Carbon Nanostructure-Based Field-Effect Transistors for Label-Free Chemical/Biological Sensors
Abstract
:1. Introduction
2. Carbon Nanotube Chemical/Biological Sensors
2.1. Carbon Nanotubes and Carbon Nanotube Field-Effect Transistors
2.2. Chemical CNT-FET Sensors
2.3. SWNT-FET Biosensors
2.3.1. SWNT-FET Based DNA Sensors
2.3.2. SWNT-FET Based Protein Sensors
2.3.2.1. Interaction of SWNTs with Proteins
2.3.2.2. SWNT-FET Protein Biosensors
2.3.3. Sensing Mechanism of SWNT-FET Biosensors
3. Graphene-Based Chemical/Biological Sensors
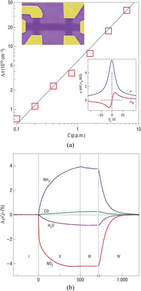
3.1. Graphene-Based Chemical Sensors
3.2. Graphene-Based Biosensors
4. Comparison to other State-of Art Analytic Techniques: Advantages and Graphene/CNT Sensor Challenges
5. Conclusions
References
- Janata, J. Chemical sensors. Anal. Chem 1992, 64, 196R–219R. [Google Scholar]
- Janata, J.; Josowicz, J.M.; Devaney, D.M. Chemical sensors. Anal. Chem 1994, 66, 207R–228R. [Google Scholar]
- Kolmakov, A.; Moskovits, M. Chemical sensing and catalysis by one-dimensional metal-oxide nanostructures. Annu. Rev. Mater. Res 2004, 34, 151–180. [Google Scholar]
- Iijima, S. Helical microtubules of graphitic carbon. Nature 1991, 354, 56–58. [Google Scholar]
- Saito, R.; Fujita, M.; Dresselhaus, G.; Dresselhaus, M.S. Electronic structure of chiral graphene tubules. Appl. Phys. Lett 1992, 60, 2204–2206. [Google Scholar]
- Dresselhaus, M.S.; Dresselhaus, G.; Eklund, P.C. Science of Fullerenes and Nanotubes; Academic Press: San Diego, CA, USA, 1996. [Google Scholar]
- Wei, B.Q.; Vajtai, R.; Ajayan, P.M. Reliability and current carrying capacity of carbon nanotubes. Appl. Phys. Lett 2001, 79, 1172–1174. [Google Scholar]
- Tans, S.J.; Verschueren, A.R.M.; Dekker, C. Room-temperature transistor based on a single carbon nanotube. Nature 1998, 393, 49–52. [Google Scholar]
- Martel, R.; Schmidt, T.; Shea, H.R.; Hertel, T.; Avouris, P. Single- and multi-wall carbon nanotube field-effect transistors. Appl. Phys. Lett 1998, 73, 2447–2449. [Google Scholar]
- Chen, Z.; Appenzeller, J.; Knoch, J.; Lin, Y.M.; Avouris, P. The role of metal-nanotube contact in the performance of carbon nanotube field-effect transistors. Nano Lett 2005, 5, 1497–1502. [Google Scholar]
- Kong, J.; Franklin, N.R.; Zhou, C.; Chapline, M.G.; Peng, S.; Cho, K.; Dai, H. Nanotube molecular wires as chemical sensors. Science 2000, 287, 622–625. [Google Scholar]
- Mattmann, M.; Helbling, T.; Durrer, L; Hierold, C.; Pohle, P.; Fleischer, M. Sub-ppm NO2 detection by Al2O3 contact passivated carbon nanotube field effect transistors. Appl. Phys. Lett 2009, 94, 183502. [Google Scholar]
- Peng, N.; Zhang, Q.; Chow, C.L.; Tan, O.K.; Marzari, N. Sensing mechanisms for carbon nanotube based NH3 gas detection. Nano Lett 2009, 9, 1626–1630. [Google Scholar]
- Qi, P.F.; Vermesh, O.; Grecu, M.; Javey, A.; Wang, Q.; Dai, H.J.; Peng, S.; Cho, K.J. Toward large arrays of multiplex functionalized carbon nanotube sensors for highly sensitive and selective molecular detection. Nano Lett 2003, 3, 347–351. [Google Scholar]
- Star, A.; Han, T.R.; Joshi, V.; Gabriel, J.C.P.; Gruner, G. Nanoelectronic carbon dioxide sensors. Adv. Mater 2004, 16, 2049–2052. [Google Scholar]
- Kong, J.; Chapline, M.G.; Dai, H. Functionalized carbon nanotubes for molecular hydrogen sensors. Adv. Mater 2001, 13, 1384–1386. [Google Scholar]
- Suehiro, J.; Zhou, G.; Hara, M. Detection of partial discharge in SF6 gas using a carbon nanotube-based gas sensor. Sens. Actuators B 2005, 105, 164–169. [Google Scholar]
- Collins., P.G.; Bradley, K.; Ishigami, M.; Zettl, A. Extreme oxygen sensitivity of electronic properties of carbon nanotubes. Science 2000, 287, 1801–1804. [Google Scholar]
- Bradley, K.; Jhi, S.H.; Collins, P.G.; Hone, J.; Cohen, M.L.; Louie, S.G.; Zettl, A. Is the intrinsic thermoelectric power of carbon nanotube positive? Phys. Rev. Lett 2000, 85, 4361–4364. [Google Scholar]
- Derycke, V.; Martel, R.; Appenzeller, J.; Avouris, P. Controlling doping and carrier injection in carbon nanotube transistors. Appl. Phys. Lett 2002, 80, 2773–2775. [Google Scholar]
- Novak, J.P.; Snow, E.S.; Houser, E.J.; Park, D.; Stepnowski, J.L.; McGill, R.A. Nerve agent detection using networks of single walled carbon nanotubes. Appl. Phys. Lett 2003, 83, 4026–4028. [Google Scholar]
- Chang, Y.W.; Oh, J.S.; Yoo, S.H.; Choi, H.H.; Yoo, K.H. Electrically refreshable carbon-nanotube-based gas sensors. Nanotechnology 2007, 18, 435504. [Google Scholar]
- Someya, T.; Small, J.; Kim, P.; Nuckolls, C.; Yardley, J.T. Alcohol vapor sensors based on single-walled carbon nanotube field effect transistors. Nano Lett 2003, 3, 877–881. [Google Scholar]
- Roberts, M.E.; LeMieux, M.C.; Bao, Z. Sorted and aligned single-walled carbon nanotube networks for transistor-based aqueous chemical sensors. ACS Nano 2009, 10, 3287–3293. [Google Scholar]
- Zhang, T.; Mubeen, S.; Myung, N.V.; Deshusses, M.A. Recent progress in carbon nanotube-based gas sensors. Nanotechnology 2008, 19, 332001. [Google Scholar]
- An, K.H.; Jeong, S.Y.; Hwang, H.R.; Lee, Y.H. Enhanced sensitivity of a gas sensor incorporating single-walled carbon nanotube-polypyrrole nanocomposites. Adv. Mater 2004, 16, 1005–1009. [Google Scholar]
- Abraham, J.K.; Philip, B.; Witchurch, A.; Varadan, V.K.; Reddy, C.C. A compact wireless gas sensor using a carbon nanotube/PMMA thin film chemiresistor. Smart Mater. Struct 2004, 13, 1045–1049. [Google Scholar]
- Baker, B.R.; Lai, R.Y.; Wood, M.S.; Doctor, E.H.; Heeger, A.J.; Plaxco, K.W. An electronic aptamer-based small-molecule sensor for the rapid label-free detection of cocaine in adulterated samples and biological fluids. J. Am. Chem. Soc 2006, 128, 3138–3139. [Google Scholar]
- Tatsuro, E.; Kagan, K.; Naoki, N.; Yuzure, T.; Eiichi, T. Label-free detection of peptide nucleic acid-DNA hybridization using localized surface plasmon resonance based optical biosensor. Anal. Chem 2005, 77, 6976–6984. [Google Scholar]
- Cui, Y.; Wei, Q.; Park, H.; Lieber, C.M. Nanowire nanosensors for highly sensitive and selective detection of biological and chemical species. Science 2001, 293, 1289–1292. [Google Scholar]
- Zheng, G.; Patolsky, F.; Cui, Y.; Wang, W.U.; Lieber, C.M. Multiplexed electrical detection of cancer markers with nanowire sensor arrays. Nat. Biotechnol 2005, 23, 1294–1301. [Google Scholar]
- Lu, J.; Strohsahl, C.M.; Miller, B.L.; Rothberg, L.J. Reflective interferometric detection of label-free oligonucleotides. Anal. Chem 2004, 76, 4416–4420. [Google Scholar]
- Li, B.; Wei, H.; Dong, S. Sensitive detection of protein by an aptamer-based label-free fluorescing molecular switch. Chem. Commun 2007, 73, 73–75. [Google Scholar]
- Star, A.; Tu, E.; Niemann, J.; Gabriel, J.C.P.; Joine, C.S.; Valcke, C. Label-free detection of DNA hybridization using carbon nanotube network field-effect transistors. Proc. Natl. Acad. Sci. USA 2006, 103, 921–926. [Google Scholar]
- Giepmans, B.N.G.; Adams, S.R.; Ellisman, M.H.; Tsien, R.Y. The fluorescent toolbox for assessing protein location and function. Science 2006, 312, 217–224. [Google Scholar]
- Weijer, C.J. Visualizing signals moving in cells. Science 2003, 300, 96–100. [Google Scholar]
- Pease, A.C.; Solas, D.; Sullivan, E.J.; Cronin, M.T.; Holmes, C.P.; Fodor, S.P.A. Light-generated oligonucleotide arrays for rapid DNA sequence analysis. Proc. Natl. Acad. Sci. USA 1994, 91, 5022–5026. [Google Scholar]
- Huang, C.C.; Chang, H.T. Selective gold-nanoparticle-based “Turn-On” fluorescent sensors for detection of mercury (II) in aqueous solution. Anal. Chem 2006, 78, 8332–8338. [Google Scholar]
- Herr, J.K.; Smith, J.E.; Medley, C.D.; Shangguan, D.; Tan, W. Aptamer-conjugated nanoparticles for selective collection and detection of cancer cells. Anal. Chem 2006, 78, 2918–2924. [Google Scholar]
- Gerion, D.; Chen, F.; Kannan, B.; Fu, A.; Parak, W.J.; Chen, D.J.; Majumdar, A.; Alivisatos, A.P. Room-temperature single-nucleotide polymorphism and multiallele DNA detection using fluorescent nanocrystals and microarrays. Anal. Chem 2003, 75, 4766–4772. [Google Scholar]
- Charlier, J.C.; Blase, X.; Roche, S. Electronic and transport properties of nanotubes. Rev. Mod. Phys 2007, 79, 677–732. [Google Scholar]
- Shim, M.; Javey, A.; Kam, N.W.S.; Dai, H. Polymer functionalization for air-stable n-type carbon nanotube field effect transistors. J. Am. Chem. Soc 2001, 123, 11512–11513. [Google Scholar]
- Chen, R.; Bangsaruntip, S.; Drouvalakis, K.A.; Kam, N.W.S.; Shim, M.; Li, Y.; Kim, W.; Utz, P.J.; Dai, H.J. Noncovalent functionalization of carbon nanotubes for highly specific electronic biosensors. Proc. Natl. Acad. Sci. USA 2003, 100, 4984–4989. [Google Scholar]
- Ajayan, P.M. Nanotubes from carbon. Chem. Rev 1999, 99, 1787–1800. [Google Scholar]
- Terranova, M.L. Special Issue on Carbon Nanotubes. Acc. Chem. Res 2002, 35, 997–1113. [Google Scholar]
- Zheng, M.; Jagota, A.; Semke, E.D.; Diner, B.A.; Mclean, R.S.; Lustig, S.R.; Richardson, R.E.; Tassi, N.G. DNA-assisted dispersion and separation of carbon nanotubes. Nat. Mater 2003, 2, 338–342. [Google Scholar]
- Zheng, M.; Jagota, A.; Strano, M.S.; Santos, A.P.; Barone, P.; Chou, S.G.; Diner, B.A.; Dresselhaus, M.S.; Mclean, R.S.; Onoa, G.B.; Samsonidze, G.G.; Semke, E.D.; Usrey, M.; Walls, D.J. Structure-based carbon nanotube sorting by sequence-dependent DNA assembly. Science 2003, 302, 1545–1548. [Google Scholar]
- Williams, K.A.; Veenhuizen, P.T.M.; Torre, B.G.; Eritja, R.; Dekker, C. Carbon nanotubes with DNA recognition. Nature 2002, 420, 761. [Google Scholar]
- Star, A.; Tu, E.; Niemann, J.; Gabriel, J.C.P.; Joiner, C.S.; Valcke, C. Label-free detection of DNA hybridization using carbon nanotube network field-effect transistors. Proc. Natl. Acad. Sci. USA 2006, 103, 921–926. [Google Scholar]
- Gui, E.; Li, L.; Lee, P.S.; Lohani, A.; Mhaisalkar, S.G.; Cao, Q.; Kang, S.J.; Rogers, J.A.; Tansil, N.C.; Gao, Z. Electrical detection of hybridization and threading intercalation of deoxyribonucleic acid using carbon nanotube network field-effect transistors. Appl. Phys. Lett 2006, 89, 232104. [Google Scholar]
- Gui, E.L.; Li, L.; Zhang, K.; Xu, Y.; Dong, X.; Ho, X.; Lee, P.S.; Kasim, J.; Shen, Z.X.; Rogers, J.A.; Mhaisalkar, S.G. DNA sensing by field-effect transistors based on networks of carbon nanotubes. J. Am. Chem. Soc 2007, 129, 14427–14432. [Google Scholar]
- Maehashi, K.; Matsumoto, K.; Kerman, K.; Yuzuru Takamura, Y.; Tamiya, E. Ultrasensitive Detection of DNA Hybridization Using Carbon Nanotube Field-Effect Transistors. Jpn. J. Appl. Phys 2004, 43, L1558–L1560. [Google Scholar]
- Dong, X.; Lau, C.; Anup, L.; Subodh, G.M.; Johnson, K.; Shen, Z.; Ho, X.; Rogers, J.; Li, L. Electrical detection of femtomolar DNA via gold-nanoparticle enhancement in carbon-nanotube-network field-effect transistors. Adv. Mater 2008, 20, 2389–2393. [Google Scholar]
- Martínez, M.T.; Tseng, Y.C.; Ormategui, N.; Loinaz, I.; Eritja, R.; Bokor, J. Label-free DNA biosensors based on functionalized carbon nanotube field effect transistors. Nano Lett 2009, 9, 530–536. [Google Scholar]
- Dastagir, T.; Forzani, E.S.; Zhang, R.; Amlani, I.; Nagahara, L.A.; Tsuib, R.; Tao, N. Electrical detection of hepatitis C virus RNA on single wall carbon nanotube-field effect transistors. Analyst 2007, 132, 738–740. [Google Scholar]
- Balavoine, F.; Schultz, P.; Richard, C.; Mallouh, V.; Ebbesen, T.W.; Mioskowski, C. Helical crystallization of proteins on carbon nanotubes: a first step towards the development of new biosensors. Angew. Chem. Int. Ed 1999, 38, 1912–1915. [Google Scholar]
- Kam, N.W.S.; Dai, H. Carbon nanotubes as intracellular protein transporters: generality and biological functionality. J. Am. Chem. Soc 2005, 127, 6021–6026. [Google Scholar]
- Jiang, K.; Eitan, A.; Schadler, L.S.; Ajayan, P.M.; Siegel, R.W.; Grobert, N.; Mayne, M.; Reyes-Reyes, M.; Terrones, H.; Terrones, M. Selective attachment of gold nanoparticles to nitrogen-doped carbon nanotubes. Nano Lett 2003, 3, 275–277. [Google Scholar]
- Niyogi, S.; Hamon, M.A.; Hu, H.; Zhao, B.; Bhowmik, P.; Sen, R.; Itkis, M.E.; Haddon, R.C. Chemistry of single-walled carbon nanotubes. Acc. Chem. Res 2002, 35, 1105–1113. [Google Scholar]
- Chen, R.J.; Zhang, Y.; Wang, D.; Dai, H. Noncovalent sidewall functionalization of single-walled carbon nanotubes for protein immobilization. J. Am. Chem. Soc 2001, 123, 3838–3839. [Google Scholar]
- Holmlin, R.E.; Chen, X.; Chapman, R.G.; Takayama, S.; Whitesides, G.M. Zwitterionic SAMs that resist nonspecific adsorption of protein from aqueous buffer. Langmuir 2001, 17, 2841–2850. [Google Scholar]
- Star, A.; Gabriel, J.P.; Bradley, K.; Grner, G. Electronic detection of specific protein binding using nanotube FET devices. Nano Lett 2003, 3, 459–462. [Google Scholar]
- Besteman, K.; Lee, J.O.; Wiertz, F.G.M.; Heering, H.A.; Dekker, C. Enzyme-coated carbon nanotubes as single-molecule biosensors. Nano Lett 2003, 3, 727–730. [Google Scholar]
- Hu, P.; Fasoli, A.; Park, J.; Choi, Y.; Estrela, P.; Maeng, S.L.; Milne, W.I.; Ferrari, A.C. Self-assembled nanotube field-effect transistors for label-free protein biosensors. J. Appl. Phys 2008, 104, 074341. [Google Scholar]
- Debye, P. Dieletric properties of pure liquids. Chem. Rev 1936, 19, 171–182. [Google Scholar]
- Rudikoff, S.; Potter, M. Size differences among immunoglobulin heavy chains from phosphorylcholine binding proteins. PNAS 1976, 73, 2109–2112. [Google Scholar]
- Teillaud, J.; Desaymard, C.; Giusti, A. Monoclonal antibodies reveal the structural basis of antibody diversity. Science 1983, 222, 721–726. [Google Scholar]
- So, H.M.; Won, K.; Kim, Y.H.; Kim, B.K.; Ryu, B.H.; Na, P.S.; Kim, H.; Lee, J.O. Single-walled carbon nanotube biosensors using aptamers as molecular recognition elements. J. Am. Chem. Soc 2005, 127, 11906–11907. [Google Scholar]
- Maehashi, K.; Katsura, T.; Kerman, K.; Takamura, Y.; Matsumoto, K.; Tamiya, E. Label-free protein biosensor based on aptamer-modified carbon nanotube field-effect transistors. Anal. Chem 2007, 79, 782–787. [Google Scholar]
- Maehashi, K.; Matsumoto, K.; Takamura, Y.; Tamiyac, E. Aptamer-based label-free immunosensors using carbon nanotube field-effect transistors, electroanalysis. 2009, 21, 1285–1290. [Google Scholar]
- Kim, J.P.; Lee, B.Y.; Hong, S.; Sim, S.J. Ultrasensitive carbon nanotube-based biosensors using antibody-binding fragments. Analy. Biochem 2008, 381, 193–198. [Google Scholar]
- Boussaad, S.; Tao, N.J.; Zhang, R.; Hopson, T.; Nagahara, L.A. In situ detection of cytochrome c adsorption with single walled carbon nanotube device. Chem. Commun 2003, 13, 1502–1503. [Google Scholar]
- Artyukhin, A.B.; Stadermann, M.; Friddle, R.W.; Stroeve, P.; Bakajin, O.; Noy, A. Controlled electrostatic gating of carbon nanotube FET devices. Nano Lett 2006, 6, 2080–2085. [Google Scholar]
- Gui, E.L.; Li, L.J.; Zhang, K.; Xu, Y.; Dong, X.; Ho, X.; Lee, P.S.; Kasim, J.; Shen, Z.X.; Rogers, J.A.; Mhaisalkar, S.G. DNA sensing by field-effect transistors based on networks of carbon nanotubes. J. Am. Chem. Soc 2007, 129, 14427–14432. [Google Scholar]
- Chen, R.J.; Choi, H.C.; Bangsaruntip, S.; Yenilmez, E.; Tang, X.; Wang, Q.; Chang, Y.L.; Dai, H. An investigation of the mechanisms of electronic sensing of protein adsorption on carbon nanotube devices. J. Am. Chem. Soc 2004, 126, 1563–1568. [Google Scholar]
- Byon, H.R.; Choi, H.C. Network single-walled carbon nanotube-field effect transistors with increased Schottky contact area for highly sensitive biosensor applications. J. Am. Chem. Soc 2006, 128, 2188–2189. [Google Scholar]
- Tang, X.; Bansaruntip, S.; Nakayama, N.; Yenilmez, E.; Chang, Y.L.; Wang, Q. Carbon nanotube DNA sensor and sensing mechanism. Nano Lett 2006, 6, 1632–1636. [Google Scholar]
- Hecht, D.S.; Ramirez, R.J.A.; Briman, M.; Artukovic, E.; Chichak, K.S.; Stoddart, J.F.; Gruner, G. Bioinspired detection of light using a porphyrin-sensitized single-wall nanotube field effect transistor. Nano Lett 2006, 6, 2031–2036. [Google Scholar]
- Heller, I.; Janssens, A.M.; Mannik, J.; Minot, E.D.; Lemay, S.G.; Dekker, C. Identifying the mechanism of biosensing with carbon nanotube transistors. Nano Lett 2008, 8, 591–595. [Google Scholar]
- Novoselov, K.S.; Geim, A.K.; Morozov, S.V.; Jiang, D.; Zhang, Y.; Dubonos, S.V.; Grigorieva, I.V.; Firsov, A.A. Electric field effect in atomically thin carbon films. Science 2004, 306, 666–669. [Google Scholar]
- Berger, C.; Song, Z.; Li, X.; Wu, X.; Brown, N.; Naud, C.; Mayou, D.; Li, T.; Hass, J.; Marchenkov, A.N.; Conrad, E.H.; First, P.N.; de Heer, W.A. Electronic confinement and coherence in patterned epitaxial graphene. Science 2006, 312, 1191–1196. [Google Scholar]
- Emtsev, K.V.; Bostwick, A.; Horn, K.; Jobst, J.; Kellogg, G.L.; Ley, L.; McChesney, J.L.; Ohta, T.; Reshanov, S.A.; Rohrl, J.; Rotenberg, E.; Schmid, A.K.; Waldmann, D.; Weber, H.B.; Seyller, T. Towards wafer-size graphene layers by atmospheric pressure graphitization of silicon carbide. Nat. Mater 2009, 8, 203–207. [Google Scholar]
- Sutter, P.W.; Flege, J.I.; Sutter, E.A. Epitaxial graphene on ruthenium. Nat. Mater 2008, 7, 406–411. [Google Scholar]
- Yu, Q.; Lian, J.; Siriponglert, S.; Li, H.; Chen, Y.P.; Pei, S.S. Graphene segregated on Ni surfaces and transferred to insulators. Appl. Phys. Lett 2008, 93, 113103. [Google Scholar]
- Kim, K.S.; Zhao, Y.; Jang, H.; Lee, S.Y; Kim, J.M.; Kim, K.S.; Ahn, J.H.; Kim, P.; Choi, J.Y.; Hong, B.H. Large-scale pattern growth of graphene films for stretchable transparent electrodes. Nature 2009, 457, 706–710. [Google Scholar]
- Reina, A.; Jia, X.; Ho, J.; Nezich, D.; Son, H.; Bulovic, V.; Dresselhaus, M.S.; Kong, J. Layer area, few-layer graphene films on arbitrary substrates by chemical vapor deposition. Nano Lett 2009, 9, 30–35. [Google Scholar]
- Coraux, J.; N’Diaye, A.T.; Busse, C.; Michely, T. Structural coherency of graphene on Ir(111). Nano Lett 2008, 8, 565–570. [Google Scholar]
- Li, U.; Cai, W.; An, J.; Kim, S.; Nah, J.; Yang, D.; Piner, R.; Velamakanni, A.; Jung, I.; Tutuc, E.; Banerjee, S.K.; Colombo, L.; Ruoff, R.S. Large-area synthesis of high-quality and uniform graphene films on copper foils. Science 2009, 324, 1312–1314. [Google Scholar]
- Park, S.; Ruof, R. Chemical methods for the production of graphenes. Nat. Nanotechnol 2009, 4, 214–224. [Google Scholar]
- Novoselov, K.S.; Geim, A.K.; Morozov, S.V.; Jiang, D.; Katsnelson, M.I.; Grigorieva, I.V.; Dubonos, S.V.; Firsov, A.A. Two-dimensional gas of massless Dirac fermions in graphene. Nature 2005, 438, 197–200. [Google Scholar]
- Zhang, Y.; Tan, J.W.; Stormer, H.L.; Kim, P. Experimental observation of the quantum Hall effect and Berry's phase in graphene. Nature 2005, 438, 201–204. [Google Scholar]
- Novoselov, K.S.; Jiang, Z.; Zhang, Y.; Morozov, S.V.; Stormer, H.L.; Zeitler, U.; Maan, J.C.; Boebinger, G.S.; Kim, P.; Geim, A.K. Room-temperature quantum Hall effect in graphene. Science 2007, 315, 1379. [Google Scholar]
- Han, M.Y.; Oezyilmaz, B.; Zhang, Y.; Kim, P. Energy band-gap engineering of graphene nanoribbons. Phys. Rev. Lett 2007, 98, 206805. [Google Scholar]
- Geim, A.K.; Novoselov, K.S. The rise of graphene. Nat. Mater 2007, 6, 183–191. [Google Scholar]
- Dragoman, M.; Dragoman, D. Graphene-based quantum electronics. Prog. Quantum. Electron 2009, 33, 165–214. [Google Scholar]
- Novoselov, K.S.; Jiang, D.; Schedin, F.; Booth, T.J.; Khotkevich, V.V.; Morozov, S.V.; Geim, A.K. Two dimensional atomic crystals. PNAS 2005, 102, 10451–10453. [Google Scholar]
- Dresselhaus, M.S.; Dresselhaus, G. Intercalation compounds of graphite. Adv. Phys 2002, 51, 181–186. [Google Scholar]
- Schedin, F.; Geim, A.K.; Morozov, S.V.; Hill, E.W.; Blake, P.; Katsnelson, M.I.; Novoselov, K.S. Detection of individual gas molecules adsorbed on graphene. Nat. Mater 2007, 6, 652–655. [Google Scholar]
- Lu, G.; Ocola, L.E.; Chen, J.H. Gas detection using low-temperature reduced graphene oxide sheets. Appl. Phys. Lett 2009, 94, 83111. [Google Scholar]
- Robinson, J.T.; Perkins, F.K.; Snow, E.S.; Wei, Z.Q.; Sheehan, P.E. Reduced graphene oxide molecular sensors. Nano Lett 2008, 8, 3137–4130. [Google Scholar]
- Das, A.; Pisana, S.; Chakraborty, B.; Piscanec, S.; Saha, S.K.; Waghmare, U.V.; Novoselov, K.S.; Krishnamurthy, H.R.; Geim, A.K.; Ferrari, A.C.; Sood, A.K. Raman scattering in an electrochemically top-gated graphene transistor. Nat. Nanotechnol 2008, 3, 210–215. [Google Scholar]
- Chen, F.; Xia, J.; Tao, N. Ionic Screening of Charged-Impurity Scattering in Graphene. Nano Lett 2009, 9, 1621–1625. [Google Scholar]
- Ang, P.K.; Chen, W.; Wee, A.T.S.; Loh, K.P. Solution-gated epitaxial graphene as pH sensor. J. Am. Chem. Soc 2008, 130, 14392–14393. [Google Scholar]
- Varghese, N.; Mogera, U.; Govindaraj, A.; Das, A.; Maiti, P.K.; Sood, A.K.; Rao, C.N.R. Binding of DNA nucleobases and nucleosides with graphene. Chem. Phys. Chem 2009, 10, 206–210. [Google Scholar]
- Ohno, Y.; Maehashi, K.; Yamashiro, Y.; Matsumoto, K. Electrolyte-gated graphene field-effect transistors for detecting pH and protein adsorption. Nano Lett 2009, 9, 3318–3322. [Google Scholar]
- Mohanty, N.; Berry, V. Graphene-based single-bacterium resolution biodevice and DNA transistor: interfacing graphene derivatives with nanoscale and microscale biocomponents. Nano Lett 2008, 8, 4469–4476. [Google Scholar]
- Dong, X.; Shi, Y.; Huang, W.; Chen, P.; Li, L.P. Electrical Detection of DNA Hybridization with Single-Base Specificity Using Transistors Based on CVD-Grown Graphene Sheets. Adv. Mater 2010, 22, 1–5. [Google Scholar]
- Cohen-Karni, T.; Qing, Q.; Li, Q.; Fang, Y.; Lieber, C.M. Graphene and Nanowire Transistors for Cellular Interfaces and Electrical Recording. Nano Lett 2010, 10, 1098–1102. [Google Scholar]










| Analyte | Current methods | Detection limit | Carbon material based FET | Detection limit |
|---|---|---|---|---|
| NO2 | Spectroscopic | 300 ppt | Bare SWNT | 100 ppt [11] |
| PEI modified SWNT | 1 ppb [14] | |||
| Graphene: | single molecule [98] | |||
| Organic vapor | GC-MS | ppt to ppb | CNTs | 2 ppb [24] |
| Graphene | ppb [100] | |||
| Protein | Spectroscopic | nM to pM | Aptmer based SWNT-FET | 250 p M [69] |
| CNTs network | 100 pM [45] | |||
| Bare graphene | 100 pM [104] | |||
© 2010 by the authors; licensee MDPI, Basel, Switzerland. This article is an Open Access article distributed under the terms and conditions of the Creative Commons Attribution license ( http://creativecommons.org/licenses/by/3.0/).
Share and Cite
Hu, P.; Zhang, J.; Li, L.; Wang, Z.; O’Neill, W.; Estrela, P. Carbon Nanostructure-Based Field-Effect Transistors for Label-Free Chemical/Biological Sensors. Sensors 2010, 10, 5133-5159. https://doi.org/10.3390/s100505133
Hu P, Zhang J, Li L, Wang Z, O’Neill W, Estrela P. Carbon Nanostructure-Based Field-Effect Transistors for Label-Free Chemical/Biological Sensors. Sensors. 2010; 10(5):5133-5159. https://doi.org/10.3390/s100505133
Chicago/Turabian StyleHu, PingAn, Jia Zhang, Le Li, Zhenlong Wang, William O’Neill, and Pedro Estrela. 2010. "Carbon Nanostructure-Based Field-Effect Transistors for Label-Free Chemical/Biological Sensors" Sensors 10, no. 5: 5133-5159. https://doi.org/10.3390/s100505133
APA StyleHu, P., Zhang, J., Li, L., Wang, Z., O’Neill, W., & Estrela, P. (2010). Carbon Nanostructure-Based Field-Effect Transistors for Label-Free Chemical/Biological Sensors. Sensors, 10(5), 5133-5159. https://doi.org/10.3390/s100505133

