A Novel Energy-Aware Distributed Clustering Algorithm for Heterogeneous Wireless Sensor Networks in the Mobile Environment
Abstract
:1. Introduction
2. Related Works
3. Optimal Energy Consumption Model in HWSNs
3.1. System Model
3.1.1. Definition 1
3.1.2. Definition 2
3.1.3. Definition 3
3.2. Average Energy Consumption
3.3. Coverage Cost Metric
4. Optimization of Cluster Head Selection
4.1. Competition Probability of CHs
4.2. Heterogeneous Node Optimization
4.3. Node Sleep Scheduling Algorithm
- (1)
- if , the timer is as a node sleep standard.
- (2)
- if , node ID is as priority dormancy mechanism.
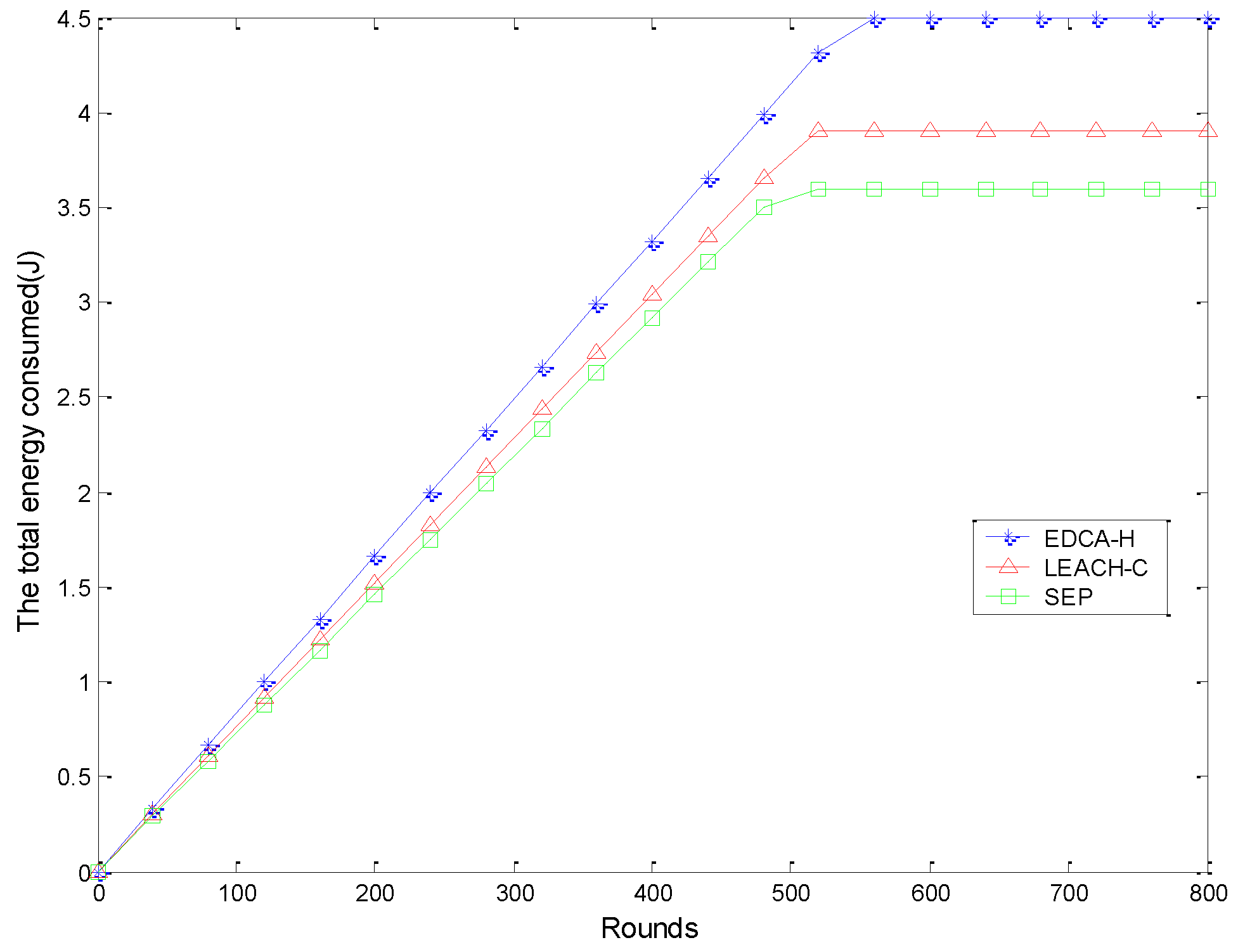
5. Simulation and Results Analysis








6. Conclusions
Acknowledgments
Author Contributions
Conflicts of Interest
References
- Rani, S.; Talwar, R.; Malhotra, J.; Ahmed, S.H.; Sarkar, M.; Song, H. A Novel Scheme for an Energy Efficient Internet of Things Based on Wireless Sensor Networks. Sensors 2015, 15, 28603–28626. [Google Scholar] [CrossRef] [PubMed]
- Ge, X.; Huang, X.; Wang, Y.; Chen, M.; Li, Q.; Han, T.; Wang, C.-X. Energy-Efficiency Optimization for MIMO-OFDM Mobile Multimedia Communication Systems with QoS Constrains. IEEE Trans. Veh. Technol. 2014, 63, 2127–2138. [Google Scholar] [CrossRef]
- Alanazi, A.; Elleithy, K. Real-Time QoS Routing Protocols in Wireless Multimedia Sensor Networks: Study and Analysis. Sensors 2015, 15, 22209–22233. [Google Scholar] [CrossRef] [PubMed]
- Xu, J.; Yang, G.; Chen, Z.-Y.; Chen, L.; Yang, Z. Performance analysis of Data Aggregation Algorithms in Wireless Sensor Networks. In Proceedings of the International Conference on Electrical and Control Engineering, Yichang, China, 16–18 September 2011.
- Jarry, A.; Leone, P.; Nikoletseas, S.; Rolim, J. Optimal Data Gathering Paths and Energy-balance Mechanisms in Wireless Networks. Ad Hoc Netw. 2011, 9, 1036–1048. [Google Scholar] [CrossRef]
- Li, J.; Mohapatra, P. Analytical Modeling and Mitigation Techniques for the Energy Hole Problem in Sensor Networks. Pervasive Mob. Comput. 2007, 3, 233–254. [Google Scholar] [CrossRef]
- Koucheryavy, A.; Salim, A. Cluster-based Perimeter-coverage Technique for Heterogeneous Wireless Sensor Networks. In Proceedings of the 2009 International Conference on Ultra Modern Telecommunications and Workshops, St.Petersburg, Russia, 12–14 October 2009; pp. 1–7.
- Abusaimeh, H.; Yang, S.H. Dynamic Cluster Head for Lifetime Efficiency in WSN. Int. J. Autom. Comput. 2009, 6, 48–54. [Google Scholar] [CrossRef]
- Heinzelman, W.; Chandrakasan, A.; Balakrishnan, H. Energy-efficient Communication Protocol for Wireless Microsensor Networks. In Proceedings of the 33rd Hawaii International Conference on System Sciences, Maui, Hawaii, USA, 4–7 January 2000.
- Heinzelman, W.R.; Chandrakasan, A.P.; Balakrishnan, H. Application-specific Protocol Architecture for Wireless Microsensor Networks. IEEE Trans. Wirel. Commun. 2002, 1, 660–670. [Google Scholar] [CrossRef]
- Tuah, N.; Ismail, M.; Jumari, K. Energy-efficient Improvement for Heterogeneous Wireless Sensor Networks. Inf. Technol. J. 2012, 11, 1687–1695. [Google Scholar] [CrossRef]
- Xiang, X.; Lin, C.; Chen, X. Energy-Efficient Link Selection and Transmission Scheduling in Mobile Cloud Computing. IEEE Wirel. Commun. Lett. 2014, 3, 153–156. [Google Scholar] [CrossRef]
- Qiang, Y.; Pei, B.; Wei, W.; Li, Y. An Efficient Cluster Head Selection Approach for Collaborative Data Processing in Wireless Sensor Networks. Int. J. Distrib. Sens. Netw. 2015, 2015, 1–9. [Google Scholar] [CrossRef]
- Dumbrava, A.; Kacimi, R.; Dhaou, R.; Beylot, A.-L. Proportion Based Protocols for Load Balancing and Lifetime Maximization in Wireless Sensor Networks. In Proceedings of the Ad Hoc Networking Workshop of the 9th IFIP Annual Mediterranean, Juan Les Pins, France, 23–25 June 2010; pp. 1–8.
- Smaragdakis, G.; Matta, I.; Bestavros, A. SEP: A Stable Election Protocol for Clustered Heterogeneous Wireless Sensor Networks. In Proceedings of the Second International Workshop on Sensor and Actor Network Protocols and Applications, Boston, MA, USA, 22–24 August 2004.
- Lee, H.Y.; Seah, K.G.; Sun, P. Energy Implications of Clustering in Heterogeneous Wireless Sensor Networks-an Analytical View. In Proceedings of the 17th Annual IEEE International Symposium on Personal, Indoor and Mobile Radio Communications, Helsinki, Finland, 11–14 September 2006.
- Zhu, Q.; Wang, M.; Qing, L. Design of a Distributed Energy-efficient Clustering Algorithm for Heterogeneous Wireless Sensor Networks. Comput. Commun. 2006, 12, 2230–2237. [Google Scholar]
- Yarvis, M.; Kushalnagar, N.; Singh, H. Exploiting Heterogeneity in Sensor Networks. In Proceedings IEEE the 24th Annual Joint Conference of the IEEE Computer and Communications Societies (INFOCOM 2005), Miami, FL, USA, 13–17 March 2005.
- Kumar, D.; Aseri, T.C.; Patel, R.B. EEHC: Energy Efficient Heterogeneous Clustered Scheme for Wireless Sensor Networks. Comput. Commun. 2009, 32, 662–667. [Google Scholar] [CrossRef]
- Peng, J.; Liu, T.; Li, H.; Guo, B. Energy-Efficient Prediction Clustering Algorithm for Multilevel Heterogeneous Wireless Sensor Networks. Int. J. Distrib. Sens. Netw. 2013, 2013, 1–8. [Google Scholar] [CrossRef]
- Zhou, H.; Wu, Y.; Hu, Y.; Xie, G. A Novel Stable Selection and Reliable Transmission Protocol for Clustered Heterogeneous Wireless Sensor Networks. Comput. Commun. 2010, 33, 1843–1849. [Google Scholar] [CrossRef]
- Attea, B.A.; Khalil, E.A. A New Evolutionary Based Routing Protocol for Clustered Heterogeneous Wireless Sensor Networks. Appl. Soft Comput. J. 2012, 12, 1950–1957. [Google Scholar] [CrossRef]
- Handy, M.J.; Haase, M.; Timmermann, D. Low Energy Adaptive Clustering Hierarchy with Deterministic Cluster-head Selection. In Proceedings of the 4th International Workshop on Mobile and Wireless Communications Network, Stockholm, Sweden, 9–10 September 2002; pp. 368–372.
- Shu, W.; Wang, W.; Wang, Y. A Novel Energy-efficient Resource Allocation Algorithm Based on Immune Clonal Optimization for Green Cloud Computing. EURASIP J. Wirel. Commun. Netw. 2014, 64, 1–9. [Google Scholar] [CrossRef]
- Liu, J.; Sun, Q.; Li, S. Topology Control Algorithm Based on Directional Antenna in Wireless Ad Hoc Networks. J. Northeast. Univ. (Nat.Sci.) 2012, 33, 1257–1260. [Google Scholar]
- Halke, R.; Kulkarni, V.A. En-LEACH Routing Protocol for Wireless Sensor Network. Int. J. Eng. Res. Appl. 2012, 2, 2099–2102. [Google Scholar]
- Perillo, M.; Heinzelman, W. DAPR: A Protocol for Wireless Sensor Networks Utilizing an Application-based Routing Cost. In Proceedings of the IEEE Wireless Communications and Networking Conference, New York, NY, USA, 21–25 March 2004; pp. 1540–1545.
- Nghiem, T.P.; Kim, J.H.; Lee, S.H. A Coverage and Energy Aware Cluster-head Selection Algorithm in Wireless Sensor Networks. Lect. Notes Comput. Sci. 2009, 5754, 696–705. [Google Scholar]
- Wei, W.; Qi, Y. Information Potential Fields Navigation in Wireless Ad-Hoc Sensor Networks. Sensors 2011, 11, 4794–4807. [Google Scholar] [CrossRef] [PubMed]
© 2015 by the authors; licensee MDPI, Basel, Switzerland. This article is an open access article distributed under the terms and conditions of the Creative Commons by Attribution (CC-BY) license (http://creativecommons.org/licenses/by/4.0/).
Share and Cite
Gao, Y.; Wkram, C.H.; Duan, J.; Chou, J. A Novel Energy-Aware Distributed Clustering Algorithm for Heterogeneous Wireless Sensor Networks in the Mobile Environment. Sensors 2015, 15, 31108-31124. https://doi.org/10.3390/s151229836
Gao Y, Wkram CH, Duan J, Chou J. A Novel Energy-Aware Distributed Clustering Algorithm for Heterogeneous Wireless Sensor Networks in the Mobile Environment. Sensors. 2015; 15(12):31108-31124. https://doi.org/10.3390/s151229836
Chicago/Turabian StyleGao, Ying, Chris Hadri Wkram, Jiajie Duan, and Jarong Chou. 2015. "A Novel Energy-Aware Distributed Clustering Algorithm for Heterogeneous Wireless Sensor Networks in the Mobile Environment" Sensors 15, no. 12: 31108-31124. https://doi.org/10.3390/s151229836
APA StyleGao, Y., Wkram, C. H., Duan, J., & Chou, J. (2015). A Novel Energy-Aware Distributed Clustering Algorithm for Heterogeneous Wireless Sensor Networks in the Mobile Environment. Sensors, 15(12), 31108-31124. https://doi.org/10.3390/s151229836
