A Wireless LC Sensor Coated with Ba0.9Bi0.066TiO3 for Measuring Temperature
Abstract
:1. Introduction
2. Coating of Interdigitated Capacitor Electrodes with BBT Film
2.1. Sensor Design


2.2. Powder Preparation and Characterization

2.3. Preparation of the BBT Paste and Thin Film

3. Experimental Setup


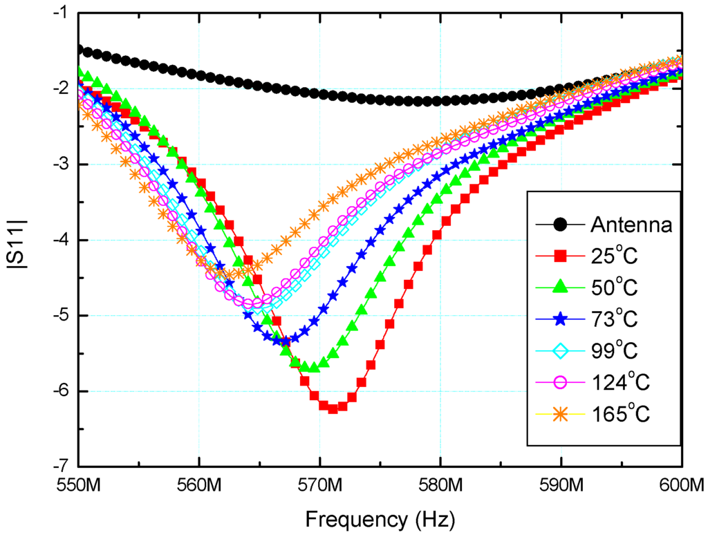
4. Results and Discussion






5. Conclusions
Acknowledgments
Author Contributions
Conflicts of Interest
References
- Baker, B. Single Supply Temperature Sensing with Thermocouples; Microchip Technology Inc.: Chandler, AZ, USA, 2002; pp. 1–12. [Google Scholar]
- Cathles, L.; Cathles, L.M.; Albert, M. A physical based method for correcting temperature profile measurements made using thermocouples. J. Glaciol. 2007, 53, 298–304. [Google Scholar] [CrossRef]
- Birdsell, E.; Park, J.; Allen, M. Wireless Ceramic Sensors Operating in High Temperature Environments. In Proceedings of the 40th AIAA/ASME/SAE/ASEE Joint Propulsion Conference, Fort Lauderdale, FL, USA, 11–14 July 2004. [CrossRef]
- Wang, Y.; Jia, Y.; Chen, Q.; Wang, Y. A Passive Wireless Temperature Sensor for Harsh Environment Applications. Sensors 2008, 8, 7982–7995. [Google Scholar] [CrossRef]
- Nabipoor, M.; Majlis, B.Y. A new passive telemetry LC pressure and temperature sensor optimized for TMPS. J. Phys. Conf. Ser. 2006, 34, 770–775. [Google Scholar] [CrossRef]
- Fonseca, M.; English, J.; von Arx, M.; Allen, M. Wireless micromachined ceramic pressure sensor for high-temperature applications. J. Microelectromech. Syst. 2002, 11, 337–343. [Google Scholar] [CrossRef]
- Harpster, T.; Hauvespre, S.; Dokmeci, M.; Najafi, K. Passive humidity monitoring system for in situ remote wireless testing of micropackages. J. Microelectromech. Syst. 2002, 11, 61–67. [Google Scholar] [CrossRef]
- Oprea, A.; Barsan, N.; Weimar, U.; Bauerfeld, M.L.; Ebling, D.; Wollenstein, J. Capacitive humidity sensors on flexible RFID labels. Sens. Actuators 2008, B 132, 404–410. [Google Scholar] [CrossRef]
- Rodriguez, R.; Jia, Y. A wireless inductive-capacitive (L-C) sensor for rotating component temperature monitoring. Int. J. Smart Sens. Intell. Syst. 2011, 4, 325–337. [Google Scholar]
- Albersten, A. LTCC Technology for Sensor- and RF-Applications. Bodo’s Power Systems 2007, 38–39. Available online: http://www.koaeurope.de/at/koa/downloads/LTCC12-2007.pdf (accessed on 11 May 2015). [Google Scholar]
- Vittayakorn, N. Dielectric Properties of Bismuth Doped Barium Titanate (BaTiO3) Ceramics. J. Appl. Sci. Res. 2006, 2, 1319–1322. [Google Scholar]
- Bahri, F.; Khemakhem, H.; Simon, A.; von der Mühll, R.; Ravez, J. Dielectric and pyroelectric studies on the Ba1-3aBi2aTiO3 classical and relaxor ferroelectric ceramics. Solid State Sci. 2003, 5, 1235–1238. [Google Scholar] [CrossRef]
- Cvejin, K.; Mojic, B.; Samardzic, N.; Srdic, V.V.; Stojanovic, G.M. Dielectric studies of barium bismuth titanate as a material for application in temperature sensors. J. Mater. Sci. Mater. Electron. 2013, 24, 1243–1249. [Google Scholar] [CrossRef]
- Ito, S.; Chen, P.; Comte, P.; Nazeeruddin, M.K.; Liska, P.; Pechy, P.; Gratzel, M. Fabrication of Screen-Printing Pastes From TiO2 Powders for Dye-Sensitised Solar Cells. Prog. Photovolt Res. Appl. 2007, 15, 603–612. [Google Scholar] [CrossRef]
- Sanson, A.; Mangifesta, P.; Roncari, E. Environmental-friendly Screen Printing Ink for Gas Sensors. In Proceeding of the International Conference of the European Ceramic Society, Berlin, Germany, 17–21 June 2007; pp. 825–830.
© 2015 by the authors; licensee MDPI, Basel, Switzerland. This article is an open access article distributed under the terms and conditions of the Creative Commons Attribution license (http://creativecommons.org/licenses/by/4.0/).
Share and Cite
Radovanovic, M.; Mojic-Lante, B.; Cvejin, K.N.; Srdic, V.V.; Stojanovic, G.M. A Wireless LC Sensor Coated with Ba0.9Bi0.066TiO3 for Measuring Temperature. Sensors 2015, 15, 11454-11464. https://doi.org/10.3390/s150511454
Radovanovic M, Mojic-Lante B, Cvejin KN, Srdic VV, Stojanovic GM. A Wireless LC Sensor Coated with Ba0.9Bi0.066TiO3 for Measuring Temperature. Sensors. 2015; 15(5):11454-11464. https://doi.org/10.3390/s150511454
Chicago/Turabian StyleRadovanovic, Milan, Bojana Mojic-Lante, Katarina N. Cvejin, Vladimir V. Srdic, and Goran M. Stojanovic. 2015. "A Wireless LC Sensor Coated with Ba0.9Bi0.066TiO3 for Measuring Temperature" Sensors 15, no. 5: 11454-11464. https://doi.org/10.3390/s150511454
APA StyleRadovanovic, M., Mojic-Lante, B., Cvejin, K. N., Srdic, V. V., & Stojanovic, G. M. (2015). A Wireless LC Sensor Coated with Ba0.9Bi0.066TiO3 for Measuring Temperature. Sensors, 15(5), 11454-11464. https://doi.org/10.3390/s150511454
