Highly Sensitive Multi-Channel IDC Sensor Array for Low Concentration Taste Detection
Abstract
:1. Introduction
2. Theory and Operation Principle


3. Experimental Details
3.1. Fabrication of the Interdigitated Electrode


3.2. Fabrication of the Sensing Solution and Interdigitated Sensing Element of the Array
| Sensor ID | Lipid | Polymer | Solvent |
|---|---|---|---|
| S0 | PVC | DOPP and THF | |
| S1 | OA | PVC | DOPP and THF |
| S2 | DOP | PVC | DOPP and THF |
| S3 | TOMA | PVC | DOPP and THF |
| S4 | OAm | PVC | DOPP and THF |

3.3. Detection System

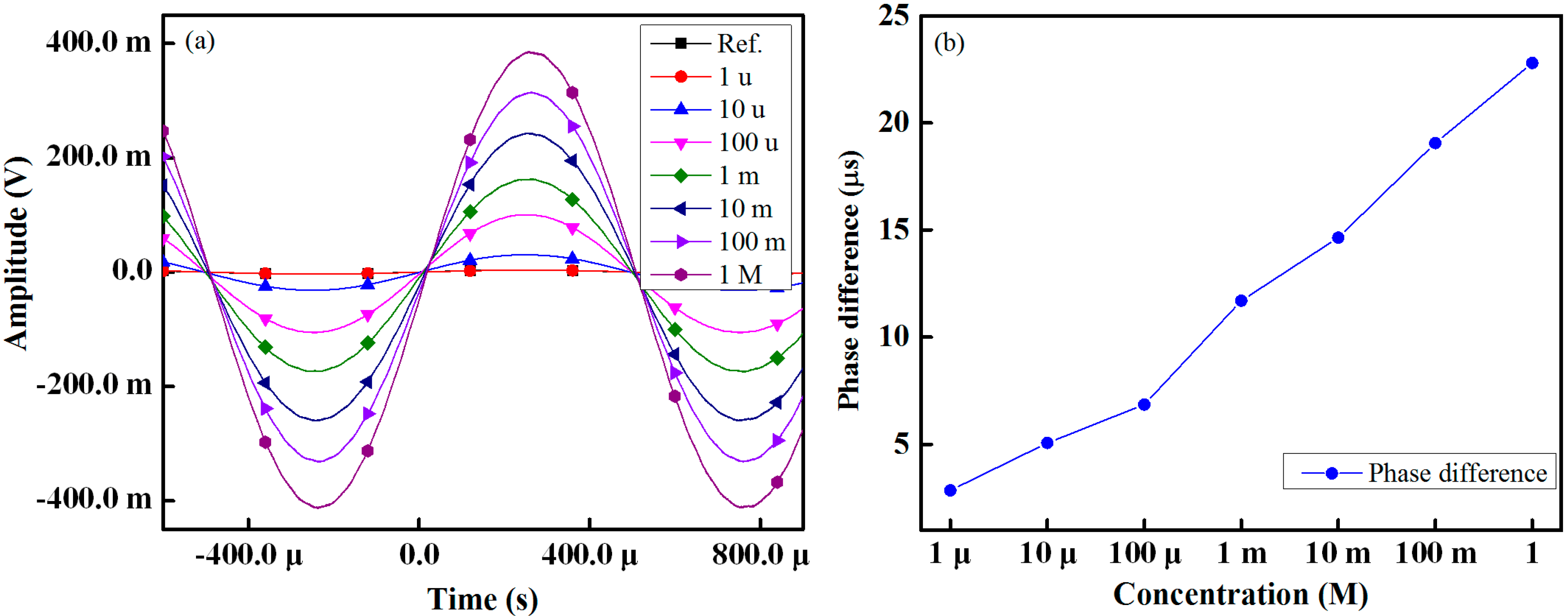
4. Results and Discussion


| Observation No. | Sample’s Name | Dielectric Constant | Capacitance (pf) | Standard Deviation of the Dielectric Constant |
|---|---|---|---|---|
| 1 | OA1 | 1.33290 | 1.18015 | |
| 2 | OA2 | 1.38996 | 1.24105 | 0.029 |
| 3 | OA3 | 1.35165 | 1.18996 |






5. Conclusions
Acknowledgment
Author Contributions
Conflicts of Interest
References
- Woertz, K.; Tissen, C.; Kleinebudde, P.; Breitkreutz, J. Taste sensing systems (electronic tongues) for pharmaceutical applications. Int. J. Pharm. 2011, 417, 256–271. [Google Scholar] [CrossRef] [PubMed]
- Ciosek, P.; Wróblewski, W. Sensor arrays for liquid sensing—electronic tongue systems. Analyst 2007, 132, 963–978. [Google Scholar] [CrossRef] [PubMed]
- Ciosek, P.; Brudzewski, K.; Wróblewski, W. Milk classification by means of an electronic tongue and Support Vector Machine neutral network. Meas. Sci. Technol. 2006, 17, 1379–1384. [Google Scholar] [CrossRef]
- Parra, V.; Arrieta, Á.A.; Fernandez-Escudero, J.A.; Apetrei, H.G.C.; Rodrıguez-Mendez, M.L.; Saja, J.A. E-tongue based on a hybrid array of voltammetric sensors based on phthalocyanines, perylene derivatives and conducting polymers: Discrimination capability towards red wines elaborated with different varieties of grapes. Sens. Actuators B Chem. 2006, 115, 54–61. [Google Scholar]
- Rossi, F.; Godani, F.; Bertuzzi, T.; Trevisan, M.; Ferrari, F.; Gatti, S. Health promoting substances and heavy metal content in tomatoes grown with different farming techniques Electronic Tongue. Eur. J. Nutr. 2008, 47, 266–272. [Google Scholar] [CrossRef] [PubMed]
- Rudnitskaya, A.; Polshinb, E.; Kirsanov, D.; Lammertyn, J.; Nicolai, B.; Saison, D.; Delvaux, F.R.; Delvaux, F.; Legin, A. Instrumental measurement of beer taste attributes using an electronic tongue. Anal. Chim. Acta. 2009, 646, 111–118. [Google Scholar] [CrossRef] [PubMed]
- Toko, K. Electronic Sensing of Tastes. Sens. Update 1998, 3, 131–160. [Google Scholar] [CrossRef]
- Palit, M.; Tudu, B.; Dutta, P.K.; Dutta, A.; Jana, A.; Roy, J.K.; Bhattacharyya, N.; Bandyopadhyay, R.; Chatterjee, A. Classification of black tea taste and correlation with tea taster’s mark using voltammetric electronic tongue. IEEE T. Instrum. Meas. 2010, 59, 2230–2239. [Google Scholar] [CrossRef]
- Ciosek, P.; Pokorsk, B.; Romanowska, E.; Wróblewski, W. The recognition of growth conditions and metabolic type of plants by a potentiometric electronic tongue. Electroanal 2006, 18, 1266–1272. [Google Scholar] [CrossRef]
- Kuhlman, G.M.; Keymeulen, D.; Buehler, M.G. Detecting heavy metals in solution using electronic-tongue 3 REDOX water quality sensors. In Proceedings of the IEEE Aerospace Conference, Big Sky, MT, USA, 6–13 March 2004; pp. 363–378.
- Rudnitskaya, A.; Ehlert, A.; Legin, A.; Vlasov, Y.; Büttgenbach, S. Multisensor system on the basis of an array of non-specyfic chemical sensors and artificial neural networks for determination of inorganic pollutants in a model groundwater. Talanta 2001, 55, 425–431. [Google Scholar] [CrossRef]
- The Five Senses of Sensors—Taste. Available online: http://www.digikey.kr/ko/articles/techzone/2011/jul/the-five-senses-of-sensors---taste (accessed on 3 June 2015).
- Ciosek, P.; Wróblewski, W. Potentiometric electronic tongues for foodstuff and biosample recognition—An overview. Sensors 2011, 11, 4688–4701. [Google Scholar] [CrossRef] [PubMed]
- Halder, A.; Mahato, M.; Sinha, T.; Adhikari, B.; Mukherjee, S.; Bhattacharyya, N. Polymer membrane electrode based potentiometric taste sensor: A new sensor to distinguish five basic tastes. In Proceedings of the IEEE 6th International Conference on Sensing Technology (ICST), Kolkata, India, 18–21 December 2012; pp. 785–789.
- Legin, A.; Rudnitskaya, A.; Vlasov, Y.; Natale, C.D.; Davide, F.; D’Amico, A. Tasting of beverages using an electronic tongue. Sens. Actuators B Chem. 1997, 44, 291–296. [Google Scholar] [CrossRef]
- Toko, K. Taste sensor with global selectivity. Mater. Sci. Eng. C 1996, 4, 69–82. [Google Scholar] [CrossRef]
- Winquist, F.; Wide, P.; Lundström, I. An electronic tongue based on voltammetry. Anal. Chim. Acta 1997, 357, 21F–31F. [Google Scholar] [CrossRef]
- Winquist, F.; Krantz-Rülcker, C.; Wide, P.; Lundström, I. Monitoring of freshness of milk by an electronic tongue on the basis of voltammetry. Meas. Sci. Technol. 1998, 9, 1937–1946. [Google Scholar] [CrossRef]
- Winquist, F. Voltammetric electronic tongues—Basic principles and applications. Microchim. Acta 2008, 163, 3–10. [Google Scholar] [CrossRef]
- Zeravik, J.; Hlavacek, A.; Lacina, K.; Skládal, P. State of the art in the field of electronic and bioelectronic tongues—Towards the analysis of wines. Electroanal 2009, 21, 2509–2520. [Google Scholar] [CrossRef]
- Scampicchio, M.; Benedetti, S.; Brunetti, B.; Mannino, S. Amperometric electronic tongue for the evaluation of the tea astringency. Electroanal 2006, 18, 1643–1648. [Google Scholar] [CrossRef]
- Thete, A.R.; Henkel, T.; Göckeritz, R.; Endlich, M.; Köhler, J.M.; Groβ, G.A. A hydrogel based fluorescent micro array used for the characterization of liquid analytes. Anal. Chim. Acta 2009, 633, 81–89. [Google Scholar] [CrossRef] [PubMed]
- Sohna, Y.S.; Goodeyb, A.; Anslynb, E.V.; McDevittb, J.T.; Shearb, J.B.; Neikirka, D.P. A microbead array chemical sensor using capillary-based sample introduction: Toward the development of an electronic tongue. Biosens. Bioelectron. 2005, 21, 303–312. [Google Scholar] [CrossRef] [PubMed]
- Riu, A., Jr.; Santos, D.S.D., Jr.; Wohnrath, K.; Tommazo, R.D.; Carvalho, A.C.P.L.F.; Fonseca, F.J.; Oliveira, O.N., Jr.; Taylor, D.M.; Mattoso, L.H.C. Artificial taste sensor: Efficient combination of sensors made from langmuir-blodgett films of conducting polymers and a ruthenium complex and self-assembled films of an azobenzene-containing polymer. Langmuir 2002, 18, 239–245. [Google Scholar]
- Sehra, G.; Cole, M.; Gardner, J.W. Miniature taste sensing system based on dual SH-SAW sensor device: An electronic tongue. Sens. Actuators B Chem. 2004, 103, 233–239. [Google Scholar] [CrossRef]
- Takagi, S.; Toko, K.; Wada, K.; Yamada, H.; Toyoshima, K. Detection of suppression of bitterness by sweet substance using a multichannel taste sensor. J. Pharm. Sci. 1998, 87, 552–555. [Google Scholar] [CrossRef] [PubMed]
- Miyanaga, Y.; Inoue, N.; Ohnishi, A.; Fujisawa, E.; Yamaguchi, M.; Uchida, T. Quantitative prediction of the bitterness suppression of elemental diets by various flavors using a taste sensor. Pharm. Res. 2003, 20, 1932–1938. [Google Scholar] [CrossRef] [PubMed]
- Anand, V.; Kataria, M.; Kukkar, V.; Saharan, V.; Choudhury, P.K. The latest trends in the taste assessment of pharmaceuticals. Drug Discov. Today 2007, 12, 257–265. [Google Scholar] [CrossRef] [PubMed]
- Kotani, K.; Kawayama, I.; Tonouchi, M. Dielectric response of c-oriented SrBi2Ta2O9 thin films observed with interdigital electrodes. Jpn. J. Appl. Phys. 2002, 41, 6790–6792. [Google Scholar] [CrossRef]
- Hoffman, R.K. Handbook of Microwave Integrated Circuits; Artech: Norwell, MA, USA, 1987. [Google Scholar]
- Alley, G.D. Interdigital capacitors and their application to lumped-element microwave integrated circuits. IEEE Trans. Microwave Theory Tech. 1970, MTT-18, 1028–1033. [Google Scholar] [CrossRef]
- Iezekiel, S. Microwave Photonics: Devices and Applications; John Wiley & Sons Ltd: West Sussex, UK, 2009. [Google Scholar]
- Wei, J.S. Distributed capacitance of planar electrodes in optic and acoustic surface wave devices. IEEE J. Quantum Electron. 1977, QE-13, 152–158. [Google Scholar] [CrossRef]
- Wu, H.D.; Zhang, Z.; Barnes, F.; Jackson, C.M.; Kain, A.; Cuchiaro, J.D. Voltage tunable capacitors using high temperature superconductors and ferroelectrics. IEEE Trans. Appl. Supercond. 1994, 4, 156–160. [Google Scholar]
- Qu, W.; Wlodarski, W. A thin-film sensing element for ozone. Sens. Actuators B Chem. 2000, 64, 42–48. [Google Scholar] [CrossRef]
- Hagleitner, C.; Hierlemann, A.; Lange, D.; Kummer, A.; Kerness, N.; Brand, O.; Baltes, H. Smart single-chip gas sensor microsystems. Nature 2001, 414, 293–296. [Google Scholar] [CrossRef] [PubMed]
- Casalini, R.; Kilitziraki, M.; Wood, D.; Petty, M.C. Sensivity of the electrical admittance of a polysiloxane film to organic vapours. Sens. Actuators B Chem. 1999, 563, 7–44. [Google Scholar]
- Zhou, R.; Hierlemann, A.; Weimar, U.; Göpel, W. Gravimetric, dielectric and calorimetric methods for the detection of organic solvent vapours using poly(ether urethane) coatings. Sens. Actuators B Chem. 1996, 34, 356–360. [Google Scholar] [CrossRef]
- Sontimuang, C.; Suedee, R.; Dickert, F. Interdigitated capacitive biosensor based on molecularly imprinted polymer for rapid detection of Hev b1 latex allergen. Anal. Biochem. 2011, 410, 224–233. [Google Scholar] [CrossRef] [PubMed]
- Endres, H.E.; Drost, S. Optimization of the geometry of gas-sensitive interdigital capacitors. Sens. Actuators B Chem. 1991, 4, 95–98. [Google Scholar] [CrossRef]
- Huang, S.Y.; Chou, C.M.; Chen, T.H.; Chiou, P.C.; Hsiao, V.K.S.; Ching, C.T.S.; Sun, T.P. Enhanced sensitivity using microfluidic, interdigitated microelectrode based capacitance glucose sensor measured at 4 MHz. J. Electrochem. Soc. 2014, 161, B102–B105. [Google Scholar] [CrossRef]
- Shlens, J. A Tutorial on Principal Component Analysis. Available online: http://arxiv.org/pdf/1404.1100v1.pdf (accessed on 19 March 2015).
- Abdi, H.; Williams, L.J. Principal Component Analysis. Available online: http://www.academia.edu/2060287/Principal_component_analysis (accessed on 19 March 2015).
- Cell Constant of Interdigitated Electrodes. Available online: http://www.mosaic-industries.com/embedded-systems/instrumentation/conductivity-meter/microfabricated-planar-interdigitated-electrodes-cell-constant (accessed on 19 March 2015).
- Olthuis, W.; Streekstra, W.; Bergveld, P. Theoretical and experimental determination of cell constants of planar-interdigitated electrolyte conductivity sensors. Sens. Actuators B Chem. 1995, 24, 252–256. [Google Scholar] [CrossRef]
- Igreja, R.; Dias, C.J. Analytical evaluation of the interdigital electrodes capacitance for a multi-layered structure. Sens. Actuators A Phys. 2004, 112, 291–301. [Google Scholar] [CrossRef]
- Igreja, R.; Dias, C.J. Dielectric response of interdigital chemocapacitors: The role of the sensitive layer thickness. Sens. Actuators B Chem. 2006, 115, 69–78. [Google Scholar] [CrossRef]
- Ibrahim, M.; Claudel, J.; Kourtiche, D.; Nadi, M. Geometric parameters optimization of planar interdigitated electrodes for bioimpedance spectroscopy. J. Electr. Bioimp. 2013, 4, 13–22. [Google Scholar] [CrossRef]
- Khan, Md.R.R.; Kang, B.H.; Yeom, S.H.; Kwon, D.H.; Kang, S.W. Fiber-optic pulse width modulation sensor for low concentration VOC gas. Sens. Actuators B Chem. 2013, 188, 689–696. [Google Scholar] [CrossRef]
- Khan, Md.R.R.; Kang, B.H.; Lee, S.W.; Kim, S.H.; Yeom, S.H.; Lee, S.H.; Kang, S.W. Fiber-optic multi-sensor array for detection of low concentration volatile organic compounds. Opt. Express 2013, 21, 20119–20129. [Google Scholar] [CrossRef] [PubMed]
- Khan, Md.R.R.; Kang, S.W. A high sensitivity and wide dynamic range fiber-optic sensor for low-concentration VOC gas detection. Sensors 2014, 14, 23321–23336. [Google Scholar] [CrossRef] [PubMed]
- Majumdar, S.; Adhikari, B. Taste sensing with polyacrylamide grafted cellulose. J. Sci. Ind. Res. India 2006, 65, 237–243. [Google Scholar]
- Toko, K. Biomimetic Sensor Technology; Cambridge University Press: Cambridge, UK, 2000. [Google Scholar]
- Electronic Tongue Systems for Food and Environmental Applications. Available online: http://citeseerx.ist.psu.edu/viewdoc/download?doi=10.1.1.131.3110&rep=rep1&type=pdf (accessed on 29 May 2015).
© 2015 by the authors; licensee MDPI, Basel, Switzerland. This article is an open access article distributed under the terms and conditions of the Creative Commons Attribution license (http://creativecommons.org/licenses/by/4.0/).
Share and Cite
Khan, M.R.R.; Kang, S.-W. Highly Sensitive Multi-Channel IDC Sensor Array for Low Concentration Taste Detection. Sensors 2015, 15, 13201-13221. https://doi.org/10.3390/s150613201
Khan MRR, Kang S-W. Highly Sensitive Multi-Channel IDC Sensor Array for Low Concentration Taste Detection. Sensors. 2015; 15(6):13201-13221. https://doi.org/10.3390/s150613201
Chicago/Turabian StyleKhan, Md. Rajibur Rahaman, and Shin-Won Kang. 2015. "Highly Sensitive Multi-Channel IDC Sensor Array for Low Concentration Taste Detection" Sensors 15, no. 6: 13201-13221. https://doi.org/10.3390/s150613201
APA StyleKhan, M. R. R., & Kang, S.-W. (2015). Highly Sensitive Multi-Channel IDC Sensor Array for Low Concentration Taste Detection. Sensors, 15(6), 13201-13221. https://doi.org/10.3390/s150613201

