Optimization of Surface Acoustic Wave-Based Rate Sensors
Abstract
:1. Introduction

2. Theoretical Determination of Design Parameters
2.1. Theoretical Model

2.2. Numerical Results and Discussion

| Materials | Euler Angle | Stiffness Coefficients (1010 N/m2) | Piezoelectric Modules (C/m2) | Permittivity Constants (10−12 F/m) | Density (kg/m3) |
|---|---|---|---|---|---|
| YZ LiNbO3 | (0°, 90°, 90°) | C11: 23.3 C33: 27.5 C44: 9.4 C12: 4.7 C13: 8.0 C14: −1.1 | e15: 2.58 e22: 1.59 e31: −0.24 e33: 1.44 | ε11: 51 × ε0 ε33: 43 × ε0 ε0: 8.854 | 7450 |
| 128°YX LiNbO3 | (0°, 37.86°, 0°) | ||||
| ST-X quartz | (0°, 132.75°, 0°) | C11:8.674 C12: 0.699 C13:1.191 C14: −1.791 C33:10.72 C44: 5.794 | ex1: 30.171 ex4: −0.0436 ez6: 0.14 | ε11: 4.5 × ε0 ε33: 4.6 × ε0 ε0: 8.854 | 2651 |
| X-112°Y LiTaO3 | (90°, 90°, 112.2°) | C11: 23.28 C12: 4.65 C13: 8.36 C14: −1.05 C33: 27.59 C44: 9.49 | ex5: 2.64 ey2: 1.86 ez1: −0.22 ez3: 1.71 | ε11:40.9 × ε0 ε33:42.5 × ε0 ε0: 8.854 | 7454 |
| Cu | C11: 17.69 C33: 7.96 | 8900 | |||
| Au | C11:18.6 C12: 15.7 C44: 4.2 | 19,300 |

3. Sensor Experiments
3.1. Physical Structure of the SAW Rate Sensor
| Items | Design Parameters |
|---|---|
| Piezoelectric substrates | X-112°Y LiTaO3, 128°YX LiNbO3 |
| Operation frequency | 95 MHz, 80 MHz, 30 MHz |
| Metallic dot materials | Cu, Au |
| Metallic dot thickness | 300 nm, 600 nm, 900 nm |
| Metallic dot size | 1/4λ × 1/4λ |


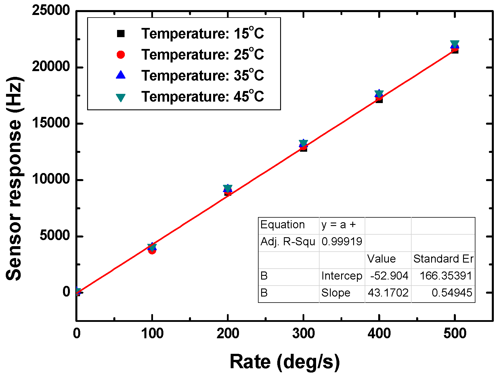
3.2. Sensor Experiments and Discussions





4. Conclusions
Acknowledgments
Author Contributions
Conflicts of Interest
References
- Lukyanov, D.P.; Filatov, Y.V.; Shevchenko, S.Y.; Shevelko, M.M.; Peregudov, A.N.; Kukaev, A.S.; Safronov, D.V. State of the art and prospects for the development of SAW-based soli-state gyros. Gyroscopy Navig. 2011, 4, 214–221. [Google Scholar] [CrossRef]
- Kurosaws, M.; Fukula, Y.; Takasaki, M.; Higuchi, T. A surface-acoustic-wave gyro sensor. Sens. Actuators A Phys. 1998, 66, 33–39. [Google Scholar] [CrossRef]
- Biryukov, S.V.; Chmidt, H.; Weihnacht, M. Gyroscopic Effect for SAW in Common Piezoelectric Crystals. In Proceedings of the 2009 IEEE International Ultrasonics Symposium (IUS), Rome, Italy, 20–23 September 2009; pp. 2133–2136.
- Lee, S.W.; Rhim, J.W.; Park, S.W.; Yang, S.S. A micro rate gyroscope based on the SAW gyroscopic effect. J. Micromech. Microeng. 2007, 17, 2272–2279. [Google Scholar] [CrossRef]
- Lee, S.W.; Rhim, J.W.; Park, S.W.; Yang, S.K. A Novel Micro Rate Sensor using a Surface-Acoustic-Wave (SAW) Delay-Line Oscillator. In Proceedings of the 2007 IEEE on Sensors, Atlanta, GA, USA, 28–31 October 2007; pp. 1156–1159.
- Wang, W.; Liu, J.L.; Xie, X.; Liu, M.H.; He, S.T. Development of a new surface acoustic wave based gyroscope on a X-112°Y LiTaO3 substrate. Sensors 2011, 11, 10894–10906. [Google Scholar] [CrossRef] [PubMed]
- Yan, Q.; Wei, Y.; Shen, M.; Zhu, J.; Li, Y. Theoretical and Experimental Study of Surface Acoustic Wave Gyroscopic Effect. In Proceedings of the International Conference on Mechatronics and Automation, Harbin, China, 5–8 August 2007; pp. 3812–3816.
- Wang, W.; Xu, F.Q.; Li, S.Z.; He, S.T.; Li, S.Z.; Lee, K. A new micro-rate sensor based on shear horizontal SAW gyroscopic effect. Jpn. J. Appl. Phys. 2010, 49. [Google Scholar] [CrossRef]
- Oh, H.; Lee, K.; Yang, S.S.; Wang, W. Enhanced sensitivity of a surface acoustic wave gyroscope using a progressive wave. J. Micromech. Microeng. 2011, 21. [Google Scholar] [CrossRef]
- Wang, W.; Shao, X.T.; Liu, X.L.; Liu, J.L.; He, S.T. Enhanced Sensitivity of Surface Acoustic Wave-Based Rate Sensors Incorporating Metallic Dot Arrays. Sensors 2014, 14, 3908–3920. [Google Scholar] [CrossRef] [PubMed]
- Wang, W.; Shao, X.T.; Liu, J.L.; He, S.T. Theoretical analysis on SAW gyroscopic effect combining with metallic dot array. In Proceedings of the 2012 IEEE International Ultrasonics Symposium (IUS), Dresden, Germany, 7–10 October 2012; pp. 2412–2415.
- Wang, W.; Li, S.Z.; Liu, M.H. Theoretical Analysis on Gyroscopic Effect in Surface Acoustic Waves. In Proceedings of the 2011 16th International Conference on Solid-State Sensors, Actuators and Microsystems, Beijing, China, 5–9 June 2011; pp. 1042–1045.
- Auld, B. Acoustic Fields and Waves in Solids; Wiley: New York, NY, USA, 1973; Volume 1. [Google Scholar]
- Polatoglou, H.M.; Bleris, G.L. Comparison of the constrained and unconstrained Monte-Carlo method: The case of Cu3Au. Solid State Commun. 1994, 90, 425–430. [Google Scholar] [CrossRef]
- Wang, W.; He, S.T.; Li, S.Z.; Liu, M.H.; Pan, Y. Enhanced Sensitivity of SAW Gas Sensor Coated Molecularly Imprinted Polymer Incorporating High Frequency Stability Oscillator. Sens. Actuators B Chem. 2007, 125, 422–427. [Google Scholar]
- Wang, W.; He, S.T.; Li, S.Z.; Liu, M.H.; Pan, Y. Advances in SXFA-Coated SAW Chemical Sensors for Organophosphorous Compound Detection. Sensors 2011, 11, 1526–1541. [Google Scholar] [CrossRef] [PubMed]
© 2015 by the authors; licensee MDPI, Basel, Switzerland. This article is an open access article distributed under the terms and conditions of the Creative Commons Attribution license (http://creativecommons.org/licenses/by/4.0/).
Share and Cite
Xu, F.; Wang, W.; Shao, X.; Liu, X.; Liang, Y. Optimization of Surface Acoustic Wave-Based Rate Sensors. Sensors 2015, 15, 25761-25773. https://doi.org/10.3390/s151025761
Xu F, Wang W, Shao X, Liu X, Liang Y. Optimization of Surface Acoustic Wave-Based Rate Sensors. Sensors. 2015; 15(10):25761-25773. https://doi.org/10.3390/s151025761
Chicago/Turabian StyleXu, Fangqian, Wen Wang, Xiuting Shao, Xinlu Liu, and Yong Liang. 2015. "Optimization of Surface Acoustic Wave-Based Rate Sensors" Sensors 15, no. 10: 25761-25773. https://doi.org/10.3390/s151025761
APA StyleXu, F., Wang, W., Shao, X., Liu, X., & Liang, Y. (2015). Optimization of Surface Acoustic Wave-Based Rate Sensors. Sensors, 15(10), 25761-25773. https://doi.org/10.3390/s151025761
