Next Article in Journal
Model-Based Angular Scan Error Correction of an Electrothermally-Actuated MEMS Mirror
Previous Article in Journal
Impact of Heterogeneity and Secrecy on theCapacity of Wireless Sensor Networks
 
 
Font Type:
Arial Georgia Verdana
Font Size:
Aa Aa Aa
Line Spacing:
Column Width:
Background:
Article

Multiple Temperature-Sensing Behavior of Green and Red Upconversion Emissions from Stark Sublevels of Er3+

School of Physics and Materials Engineering, Dalian Nationalities University, Dalian 116600, China
*
Author to whom correspondence should be addressed.
Sensors 2015, 15(12), 30981-30990; https://doi.org/10.3390/s151229839
Submission received: 7 September 2015 / Revised: 22 November 2015 / Accepted: 1 December 2015 / Published: 10 December 2015
(This article belongs to the Section Physical Sensors)

Abstract

:
Upconversion luminescence properties from the emissions of Stark sublevels of Er3+ were investigated in Er3+-Yb3+-Mo6+-codoped TiO2 phosphors in this study. According to the energy levels split from Er3+, green and red emissions from the transitions of four coupled energy levels, 2H11/2(I)/2H11/2(II), 4S3/2(I)/4S3/2(II), 4F9/2(I)/4F9/2(II), and 2H11/2(I) + 2H11/2(II)/4S3/2(I) + 4S3/2(II), were observed under 976 nm laser diode excitation. By utilizing the fluorescence intensity ratio (FIR) technique, temperature-dependent upconversion emissions from these four coupled energy levels were analyzed at length. The optical temperature-sensing behaviors of sensing sensitivity, measurement error, and operating temperature for the four coupled energy levels are discussed, all of which are closely related to the energy gap of the coupled energy levels, FIR value, and luminescence intensity. Experimental results suggest that Er3+-Yb3+-Mo6+-codoped TiO2 phosphor with four pairs of energy levels coupled by Stark sublevels provides a new and effective route to realize multiple optical temperature-sensing through a wide range of temperatures in an independent system.

Graphical Abstract

1. Introduction

Optical temperature-sensing devices have been widely researched to promote their application in electrical power stations, oil refineries, coal mines, and fire detection, as they have been shown to overcome the interference of strong electromagnetic noise, hazardous sparks, or corrosive environments inaccessible to traditional temperature-measurement methods such as thermocouple detectors [1,2,3,4,5]. Sensors built based on the fluorescence intensity ratio (FIR) technique have attracted particular attention due to their ability to reduce dependence on measurement conditions and improve accuracy and resolution. FIR functions independent of fluorescence loss or fluctuations in excitation intensity can be applied to fluorescence systems in which two closely spaced energy levels with separations of the order of thermal energy are involved, following a Boltzmann-type population distribution [1,6,7]. Optical temperature sensors using the FIR technique are mainly focused on fluoride and oxides matrixes [8,9,10,11,12,13,14]. The fluoride matrixes possesses higher fluorescence efficiency and lower excitation power; however, the maximum operating temperature is usually low. On the contrary, the oxides matrices can operate at high temperature, although the fluorescence intensity is lower.
Upconversion emissions of rare earth ion-doped materials are typically utilized to realize FIR measurement because of the large amount of coupled energy levels in many rare earth ions and the easily accessible upconversion luminescence with near-infrared radiation from low-cost, commercially available diodes. Xu et al. [8], for example, reported the FIR of Ho3+ using two blue emissions from coupled energy levels of 5G6/5F1 and 5F2,3/3K8 and found that Ho3+-Yb3+-codoped CaWO4 possessed higher absolute sensitivity due to a larger energy gap between the thermally coupled 5G6/5F1 and 5F2,3/3K8 levels of Ho3+ ions. The paired energy levels of 3F2 and 3F3 in Tm3+ ions have also been used to investigate temperature-dependent red upconversion emissions and corresponding FIR properties [9]. The FIR properties of green upconversion emissions ascribed to paired energy levels of 2H11/2 and 4S3/2 in Er3+-doped materials, in particular, have been quite widely studied [10,11,12,13,14].
In addition to the intrinsic thermally coupled energy levels of rare earth ions, the pair energy levels of Stark sublevels can also be thermally coupled and used to investigate FIR versus temperature characteristics [15,16,17,18]. Baxter et al. [17], for example, used the coupled energy levels of 2F5/2(a) and 2F5/2(b) by Stark split of 2F5/2 levels in Yb3+ ions to study FIR properties of Yb3+-doped silica fiber. Feng et al. [18] investigated the FIR properties of Er3+-doped fluoride glass using coupled Stark sublevels of 4S3/2(1) and 4S3/2(2) in Er3+ ions.
In this study, four thermally coupled energy levels of Er3+ ions based on the Stark sublevels were simultaneously observed in Er3+-Yb3+-Mo6+-codoped TiO2 phosphors. FIR properties of the four coupled energy levels from green and red emissions in Er3+-Yb3+-Mo6+-codoped TiO2 phosphors were studied as a function of temperature in the range of 307–673 K. The effects of the energy gap of thermally coupled energy levels, FIR value, and upconversion emission intensity on the sensitivity and accuracy of the optical temperature sensor are discussed in an effort to explore potential developments in optical temperature-sensor technology based on different FIR routes in an independent system.

2. Experimental Section

The sol-gel method was used to prepare Er3+-Yb3+-Mo6+-codoped TiO2 phosphors. The rare earth nitrates Er(NO3)3·5H2O (99.99%) and Yb(NO3)3·5H2O (99.99%) were purchased from Aladdin. Other chemicals including Iso-Propanol (i-PrOH), n-butyl titanate (Ti(OBu)4), acetylacetone (AcAc), and concentrated nitric acid (HNO3) were purchased from Sinopharm Chemical Reagent Co., Ltd. (Shanghai, China). All chemicals are of analytical reagent and were used without any further purification. i-PrOH was first added as a solvent to modified titanium(IV) n-butoxide by facilitating a chelating reaction between Ti(OBu)4 and AcAc under agitation for 1 h at room temperature. Next, a mixture of deionized water, i-PrOH, and HNO3 was slowly added into the solution. The mixed solution was stirred for 6 h to form a clear and stable sol. The molar ratios of Ti(OBu)4, AcAc, H2O, and HNO3 were 3:3:6:1. Finally, Er, Mo, and Yb ions were introduced by adding Er(NO3)3·5H2O, (NH4)6Mo7O24·5H2O, and Yb(NO3)3·5H2O in the molar ratio of 2:2:20:100 for Er:Mo:Yb:Ti. The codoped sols were dried at 373 K for 8 h to remove the solvent. The xerogels were then heated at a rate of 4 K/min and maintained at the sintering temperature of 1073 K for 1 h, then cooled to room temperature in the furnace. The sintered 2 mol % Er3+–20 mol % Yb3+–2 mol % Mo6+-codoped TiO2 phosphors were finally milled into powders for structural analysis and spectral measurement.
The phase structures of Er3+-Yb3+-Mo6+-codoped TiO2 phosphor samples were analyzed by SHIMADZU XRD-6000 X-ray diffractormeter (XRD) with Cu-Kα radiation. A homemade temperature control system, which was composed of a small stove and an intelligent digital-display-type temperature control instrument, was used to adjust sample temperature from 307 to 673 K, at measurement and control accuracy of about ±0.5 K. Temperature-dependent upconversion emissions from each sample were focused onto a Jobin Yvon iHr550 monochromator and detected with a CR131 photomultiplier tube by 976 nm laser diode (LD) excitation. The LD pump current varied from 0 to 2 A, and the spectral resolution of the experimental set-up was 0.1 nm.

3. Results and Discussion

Figure 1 shows XRD patterns of the Er3+-Yb3+-Mo6+-codoped TiO2 phosphor samples. The XRD pattern observed was characteristic of the anatase phase of TiO2 (JCPDS No. 21-1272) and the face-centered cubic phase of Yb2Ti2O7 (JCPDS No. 17-0454) referenced below. There was no diffraction peak of Mo compounds, and the main diffraction peak shifted toward small angles, indicating Mo6+ stochastically located at the interstitial sites of the matrix lattice as a solution element.
Figure 1. XRD pattern of Er3+-Yb3+-Mo6+ codoped TiO2.
Figure 1. XRD pattern of Er3+-Yb3+-Mo6+ codoped TiO2.
Sensors 15 29839 g001
Figure 2 shows the upconversion emission spectra of Er3+-Yb3+-Mo6+-codoped TiO2 under different pump currents. Green and red upconversion emissions were observed in the wavelengths of 500–540 nm, 540–580 nm, and 620–710 nm, corresponding to 2H11/24I15/2, 4S3/24I15/2, and 4F9/24I15/2 transitions of Er3+ ions, respectively. Each transition (2H11/24I15/2, 4S3/24I15/2, and 4F9/24I15/2) was divided into two emission peaks, which indicated 2H11/2, 4S3/2, and 4F9/2 levels of Er3+ split into three coupled Stark sublevels of 2H11/2(I)·(HI) and 2H11/2(II)·(HII), 4S3/2(I)·(SI) and 4S3/2(II)·(SII), and 4F9/2(I)·(FI) and 4F9/2(II)·(FII), respectively, due to the effect of crystal field environment on Er3+ ions. As the LD pump current increased from 0.8 to 2.0 A, the position and number of upconversion emission peaks did not change, whereas the intensity of green and red emissions markedly increased due to the increase in excitation power.
Figure 2. Upconversion emissions spectra of Er3+-Yb3+-Mo6+-codoped TiO2 with different pump currents. Inset shows corresponding upconversion emission intensity ratios versus the pump current.
Figure 2. Upconversion emissions spectra of Er3+-Yb3+-Mo6+-codoped TiO2 with different pump currents. Inset shows corresponding upconversion emission intensity ratios versus the pump current.
Sensors 15 29839 g002
The inset in Figure 2 shows the upconversion emission intensity ratios of HI/HII, SI/SII, FI/FII, and (HI + HII)/(SI + SII) versus the pump current. All intensity ratios of HI/HII, SI/SII, FI/FII and (HI + HII)/(SI + SII) increased alongside the pump current, implying that the nonradiative processes of Er3+ in Er3+-Yb3+-Mo6+-codoped TiO2 phosphor can partially transform pump energy into heat energy, therefore elevating the phosphor temperature. The temperature variation induced by increasing the pump current caused changes in the intensity ratio [19]; this suggests that the temperature-dependent intensity ratio for the four coupled energy levels of HI/HII, SI/SII, FI/FII, and (HI + HII)/(SI + SII) can be utilized for optical temperature sensing.
Figure 3 shows a schematic energy level diagram of the Er3+-Yb3+-Mo6+-codoped TiO2 phosphors under 976 nm LD excitation. The upconversion mechanism of Er3+ after the addition of Mo6+ was reported in a previous study on the sensitization of the Yb3+-MoO42− dimer to Er3+ [20,21,22]. Through a cooperative sensitization process in the Yb3+-MoO42− dimer, two excited Yb3+ ions nonradiatively transfer their energy to MoO42−. This process is followed by a high excited state energy transfer (HESET) to the 4F7/2 level of Er3+ ions. After nonradiative relaxations from 4F7/2 to the Stark sublevels of HI, HII, SI and SII, green upconversion emissions are produced by transitions of HI/HII/SI/SII4I15/2. The nonradiative relaxation from SII to FI and FII levels and subsequent transitions of FI/FII4I15/2 generate red emissions.
Figure 3. Schematic energy level diagram of Er3+-Yb3+-Mo6+-codoped TiO2 phosphors under 976 nm LD excitation. Wavy arrows indicate nonradiative relaxation.
Figure 3. Schematic energy level diagram of Er3+-Yb3+-Mo6+-codoped TiO2 phosphors under 976 nm LD excitation. Wavy arrows indicate nonradiative relaxation.
Sensors 15 29839 g003
In order to distinguish the effects of temperature from the pump current on the intensity ratio (Figure 2), the upconversion emission properties of Er3+-Yb3+-Mo6+-codoped TiO2 were measured under different temperatures. Figure 4 shows the upconversion emissions spectra of Er3+-Yb3+-Mo6+-codoped TiO2 at measured temperatures between 307 and 673 K. Changes in temperature had no influence on the bands of green and red emissions from 2H11/2/4S3/24I15/2 and 4F9/24I15/2 transitions of Er3+ between 500 to 580 nm and 620 to 700 nm, respectively; the intensity varied with temperature, however. The inset in Figure 4 shows the intensity of green and red emissions and the intensity ratio of green to red emissions as a function of temperature. The intensity of red emissions decreased with increasing temperature, in accordance with the classical theory of thermal quenching. Temperature-dependent intensity of the red emissions can be expressed as follows [23]:
I ( T ) = I ( 0 ) 1 + A exp ( Δ E / k T )
where T is the absolute temperature, and I(T) and I(0) are the fluorescence intensities at temperatures of T and 0 K, respectively; ΔE′ is the activation energy, k is the Boltzmann constant, and A is a constant. The temperature-dependent intensity of red emissions fits well to Equation (1), where ΔE(FI+FII) = 0.074 eV.
Conversely, the intensity of green emissions increased with increasing temperature, which does not satisfy the classical theory of thermal quenching, likely due to the increased Yb3+ absorption cross-section at elevated temperatures [22,24]. A general theoretical description of the green upconversion emission can be given by [22]:
I g r e e n = B [ 1 exp ( h ν k T ) ] 2
where B is a constant, and is the phonon energy participating in the multiphonon-assisted excitation. The dependence of green upconversion emissions on temperature fits well to Equation (2). The Igreen/Ired value increased with temperature, causing the color to turn from red to green with elevated temperature.
Figure 4. Upconversion emissions spectra of Er3+-Yb3+-Mo6+-codoped TiO2 at different temperatures. Inset shows the integrated intensity of green and red emissions and the intensity ratio of green to red emissions as a function of temperature. The solid lines for the temperature-dependent intensity of red and green emissions are fitting curves by Equations (1) and (2).
Figure 4. Upconversion emissions spectra of Er3+-Yb3+-Mo6+-codoped TiO2 at different temperatures. Inset shows the integrated intensity of green and red emissions and the intensity ratio of green to red emissions as a function of temperature. The solid lines for the temperature-dependent intensity of red and green emissions are fitting curves by Equations (1) and (2).
Sensors 15 29839 g004
According to previous research [1], the relative population of two “thermally coupled” energy levels with separation of the order of thermal energy follows a Boltzmann-type population distribution, causing variation in the transitions of two closely spaced levels at elevated temperature if pumped through a continuous light source. After populations are thermalized at two closely spaced levels, the FIR of upconversion emissions (R) related to the transitions of both levels can be written as follows:
R = I upper I lower = N upper N lower = C exp ( Δ E k T )
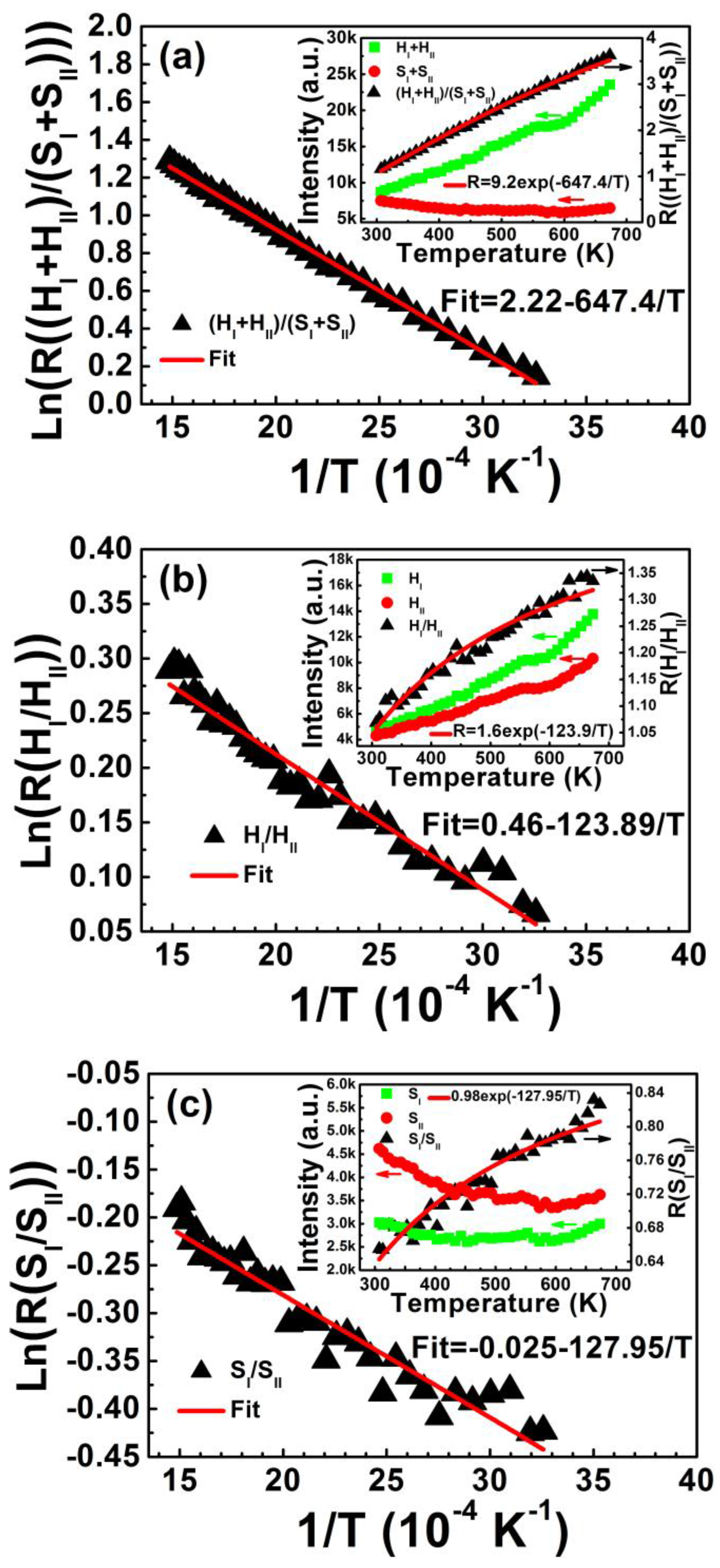
where Iupper, Ilower, Nupper, and Nlower are the fluorescence intensity and number of ions for the upper and lower thermalizing energy levels, respectively; ΔE is the energy gap between two coupled levels, and C is a constant relative to the degeneracy, emission cross-section, and angular frequency of corresponding transitions. Equation (3) suggests that FIR is related to the energy gap ΔE and temperature T. Figure 5 shows FIR plots of (HI + HII)/(SI + SII), HI/HII, SI/SII, and FI/FII as a function of inverse absolute temperature from 307 to 673 K. The inset shows corresponding upconversion emission intensity and the intensity ratio relative to temperature. The experimental data fits well to Equation (3). Energy gaps ΔE of the four coupled energy levels of (HI + HII)/(SI + SII), HI/HII, SI/SII, and FI/FII are calculated in Table 1. The decreased intensity of two red emissions with elevated temperature, shown in the inset of Figure 5d, can also be fitted to Equation (1). The activation energy of FI and FII levels is calculated as ΔEFI = 0.069 eV and ΔEFII = 0.080 eV, which is consistent with the average activation energy of (FI + FII) level (ΔE(FI+FII) = 0.074 eV) shown in Figure 4.
Figure 5. FIR plots of (a) (HI + HII)/(SI + SII); (b) HI/HII; (c) SI/SII; and (d) FI/FII as a function of inverse temperature in the range of 307–673 K. Insets show corresponding upconversion emission intensity and intensity ratio relative to temperature. FIR plots are fitted by Equation (3) and the temperature-dependent intensities of red emissions in (d) are fitted by Equation (1).
Figure 5. FIR plots of (a) (HI + HII)/(SI + SII); (b) HI/HII; (c) SI/SII; and (d) FI/FII as a function of inverse temperature in the range of 307–673 K. Insets show corresponding upconversion emission intensity and intensity ratio relative to temperature. FIR plots are fitted by Equation (3) and the temperature-dependent intensities of red emissions in (d) are fitted by Equation (1).
Sensors 15 29839 g005aSensors 15 29839 g005b
Table 1. Energy gap of coupled energy levels ΔE, pre-exponential factor C, maximum sensitivity Smax, temperature of maximum sensitivity Tmax and upconversion emission intensity for the four coupled energy levels of (HI + HII)/(SI + SII), HI/HII, SI/SII and FI/FII.
Table 1. Energy gap of coupled energy levels ΔE, pre-exponential factor C, maximum sensitivity Smax, temperature of maximum sensitivity Tmax and upconversion emission intensity for the four coupled energy levels of (HI + HII)/(SI + SII), HI/HII, SI/SII and FI/FII.
Coupled Energy Levels(HI + HII)/(SI + SII)HI/HIISI/SIIFI/FII
ΔE (eV)0.05580.01070.01100.0093
C9.21.60.981.61
Smax (104·K1)76.769.741.481.0
Tmax (K)324626454
Upconversion intensityHigherHigherLowHighest
For optical temperature-sensing applications, it is crucial to know the rate at which the FIR changes with temperature, known as the absolute sensitivity Sa, which is expressed as follows [1]:
S a = 1 R d R d T = Δ E k T 2
Equation (4) makes clear that the appropriate selection of two thermally coupled energy levels with a suitable energy difference ΔE is very important. Larger ΔE benefits absolute sensitivity and accurate measurement of emission intensity, due to the decrease of fluorescence peak overlap originating from the two individual thermally coupled energy levels. Knowing this, the absolute sensitivity Sa when using coupled energy levels of (HI + HII)/(SI + SII) (with the largest possible ΔE = 0.0558 eV) is higher than those using the other three coupled levels, as shown in Table 1. The energy gap ΔE must be not too large, though, or thermalization no longer occurs.
Considering practical applications, it is extremely useful to be aware of variations in sensitivity with temperature. Relative sensitivity Sr is expressed [25]:
S r = d R d T = R Δ E k T 2
Compared to absolute sensitivity Sa, relative sensitivity Sr is dependent on not only energy gap ΔE, but also the intensity ratio FIR. Equation (3) indicates that larger FIR causes larger C. Thus, larger ΔE and FIR (or C) contribute to higher Sr. Table 1 also shows pre-exponential factor C values for the four pair energy levels (HI + HII)/(SI + SII), HI/HII, SI/SII, and FI/FII. The coupled energy levels of (HI + HII)/(SI + SII) processed larger relative sensitivity Sr than those of HI/HII, FI/FII, or SI/SII. Sr as a function of temperature for the four coupled energy levels calculated by Equation (5) is shown in Figure 6, in accordance with the above results in the measured temperature range 307–673 K.
Figure 6. Relative sensitivities Sr as a function of temperature for the four coupled energy levels of (HI + HII)/(SI + SII), HI/HII, SI/SII and FI/FII. Closed symbols are the experimental data and the lines are the theoretical values calculated by Equation (5).
Figure 6. Relative sensitivities Sr as a function of temperature for the four coupled energy levels of (HI + HII)/(SI + SII), HI/HII, SI/SII and FI/FII. Closed symbols are the experimental data and the lines are the theoretical values calculated by Equation (5).
Sensors 15 29839 g006
Maximum sensitivity Smax and temperature Tmax, at which the sensor has maximum sensitivity Smax, are of utmost importance because these two parameters indicate the highest sensitivity properties and optimum operating temperature range of optical thermal sensors. According to Equation (5), Smax and Tmax can be calculated by d S r / d T = 0 as follows:
S max = 0.54 C Δ E / k
T max = 1 2 Δ E k
Equation (6) indicates that a larger pre-exponential factor C and smaller energy difference ΔE of coupled energy levels help to increase Smax. Equation (7) shows that Tmax is relative to the energy difference ΔE, in which the sensor with a larger ΔE has a higher Tmax. Smax and Tmax for the four coupled energy levels are shown in Table 1. The highest Tmax was found for (HI + HII)/(SI + SII) coupled energy levels used for thermal sensing, due to a larger ΔE. The relatively larger C and smallest ΔE in FI/FII coupled energy levels used for thermal sensing resulted in the highest sensitivity Smax.
Temperature measurement error can be calculated using the relation [8,26]:
Δ T = Δ R k T 2 R Δ E = Δ R S r
Larger Sr and smaller ΔR imply better accuracy. As shown in Figure 6, larger Sr at a higher temperature for coupled energy levels of (HI + HII)/(SI + SII) led to a better accuracy in the high temperature range. Likewise, better accuracy can be expected in the low temperature range using HI/HII, SI/SII and FI/FII coupled energy levels for thermal sensing.
The separation of two coupled energy levels ΔE should be large enough to avoid overlap of the two fluorescence emissions and to produce efficient luminescence for feasible and accurate intensity measurement. The efficient luminescence of Er3+-doped materials also contributes to the ready detection of luminescence and ΔR accuracy, where only low excitation power is needed. Table 1 shows where (HI + HII)/(SI + SII) coupled energy levels had the highest accuracy of all samples, due to a larger ΔE and the strongest luminescence intensity; conversely, SI/SII coupled energy levels had the lowest accuracy, evidenced by a smaller ΔE and the lowest luminescence intensity, which are altogether consistent with the results shown in Figure 5.

4. Conclusions

The green and red upconversion emissions by transitions of Er3+ Stark sublevels were observed in Er3+-Yb3+-Mo6+-codoped TiO2 phosphors in this study. There are four coupled energy levels of Er3+ ions due to the effect of the crystal field environment on Er3+, each of which was utilized to study temperature-dependent upconversion emission properties. Based on the FIR technique, the optical temperature-sensing behaviors of sensing sensitivity, measurement error, and operating temperature for the four coupled energy levels were discussed in detail, with all closely related to the energy gap of the coupled energy levels, FIR value, and luminescence intensity. High sensitivity and negligible error are obtainable through the use of different coupled energy levels for optical sensing, throughout a wide range of temperature in an independent system. The utilization of coupled energy levels by Stark split is a new and effective method in the realization of multiple optical temperature measurement.

Acknowledgments

This work was supported by the National Natural Science Foundation of China (Grant No 11004021, 11204024, 11274057, and 11474046), Natural Science Foundation of Liaoning Province (Grant No. 2013020089), Program for Liaoning Excellent Talents in University, and Fundamental Research Funds for the Central Universities (Grant No. DC201502080202 and DC201502080406).

Author Contributions

This work was carried out in collaboration between all authors. Baosheng Cao, Jinlei Wu, Xuehan Wang and Zhiqing Feng carried out the experiments and analyzed the data. Baosheng Cao, Yangyang He and Bin Dong interpreted the results and wrote the paper. Baosheng Cao, Jinlei Wu, Xuehan Wang and Zhiqing Feng were involved in the experimental design, data acquisition and revision of the manuscript. All of the authors have read and approved the final version of the manuscript.

Conflicts of Interest

The authors declare no conflict of interest.

References

  1. Wade, S.A.; Collins, S.F.; Baxter, G.W. Fluorescence intensity ratio technique for optical fiber point temperature sensing. J. Appl. Phys. 2003, 94, 4743–4756. [Google Scholar] [CrossRef]
  2. Wolfbeis, O.S. An overview of nanoparticles commonly used in fluorescent bioimaging. Chem. Soc. Rev. 2015, 44, 4743–4768. [Google Scholar] [CrossRef] [PubMed]
  3. Wade, S.A.; Collins, S.F.; Baxter, G.W.; Monnom, G. Effect of strain on temperature measurements using the fluorescence intensity ratio technique (with Nd3+- and Yb3+-doped silica fibers). Rev. Sci. Instrum. 2001, 72, 3180–3185. [Google Scholar] [CrossRef]
  4. Khalid, A.H.; Kontis, K. Thermographic phosphors for high temperature measurements: Principles, current state of the art and recent applications. Sensors 2008, 8, 5673–5744. [Google Scholar] [CrossRef]
  5. Sidiroglou, F.; Wade, S.A.; Dragomir, N.M.; Baxter, G.W.; Collins, S.F. Effects of high-temperature heat treatment on Nd3+-doped optical fibers for use in fluorescence intensity ratio based temperature sensing. Rev. Sci. Instrum. 2003, 74, 3524–3530. [Google Scholar] [CrossRef]
  6. Schartner, E.P.; Monro, T.M. Fibre tip sensors for localised temperature sensing based on rare earth-doped glass coatings. Sensors 2014, 21693–21701. [Google Scholar] [CrossRef] [PubMed]
  7. Hao, S.W.; Chen, G.Y.; Yang, C.H. Sensing using rare-earth-doped upconversion nanoparticles. Theranostics 2013, 3, 331–345. [Google Scholar] [CrossRef] [PubMed]
  8. Xu, W.; Zhao, H.; Li, Y.X.; Zheng, L.J.; Zhang, Z.G.; Cao, W.W. Optical temperature sensing through the upconversion luminescence from Ho3+/Yb3+ cdoped CaWO4. Sens. Actuators B Chem. 2013, 188, 1096–1100. [Google Scholar] [CrossRef]
  9. Cao, B.S.; Wu, J.L.; Feng, Z.Q.; Dong, B. Investigation of near-infrared-to-ultraviolet upconversion luminescence of Tm3+ doped NaYF4 phosphors by Yb3+ codoping. Mater. Chem. Phys. 2013, 142, 333–338. [Google Scholar] [CrossRef]
  10. Dong, B.; Liu, D.P.; Wang, X.J.; Yang, T.; Miao, S.M.; Li, C.R. Optical thermometry through infrared excited green upconversion emissions in Er3+-Yb3+ codoped Al2O3. Appl. Phys. Lett. 2007, 90. [Google Scholar] [CrossRef]
  11. Wang, X.; Kong, X.; Yu, Y.; Sun, Y.; Zhang, H. Effect of annealing on upconversion luminescence of ZnO:Er3+ nanocrystals and high thermal sensitivity. J. Phys. Chem. C 2007, 111, 15119–15124. [Google Scholar] [CrossRef]
  12. Cao, B.S.; He, Y.Y.; Zhang, L.; Dong, B. Upconversion properties of Er3+-Yb3+: NaYF4 phosphors with a wide range of Yb3+ concentration. J. Lumin. 2013, 135, 128–132. [Google Scholar] [CrossRef]
  13. Vetrone, F.; Naccache, R.; Zamarron, A.; de la Fuente, A.J.; Sanz-Rodriguez, F.; Maestro, L.M.; Rodriguez, E.M.; Jaque, D.; Sole, J.G.; Capobianco, J.A. Temperature sensing using fluorescent nanothermometers. ACS Nano 2010, 4, 3254–3258. [Google Scholar] [CrossRef] [PubMed]
  14. Cao, B.S.; He, Y.Y.; Sun, Y.; Song, M.; Dong, B. Optical high temperature sensor based on enhanced green upconversion emissions in Er3+-Yb3+-Li+ codoped TiO2 powders. J. Nanosci. Nanotechnol. 2011, 11, 9899–9903. [Google Scholar] [CrossRef] [PubMed]
  15. Soni, A.K.; Dey, R.; Rai, V.K. Stark sublevels in Tm3+-Yb3+ codoped Na2Y2B2O7 nanophosphor for multifunctional applications. RSC Adv. 2015, 5, 34999–35009. [Google Scholar] [CrossRef]
  16. Rai, V.K.; Rai, S.B. Temperature sensing behaviour of the stark sublevels. Spectrochim. Acta A 2007, 68, 1406–1409. [Google Scholar] [CrossRef] [PubMed]
  17. Baxter, G.W.; Maurice, E.; Monnom, G. Thermal variation of absorption in Yb3+-doped silica fiber for high-temperature sensor applications. Proc. SPIE 1995, 2510, 293–296. [Google Scholar]
  18. Feng, Z.J.; Zhang, X.S.; Zhou, Y.L.; Ling, Z.; Li, M.Z.; Sun, J.; Li, L. Influence of temperature on the transition of Stark sublevels of Er3+ doped ZBLAN glass. Acta Opt. Sin. 2013, 33. [Google Scholar] [CrossRef]
  19. Cao, B.S.; Wu, J.L.; Yu, N.S.; Feng, Z.Q.; Dong, B. Structure and upconversion luminescence properties of Er3+-Mo6+ codoped Yb2Ti2O7 films. Thin Solid Films 2014, 550, 495–498. [Google Scholar] [CrossRef]
  20. Dong, B.; Cao, B.S.; He, Y.Y.; Liu, Z.; Li, Z.P.; Feng, Z.Q. Temperature Sensing and in Vivo Imaging by Molybdenum Sensitized Visible Upconversion Luminescence of Rare-Earth Oxides. Adv. Mater. 2012, 24, 1987–1993. [Google Scholar] [CrossRef] [PubMed]
  21. Cao, B.S.; He, Y.Y.; Feng, Z.Q.; Dong, B. Optical temperature sensing behavior of enhanced green upconversion emissions from Er-Mo:Yb2Ti2O7 nanophosphor. Sens. Actuators B Chem. 2011, 159, 8–11. [Google Scholar] [CrossRef]
  22. Cao, B.S.; Wu, J.L.; Wang, X.H.; He, Y.Y.; Feng, Z.Q.; Dong, B.; Rino, L. Multiple temperature effects on up-conversion fluorescences of Er3+-Yb3+-Mo6+ codoped TiO2 and high thermal sensitivity. AIP Adv. 2015, 5. [Google Scholar] [CrossRef]
  23. Chen, Y.H.; Liu, B.; Shi, C.S.; Ren, G.H.; Zimmerer, G. The temperature effect of Lu2SiO5: Ce3+ luminescence. Nucl. Instrum. Methods. A 2005, 537, 31–35. [Google Scholar] [CrossRef]
  24. Zhou, S.Q.; Li, C.R.; Liu, Z.F.; Li, S.F.; Song, C.L. Thermal effect on up-conversion in Er3+/Yb3+ co-doped silicate glass. Opt. Mater. 2007, 30, 513–516. [Google Scholar] [CrossRef]
  25. Singh, S.K.; Kumar, K.; Rai, S.B. Er3+/Yb3+ codoped Gd2O3 nano-phosphor for optical thermometry. Sens. Actuators A Phys. 2009, 149, 16–20. [Google Scholar] [CrossRef]
  26. Tripathi, G.; Rai, V.K.; Rai, S.B. Upconversion and temperature sensing behavior of Er3+ doped Bi2O3-Li2O-BaO-PbO tertiary glass. Opt. Mater. 2007, 30, 201–206. [Google Scholar] [CrossRef]

Share and Cite

MDPI and ACS Style

Cao, B.; Wu, J.; Wang, X.; He, Y.; Feng, Z.; Dong, B. Multiple Temperature-Sensing Behavior of Green and Red Upconversion Emissions from Stark Sublevels of Er3+. Sensors 2015, 15, 30981-30990. https://doi.org/10.3390/s151229839

AMA Style

Cao B, Wu J, Wang X, He Y, Feng Z, Dong B. Multiple Temperature-Sensing Behavior of Green and Red Upconversion Emissions from Stark Sublevels of Er3+. Sensors. 2015; 15(12):30981-30990. https://doi.org/10.3390/s151229839

Chicago/Turabian Style

Cao, Baosheng, Jinlei Wu, Xuehan Wang, Yangyang He, Zhiqing Feng, and Bin Dong. 2015. "Multiple Temperature-Sensing Behavior of Green and Red Upconversion Emissions from Stark Sublevels of Er3+" Sensors 15, no. 12: 30981-30990. https://doi.org/10.3390/s151229839

APA Style

Cao, B., Wu, J., Wang, X., He, Y., Feng, Z., & Dong, B. (2015). Multiple Temperature-Sensing Behavior of Green and Red Upconversion Emissions from Stark Sublevels of Er3+. Sensors, 15(12), 30981-30990. https://doi.org/10.3390/s151229839

Article Metrics

Back to TopTop