A High-Sensitivity Hydraulic Load Cell for Small Kitchen Appliances
Abstract
:1. Introduction
2. Finite Element Method (FEM) Modelling and Simulation
2.1. Preliminary considerations
- C = required load-cell capacity (kg)
- WT = tare weight (dead load) (kg)
- WN = net weight of projected vessel content (live load) (kg)
- N = number of load cells
- K = dynamic factor (in our case K=1.25)
2.2. FEM simulations of the hydraulic load cell
3. Prototypes of the Hydraulic Load Cell
3.1. Implementation of the prototypes
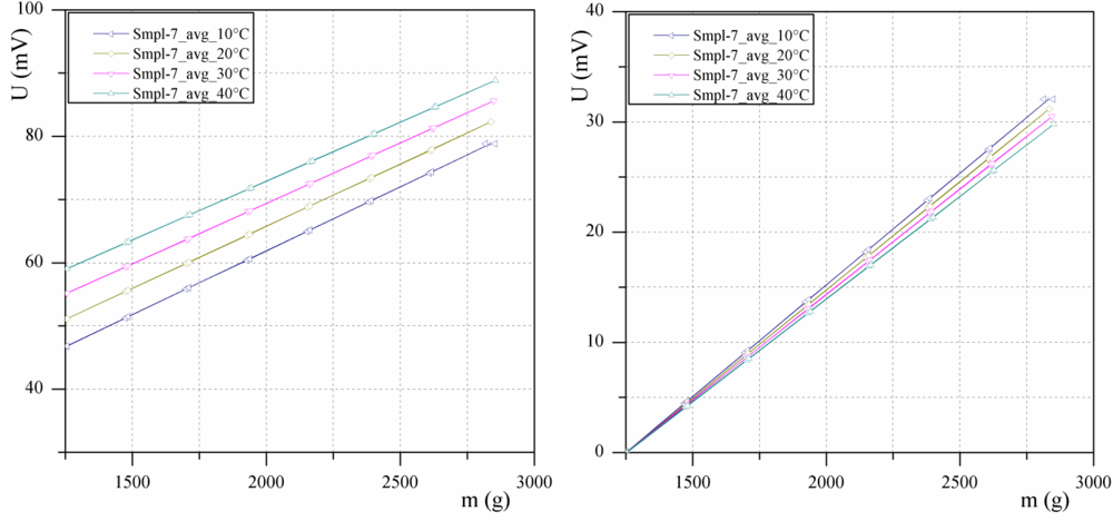
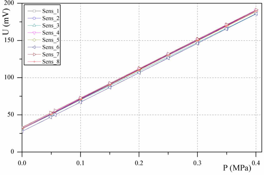
3.2. Characterization of the prototypes
4. Results and Discussion
5. Conclusions
Acknowledgments
References and Notes
- Fraden, J. Handbook of Modern Sensors: Physics, Designs, and Applications, 3rd ed; Springer: New York, NY, USA, 2004; pp. 323–326. [Google Scholar]
- Shieh, J; Huber, JE; Fleck, NA; Ashby, MF. The selection of sensors. Prog. Mater. Sci 2001, 46, 461–504. [Google Scholar]
- Lipták, BG. Instrument Engineers’ Handbook Volume 1, Process Measurement and Analysis, 4th ed; CRC Press: Boca Raton, FL, USA, 2003; pp. 1101–1117. [Google Scholar]
- Transactions in Measurements and Control–––Force-Related Measurements; OMEGA Press: Artarmon, Australia, 1998; Available online: http://www.omega.com/literature/transactions/Transactions_Vol_III.pdf (accessed on 12 May 2010).
- Zwijze, RAF; Wiegerink, RJ; Krijnen, GJM; Lammerink, TSJ; Elwenspoek, M. Low creep and hysteresis load cell based on a force-to-fluid pressure transformation. Sens. Actuator. A 1999, 78, 74–80. [Google Scholar]
- International Organisation of Legal Metrology. OIML R60: Metrological Regulation for Load Cells, OIML, 2000. Available online: http://www.oiml.org/publications/R/R060-e00.pdf (accessed on 15 March 2010).
- Hoffmann, K. An Introduction to Measurements Using Strain Gages; Hottinger Baldwin Messtechnik: Darmstadt, Germany, 1989. [Google Scholar]
- Moaveni, S. Finite Element Analysis: Theory and Application with ANSYS, 3rd ed; Pearson Prentice Hall: Upper Saddle River, NJ, USA, 2008. [Google Scholar]
- Measurements specialties. Available online: http://www.meas-spec.com/product/t_product.aspx?id=6769# (accessed on 15 March 2010).
- Makabe, M; Kohashi, T. Practical creep and hysteresis error compensation method for load cell. Proceedings of the SICE Annual Conference, Sapporo, Japan, 4–6 August 2004.
- Hernandez, W. Improving the response of a load cell by using optimal filtering. Sensors 2006, 6, 697–711. [Google Scholar]
- Stratton, TG. Low TCE Fill Fluid for Barrier Diaphragm Pressure Sensor. US Patent Appl, 2004187586, 26 April 2005.
- Measurements specialties. Available online: http://www.meas-spec.com/product/t_product.aspx?id=6751 (accessed on 20 May 2010).











| Material | E (GPa) | γ | α (×10−6 /K) | K (GPa) | β (×10−4 /K) |
|---|---|---|---|---|---|
| CuSn12 | 105 | 0.3 | 18 | / | / |
| CuSn8 | 110 | 0.34 | 18.2 | / | / |
| Steel | 200 | 0.3 | 10.4 | / | / |
| Silicon | 165 | 0.22 | 3.5 | / | / |
| Silicone fluid | / | / | / | 1 | 9.4 |
| F (N) | T (°C) | Stress (MPa) | Strain (mm/mm) | Deformation (mm) |
|---|---|---|---|---|
| 5 | 10 | 30.4 | 2.76E−04 | −6.41E−02 |
| 20 | 10 | 53.0 | 4.82E−04 | −7.01E−02 |
| 35 | 10 | 75.6 | 6.88E−04 | −7.61E−02 |
| 50 | 10 | 98.7 | 8.97E−04 | −7.32E−02 |
| 5 | 20 | 11.3 | 1.02E−04 | −1.22E−02 |
| 20 | 20 | 34.3 | 2.77E−04 | −1.89E−02 |
| 35 | 20 | 57.4 | 5.21E−04 | −2.56E−02 |
| 50 | 20 | 80.5 | 7.32E−04 | −3.25E−02 |
| 5 | 30 | 25.5 | 2.31E−04 | 3.95E−02 |
| 20 | 30 | 45.1 | 4.10E−04 | 3.39E−02 |
| 35 | 30 | 65.8 | 5.89E−04 | 2.83E−02 |
| 50 | 30 | 84.5 | 7.68E−04 | 2.35E−02 |
| 5 | 40 | 49.2 | 4.48E−04 | 9.15E−02 |
| 20 | 40 | 68.9 | 6.26E−04 | 8.58E−02 |
| 35 | 40 | 88.7 | 8.06E−04 | 8.06E−02 |
| 50 | 40 | 108.0 | 9.83E−04 | 7.46E−02 |
| Parameter | Min | Typ | Max |
|---|---|---|---|
| Operating pressure (MPa) | 0 | 0.4 | |
| Operating temperature range (°C) | −40 | 125 | |
| Bridge resistance (kΩ) | 3.0 | 3.4 | 3.8 |
| Full-scale span (FS) (mV) | 120 | 150 | 180 |
| Zero pressure offset (mV) | −40 | 0 | 40 |
| Linearity (% FS) | ±0.05 | ±0.15 | |
| Hysteresis (% FS) | ±0.05 | ±0.15 | |
| Temperature coefficient of offset (μV/°C) | −80 | +80 |
| Strain-gauge based load cell | Thick-film strain-gauge load cell | Silicon based load cell | Hydraulic load cell | |
|---|---|---|---|---|
| Device | K-DFTA 5KGVOR3-1 | Laboratory sample | FSS 1550 | Prototype |
| Max. capacity (Emax) (kg) | 5 | 5 | 1,5 | 5 |
| Size (L×W×H) (mm) | 60 × 10 × 6 | 80 × 13 × 12 | 10 × 6 × 4 | Φ21 × 10 |
| Input/output resistance (Ω) | 350 | 1300 | 5,000 | 3500 |
| Non-linearity error (% of FS) | ±0.05 | ±0.2 | ±1.5 | ±0.3 |
| Hysteresis error (% of FS) | ±0.05 | ±0.2 | / | ±0.2 |
| FS Sensitivity (mV/V) | 1 | 1.4 | 36 | 10 |
| Offset (mV/V) | ±1 | ±4 | ±15 | ±60 |
| Price | mid | low | high | low |
© 2010 by the authors; licensee MDPI, Basel, Switzerland. This article is an open access article distributed under the terms and conditions of the Creative Commons Attribution license (http://creativecommons.org/licenses/by/3.0/).
Share and Cite
Pačnik, R.; Novak, F. A High-Sensitivity Hydraulic Load Cell for Small Kitchen Appliances. Sensors 2010, 10, 8452-8465. https://doi.org/10.3390/s100908452
Pačnik R, Novak F. A High-Sensitivity Hydraulic Load Cell for Small Kitchen Appliances. Sensors. 2010; 10(9):8452-8465. https://doi.org/10.3390/s100908452
Chicago/Turabian StylePačnik, Roman, and Franc Novak. 2010. "A High-Sensitivity Hydraulic Load Cell for Small Kitchen Appliances" Sensors 10, no. 9: 8452-8465. https://doi.org/10.3390/s100908452
APA StylePačnik, R., & Novak, F. (2010). A High-Sensitivity Hydraulic Load Cell for Small Kitchen Appliances. Sensors, 10(9), 8452-8465. https://doi.org/10.3390/s100908452
