M. A compatibility analysis between GNSS and radio astronomy/microwave landing system in C band. J. Aeronaut. Astronaut. Aviat. 2014, 46, 102–107. [Google Scholar]
- Amat, A.G.; Nour, C.A.; Douillard, C. Serially concatenated continuous phase modulation for satellite communications. IEEE Trans. Wirel. Commun. 2009, 8, 3260–3269. [Google Scholar]
- Baroni, R.; Lombardo, F.; Suffritti, R.; Candreva, E.A.; Vanelli-Coralli, A.; Corazza, G.E.; Colavolpe, G.; Gallinaro, G.; Alagha, N. Performance analysis of a mesh satellite system based on linear and continuous phase modulations. In Proceedings of 2012 IEEE International Conference on Communications, Ottawa, ON, Canada, 10–15 June 2012; pp. 3255–3259.
- Emmanuele, A.; Zanier, F.; Boccolini, G.; Luise, M. Spread-spectrum continuous-phase-modulated signals for satellite navigation. IEEE Trans. Aerosp. Electron. Syst. 2012, 48, 3234–3249. [Google Scholar] [CrossRef]
- Thoelert, S.; Montenbruck, O.; Meurer, M. IRNSS-1A: Signal and clock characterization of the Indian regional navigation system. GPS Solut. 2014, 18, 147–152. [Google Scholar] [CrossRef]
- Avila-Rodriguez, J.-A.; Wallner, S.; Won, J.-H.; Eissfeller, B.; Schmitz-Peiffer, A.; Floch, J.-J.; Colzi, E.; Gerner, J.-L. Study on a Galileo signal and service plan for C-band. In Proceedings of International Technical Meeting of the Satellite Division of The Institute of Navigation, Savannah, GA, USA, 16–19 September 2008; pp. 2515–2529.
- Aulin, T.; Sundberg, C.E. Continuous phase modulation-part I: Full response signaling. IEEE Trans. Commun. 1981, 29, 196–209. [Google Scholar] [CrossRef]
- Aulin, T.; Rydbeck, N.; Sundberg, C.E. Continuous phase modulation-part II: Partial response signaling. IEEE Trans. Commun. 1981, 29, 210–225. [Google Scholar] [CrossRef]
- Rimoldi, B. A decomposition approach to CPM. IEEE Trans. Inf. Theory 1988, 34, 260–270. [Google Scholar] [CrossRef]
- Anderson, J.B.; Aulin, T.; Sundberg, C.E. Digital Phase Modulation; Plenum Press: New York, NY, USA, 1986; pp. 149–153. [Google Scholar]
- Betz, J.W.; Kolodziejski, K.R. Generalized theory of code tracking with an early-late discriminator part I: Lower bound and coherent processing. IEEE Trans. Aerosp. Electron. Syst. 2009, 45, 1538–1556. [Google Scholar] [CrossRef]
- Sahmoudi, M.; Landry, R.J. Multipath mitigation techniques using maximum-likelihood principle. Inside GNSS 2008, 8, 24–29. [Google Scholar]
- Kaplan, E.D.; Hegarty, C.J. Understanding GPS: Principle and Application, 2nd ed.; Artech House: Boston, MA, USA, 2006; pp. 279–295. [Google Scholar]
- Betz, J.W. Effect of Partial-Band interference on receiver estimation of C/N0: Theory. In Proceedings of the Institute of Navigation, Long Beach, CA, USA, 22–24 January 2001; pp. 817–828.
- Betz, J.W.; Goldstein, D.B. Candidate designs for an additional civil signal in GPS spectral bands. In Proceedings of the National Technical Meeting-Institute of Navigation, San Diego, CA, USA, 28–30 January 2002; pp. 622–631.
- Betz, J.W.; Titus, B.M. Intersystem and intrasystem interference with signal imperfections. In Proceedings of the Position Location and Navigation Symposium, Fort Worth, TX, USA, 26–29 April 2004; pp. 558–565.
- Soualle, F.; Burger, T. Radio frequency compatibility criterion for code tracking performance. In Proceedings of the International Technical Meeting of the Satellite Division of The Institute of Navigation, Fort Worth, TX, USA, 25–28 September 2007; pp. 1201–1210.
- Wang, F.; Zeng, D.; Li, R. Study on MSK Modulation for S-band. In Proceedings of 2013 China Satellite Navigation Conference, Wuhan, China, 15–17 May 2013; pp. 61–69.
- Qin, P. The research of the signal in the S frequency band. In Proceedings of 2013 China Satellite Navigation Conference, Wuhan, China, 15–17 May 2013; pp. 1–5.
- Mateu, I.; Boulanger, C.; Issler, J.-L.; Ries, L.; Avila-Rodriguez, J.-A.; Wallner, S.; Kraus, T.; Eissfeller, B.; Mulassano, P.; Germaine, S.; et al. Exploration of possible GNSS signals in S-band. In Proceedings of the International Technical Meeting of The Satellite Division of the Institute of Navigation, Savannah, GA, USA, 22–25 September 2009; pp. 1573–1587.
- Liu, W.; Du, G.; Zhan, X.; Zhai, C. MSK-BCS coded symbol modulations for global navigation satellite systems. IEICE Electron. Express 2010, 7, 421–427. [Google Scholar] [CrossRef]
© 2015 by the authors; licensee MDPI, Basel, Switzerland. This article is an open access article distributed under the terms and conditions of the Creative Commons Attribution license (http://creativecommons.org/licenses/by/4.0/).
Share and Cite
Xue, R.; Sun, Y.; Zhao, D. CPM Signals for Satellite Navigation in the S and C Bands. Sensors 2015, 15, 13184-13200. https://doi.org/10.3390/s150613184
Xue R, Sun Y, Zhao D. CPM Signals for Satellite Navigation in the S and C Bands. Sensors. 2015; 15(6):13184-13200. https://doi.org/10.3390/s150613184
Chicago/Turabian StyleXue, Rui, Yanbo Sun, and Danfeng Zhao. 2015. "CPM Signals for Satellite Navigation in the S and C Bands" Sensors 15, no. 6: 13184-13200. https://doi.org/10.3390/s150613184
APA StyleXue, R., Sun, Y., & Zhao, D. (2015). CPM Signals for Satellite Navigation in the S and C Bands. Sensors, 15(6), 13184-13200. https://doi.org/10.3390/s150613184
