Study of Multi-Armed Bandits for Energy Conservation in Cognitive Radio Sensor Networks
Abstract
:1. Introduction
| State | Energy Consumptions | 
|---|---|
| Transmit | 10.8 mA (radio) | 
| 8 mA (cpu) | |
| Idle/Receive | 7.5 mA (radio) | 
| 8 mA (cpu) | |
| Sleep | 1 uA (Radio) | 
| 1 uA (cpu) | 
- The frame size adaptive adjustment replaces the fixed frame transmission according to the channel quality.
- MAB is applied to predict the optimal frame size according to the channel quality.
- Bandwidth estimation based on the ACK interval is used for tracking the wireless channel quality.
- The MAB scheme is compared with the extended Kalman filter (EKF) [3], which is better in the current research of adaptive packet length.
2. Related Work
2.1. Energy Efficiency
2.2. Multi-Armed Bandits
3. System Model


3.1. Network Configuration

3.2. Physical Layer Model

3.3. MAC Layer Model

3.4. Dynamic Power Management Model

3.5. Energy Consumption Model

4. The Model of Packet Size Adaptation Using Bounded Multi-Armed Bandits
4.1. Bounded Multi-Armed Bandits
4.2. Packet Size Adaptation
- L: a frame size
- LACK: the acknowledgment frame length
- Lcollision: the average collision length
- R: the transmission of data rate
- HMAC: the MAC protocol of a frame header
- HPHY: the PHY layer of a frame header
- N: average collisions number between two renewal sensor
- T: average backoff time slots under a certain channel
- D: Distributed Inter-frame Spacing(DIFS)
- Perror: bit error probability in the case of known channel quality
- OACK: the overhead of the acknowledgment
- Optotocol: the MAC and PHY protocol process delay overhead
- ◆
- The energy consumed by the access control slot, which includes transmitted access request packets and the broadcast of access reply packets received.
- ◆
- The energy consumed of the data transmission slots.
4.3. Uniform Exploration and Bounded Knapsack-Based Exploitation
4.3.1. Uniform Exploration
4.3.2. The Exploitation Stage of the Bounded Knapsack
| Algorithm 1 Bounded ε-first algorithm | 
| 
 | 
5. Performance Analysis
5.1. Regret Bounds of ε-First with Uniform Exploration Algorithm
5.2. Regret Bounds of ε-First with the Successive Rejects Exploration Algorithm
6. Simulation and Results
6.1. Bandwidth Estimation Online Learning


| Time | Events | 
|---|---|
| 0 s | TCP–Learning send data | 
| 25 s | The first UDP link start sending 1 M constant data | 
| 50 s | The second UDP link start sending 1 M constant data | 
| 75 s | The second UDP link stop sending | 
| 125 s | The second UDP link restart | 
| 175 s | The second UDP link stop sending | 
| 200 s | The first UDP link stop sending | 
| 300 s | TCP-Learning stop sending | 
| Type | Value | Type | Value | 
|---|---|---|---|
| Bottleneck bandwidth | 5 Mb | UDP Transfer rate | 1 Mbps | 
| Bottleneck bandwidth delay | 35 ms | TCP Packet Size | 1500 | 
| UDP Packet Size | 1500 | Total transmission time | 300 s | 
| Link error rates | 0.0% | 


6.2. The Convergence of MAB
| Type | Description | 
|---|---|
| S = 1 | the current channel free | 
| S = 0 | the current state of busy | 
| λ0 | the channel state transition probability from busy to idle | 
| 1 − λ1 | the channel state transition probability from idle to busy | 

| Parameters | Value | 
|---|---|
| Number of sensors (N) | 30 | 
| Number of channels (M) | 20 | 
| Sensor active probability | 0.3 | 
| Channel transition probability | (0.1) | 
| Slot duration (ts) | 4 ms | 
| Data transmission rate (B) | 40 kbps | 
| CM control packet size (L) | 17 bytes | 
| CH broadcast packet size (L) | 20 bytes | 
| CM data packet size (L) | 20~128 bytes | 
| Sensor initial energy (Ein) | 1 J | 
| RF circuit energy consumption (Ecir) | 50 nJ/bit | 
| Amplifier energy required at CH (ε) | 100 PJ/bit | 
| Distance between sensor and CH (d) | 25 m on average | 



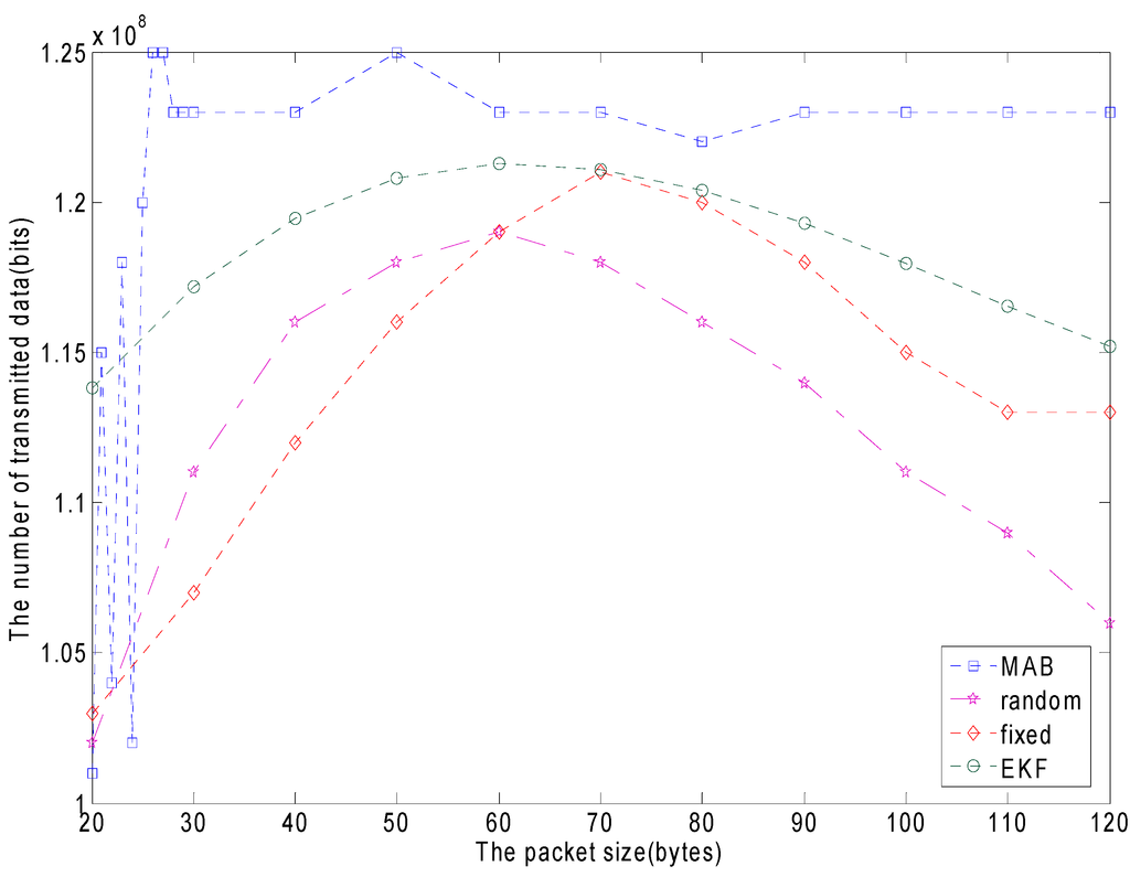
6.3. Packet Size Adaption Performance




6.4. Residual Energy Balanceing Channel Assignment

7. Conclusions
Acknowledgments
Author Contributions
Conflicts of Interest
References
- Stankovic, JA.; Abdelzaher, T.F.; Lu, C.; Sha, L.; Hou, J.C. Real-time communication and coordination in embedded sensor etworks. IEEE Proc. 2003, 91, 1002–1022. [Google Scholar] [CrossRef]
- Chong, C.; Kumar, S. Sensor networks: Evolution, opportunities,and challenges. IEEE Proc. 2003, 91, 1247–1256. [Google Scholar] [CrossRef]
- Ci, S.; Sharif, H.; Nuli, K. Study of an Adaptive Frame Size Predictor to Enhance Energy onservation in Wireless Sensor Networks. IEEE J. Sel. Areas Commun. 2005, 23, 283–292. [Google Scholar] [CrossRef]
- Li, X.; Wang, D. Dynamic spectrum access with packet size adaptation and residual energy balancing for energy-constrained cognitive radio sensor networks. J. Netw. Comput. Appl. 2014, 41, 157–166. [Google Scholar] [CrossRef]
- Lucas Martínez, N.; Martínez, J.-F.; Hernández Díaz, V. Virtualization of Event Sources in Wireless Sensor Networks for the Internet of Things. Sensors 2014, 14, 22737–22753. [Google Scholar] [CrossRef] [PubMed]
- Chung, E.Y.; Benini, L.; Bogliolo, A.; Lu, Y.H.; Micheli, G.D. Dynamic power management for nonstationary service requests. IEEE Trans. Comput. 2002, 51, 1345–1361. [Google Scholar] [CrossRef]
- Gao, S; Qian, L; Vaman, D.R. Distributed energy efficient spectrum access in cognitive radio wireless ad hoc networks. IEEE Trans. Wirel. Commun. 2009, 8, 5202–5213. [Google Scholar] [CrossRef]
- Chen, Y.; Zhao, Q. On the lifetime of wireless sensor networks. IEEE Commun. Lett. 2005, 9, 976–978. [Google Scholar] [CrossRef]
- Wang, Q.; Hempstead, M.; Yang, W. A realistic power consumption model for wireless sensor network devices. In Proceedings of the Third Annual IEEE Communications Society Conference on Sensor, Mesh and Ad Hoc Communications and Networks, Reston, VA, USA, 28 September 2006; pp. 25–28.
- Yang, J.; Ulukus, S. Optimal packet scheduling in an energy harvesting communication system. IEEE Trans. Commun. 2012, 60, 220–230. [Google Scholar] [CrossRef]
- Akan, O.B.; Karli, O.B.; Ergul, O. Cognitive radio sensor networks. IEEE Netw. 2009, 23, 34–40. [Google Scholar] [CrossRef]
- Goh, H.G.; Kwong, K.H.; Shen, C.; Michie, C.; Andonovic, I. CogSeNet: A concept of cognitive wireless sensor network. In Proceedings of 2010 7th IEEE consumer communications and networking conference (CCNC), Las Vegas, NV, USA, 9–12 January 2010; pp. 1–2.
- Vijayand, G.; Bdira, E.B.A.; Ibnkahla, M. Cognition in wireless sensor networks: A Perspective. IEEE Sens. J. 2011, 11, 582–592. [Google Scholar] [CrossRef]
- Zhang, H.; Zhang, Z.; Chen, X.; Yin, R. Energy Efficient Joint Source and Channel Sensing in Cognitive Radio Sensor Networks. In Proceedings of the IEEE International Conference on Communications (ICC 2011), Kyoto, Japan, 5–9 June 2011; pp. 1–6.
- Maleki, S.; Pandharipande, A.; Leus, G. Energy-efficient distributed spectrum sensing for cognitive sensor networks. IEEE Sens. J. 2011, 11, 565–573. [Google Scholar] [CrossRef]
- Liang, Z.; Feng, S.; Zhao, D.; Shen, X.S. Delay performance analysis for supporting realtime traffic in a cognitive radio sensor network. IEEE Trans. Wirel. Commun. 2011, 10, 325–335. [Google Scholar] [CrossRef]
- Tian, X.; Tian, Z.; Pham, K.; Blasch, E.; Chen, G. QoS-aware dynamic spectrum access for cognitive radio networks. Proc. SPIE 2013, 8739. [Google Scholar] [CrossRef]
- Zhu, J.; Wang, J.; Luo, T.; Li, S. Adaptive transmission scheduling over fading channels for energy-efficient cognitive radio networks by reinforcement learning. Telecommun. Syst. 2009, 42, 123–138. [Google Scholar] [CrossRef]
- He, H.; Wang, J.; Li, S. Strategic learning of cross-layer design for channel access and transmission rate adaptation in energy-constrained cognitive radio networks. J. Inf. Comput. Sci. 2013, 10, 2337–2347. [Google Scholar] [CrossRef]
- Naqvi, H.; Berber, S.; Salcic, Z. Energy efficient collaborative communication with imperfect phase synchronization and rayleigh fading in wireless sensor networks. Phys. Commun. 2010, 3, 119–128. [Google Scholar] [CrossRef]
- Sankarasubramaniam, Y.; Akyildiz, I.; McLaughlin, S. Energy efficiency-based packet size optimization in wireless sensor network. In Proceedings of 1st IEEE International Workshop on Sensor Network Protocols and Applications, Anchorage, AK, USA, 11 May 2003; pp. 1–8.
- Mastronarde, N.; Schaar, M.V.D. Fast reinforcement learning for energy-efficient wireless communication. IEEE Trans. Signal Process. 2011, 59, 6262–6266. [Google Scholar] [CrossRef]
- Woo, A.; Culler, D. A transmission control scheme for media access in sensor networks. In Proceedings of the 7th annual international conference on Mobile computing and networking, Rome, Italy, 16–21 July 2001; pp. 221–235.
- Ho, C.J.; Vaughan, J.W. On line task assignment incrowd sourcing markets. In Proceedings of the 26th Conference on Artificial Intelligence, AAAI2012, Toronto, ON, Canada, 22–26 July 2012; pp. 45–51.
- Bubeck, S.; Munos, R.; Stoltz, G. Pure exploration for multi-armed bandit problems. In Proceedings of the Twentieth international conference on Algorithmic Learning Theory, Porto, Portugal, 3–5 October 2009; pp. 23–37.
- Audibert, J.-Y.; Bubeck, S.; Munos, R. Best arm identification in multi-armed bandits. In Proceedings of the Twenty-Third Annual Conference on Learning Theory, Haifa, Israel, 27–29 June 2010; pp. 41–53.
- Auer, P.; Cesa-Bianchi, N.; Fischer, P. Finite-time analysis of the multiarmed bandit problem. Mach. Learn. 2002, 47, 235–256. [Google Scholar] [CrossRef]
- Beygelzimer, A.; Langford, J.; Li, L.; Reyzin, L.; Schapire, R. Contextual bandit algorithms with supervised learning guarantees. In Proceedings of the Fourteenth International Conference on Artificial Intelligence and Statistics, Ft. Lauderdale, FL, USA, 11–13 April 2011; pp. 19–26.
- Tran-Thanh, L.; Stein, S.; Rogers, A.; Jennings, N.R. Efficient crowdsourcing of unknown experts using bounded multi-armed bandits. Artif. Intell. 2014, 214, 89–111. [Google Scholar] [CrossRef]
- Zhang, J.; Jiang, H.; Jiang, H.S.; Chen, C. Energy-Efficient Policy Based on Cross-Layer Cooperation in Wireless Communication. Int. J. Distrib. Sens. Netw. 2014, 14, 1–11. [Google Scholar]
- Chen, F.; Kwong, S. Multiuser detection using hidden Markov model. IEEE Trans. Veh. Technol. 2009, 58, 107–122. [Google Scholar] [CrossRef]
- Huang, S.; Liu, X.; Ding, Z. Decentralized cognitive radio control based on inference from primary link control information. IEEE J. Sel. Areas Commun. 2011, 29, 394–406. [Google Scholar] [CrossRef]
- Zhou, B.; Chen, Q.; Li, T.J.; Xiao, P. Online Variational Bayesian Filtering-Based Mobile Target Tracking in Wireless Sensor. Netw. Sens. 2014, 14, 21281–21315. [Google Scholar]
- Pham, D.M.; Aziz, S.M. A Real-Time Localization System for an Endoscopic Capsule Using Magnetic Sensors. Sensors 2014, 14, 20910–20929. [Google Scholar] [CrossRef] [PubMed]
- Robbins, H. Some aspects of the sequential design of experiments. Bull. Am. Meteorol. Soc. 1952, 55, 527–535. [Google Scholar] [CrossRef]
- Zhong, X.; Xu, C.Z. Energy-efficient wireless packet scheduling with quality of service control. IEEE Trans. Mobile Comput. 2007, 6, 1158–1170. [Google Scholar] [CrossRef]
- Li, R.; Liu, X.; Xie, W.; Huang, N. Deployment-Based Lifetime Optimization Model for Homogeneous Wireless Sensor Network under Retransmission. Sensors 2014, 14, 23697–23724. [Google Scholar] [CrossRef] [PubMed]
- Salodkar, N.; Bhorkar, A.; Karandikar, A.; Borkar, V.S. An online learning algorithm for energy-efficient delay-constrained scheduling over a fading channel. IEEE J. Sel. Areas Commun. 2008, 26, 732–742. [Google Scholar] [CrossRef]
- Liu, Q.; Zhou, S.; Giannakis, G.B. Queueing with adaptive modulation and coding over wireless links: corss-layer analysis and design. IEEE Trans. Wirel. Commun. 2005, 4, 1142–1153. [Google Scholar] [CrossRef]
- Bandyopadhyay, S.; Saha, S.; Maulik, U.; Deb, K. A simulated annealing-based multiobjective optimization algorithm: AMOSA. IEEE Trans. Evolut. Comput. 2008, 12, 269–283. [Google Scholar] [CrossRef]
- Mnih, V.; Szepesvari, C.; Audibert, J. Empirical Bernstein stopping. In Proceedings of the 25th International Conference on Machine Learning, Helsinki, Finland, 5–9 July 2008; pp. 672–679.
- Gungor, O.; Tan, J.; Koksal, C.E.; Gamal, H.E.; Shroff, N.B. Joint power and secret key queue management for delay limited secure communication. In Proceedings of the 2010 IEEE INFOCOM, San Diego, CA, USA, 14–19 March 2010; pp. 1–9.
- Tran-Thanh, L.; Chapman, A.; de Cote, J.E.M.; Rogers, A.; Jennings, N.R. Epsilon-first policies for budget-limited multi-armed bandits. In Proceedings of the 24th Conference on Artificial Intelligence, Atlanta, GA, USA, 11–15 July 2010; pp. 1211–1216.
- Tran-Thanh, L. Budget-Limited Multi-Armed Bandits. Ph.D. Thesis, University of Southampton, Southampton, UK, 2012. [Google Scholar]
- Tran-Thanh, L.; Stein, S.; Rogers, A.; Jennings, N.R. Efficient crowdsourcing of unknown experts using multi-armed bandits. In Proceedings of 20th European Conference on Artificial Intelligence, ECAI 2012, Montpellier, France, August 2012; pp. 768–773.
- Singh, S.; Jaakkola, T.; Littman, M.; Szepesvári, C. Convergence results for single-step on-policy reinforcement learning algorithms. Mach. Learn. 2000, 38, 287–317. [Google Scholar] [CrossRef]
- Jiang, H.; Liu, C.; Wu, C. Crosslayer parameter configuration for TCP throughput improvement in cognitive radio networks. Acta Phys. Sin 2013, 62, 494–501. [Google Scholar]
- Chen, Y.; Zhang, S.; Xu, S.; Li, G.Y. Fundamental trade-offs on green wireless networks. IEEE Commun. Mag. 2011, 49, 30–37. [Google Scholar] [CrossRef]
- Del-Valle-Soto, C.; Mex-Perera, C.; Orozco-Lugo, A.; Lara, M.; Galván-Tejada, G.M.; Olmedo, O. On the MAC/Network/Energy Performance Evaluation of Wireless Sensor Networks: Contrasting MPH, AODV, DSR and ZTR Routing Protocols. Sensors 2014, 14, 22811–22847. [Google Scholar] [CrossRef] [PubMed]
- Hussain, S.I.; Hasnab, M.O.; Alouini, M.S. Performance analysis of selective cooperation with fixed gain relays in Nakagamim channels. Phys. Commun. 2012, 5, 272–279. [Google Scholar] [CrossRef]
- Xu, G.; Jiang, H.; Liu, C.; Wang, Y. A heuristic evaluation PDS algorithm for energy-efficient delay constrained scheduling over wireless communication. In Proceedings of 2012 IEEE International Conference on Communications (ICC), Ottawa, ON, Canada, 10–15 June 2012; pp. 6013–6017.
- Xiong, N.; Jia, X.; Yang, L.T.; Vasilakos, A.V.; Li, Y.; Pan, Y. A distributed efficient flow control scheme for multirate multicast networks. IEEE Trans. Parallel Distrib. Syst. 2010, 21, 1254–1266. [Google Scholar] [CrossRef]
- Chen, Z.; Zou, H.; Jiang, H.; Zhu, Q.; Soh, Y.C.; Xie, L. Fusion of WiFi, Smartphone Sensors and Landmarks Using the Kalman Filter for Indoor Localization. Sensors 2015, 15, 715–732. [Google Scholar] [CrossRef] [PubMed]
- Vermorel, J.; Mohri, M. Multi-armed bandit algorithms and empirical evaluation. In Proceedings of the 16th European Conference on Machine Learning, Porto, Portugal, 3–7 October 2005; pp. 437–448.
- Zhang, H.; Li, J. Modeling and dynamical topology properties of VANET based on complex networks theory. AIP Adv. 2015, 5. [Google Scholar] [CrossRef]
© 2015 by the authors; licensee MDPI, Basel, Switzerland. This article is an open access article distributed under the terms and conditions of the Creative Commons Attribution license (http://creativecommons.org/licenses/by/4.0/).
Share and Cite
Zhang, J.; Jiang, H.; Huang, Z.; Chen, C.; Jiang, H. Study of Multi-Armed Bandits for Energy Conservation in Cognitive Radio Sensor Networks. Sensors 2015, 15, 9360-9387. https://doi.org/10.3390/s150409360
Zhang J, Jiang H, Huang Z, Chen C, Jiang H. Study of Multi-Armed Bandits for Energy Conservation in Cognitive Radio Sensor Networks. Sensors. 2015; 15(4):9360-9387. https://doi.org/10.3390/s150409360
Chicago/Turabian StyleZhang, Juan, Hong Jiang, Zhenhua Huang, Chunmei Chen, and Hesong Jiang. 2015. "Study of Multi-Armed Bandits for Energy Conservation in Cognitive Radio Sensor Networks" Sensors 15, no. 4: 9360-9387. https://doi.org/10.3390/s150409360
APA StyleZhang, J., Jiang, H., Huang, Z., Chen, C., & Jiang, H. (2015). Study of Multi-Armed Bandits for Energy Conservation in Cognitive Radio Sensor Networks. Sensors, 15(4), 9360-9387. https://doi.org/10.3390/s150409360
 
         
                                                
 
       