A Thick-film Sensor as a Novel Device for Determination of Polyphenols and Their Antioxidant Capacity in White Wine
Abstract
:1. Introduction
2. Results and Discussion
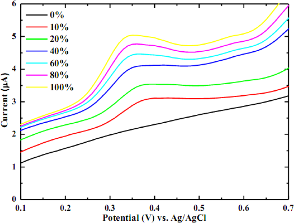
2.1. Determination of Caffeic Acid in White Wine Using Electrochemical Sensor
2.2. Total Phenolic Content (TPC) and Scavenging Activity on DPPH
3. Experimental Section
3.1. Chemicals and Instruments
3.2. Determination of Caffeic Acid in White Wine Using Electrochemical Sensor
3.3. Determination of Total Phenolic Content (TPC) and Scavenging Activity on DPPH·
4. Conclusions
Acknowledgments
References and Notes
- Bagchi, D.; Bagchi, M.; Stohs, S.J.; Das, D.K.; Kuszynski, C.A. Free radicals and grape seed proanthocyaidin extract: Importance in human health and disease prevention. Toxicology 2000, 148, 187–197. [Google Scholar]
- Di Majo, D.; La Guardia, M.; Giammanco, S.; La Neve, L.; Giammanco, M. The antioxidant capacity of red wine in relationship with its phenolic constituents. Food Chem 2008, 111, 45–49. [Google Scholar]
- Hertog, M.; Feskens, E.; Hollman, P.; Katan, M.; Kromhout, D. Dietary antioxidant flvonoids and risk of coronary heart disease. Lancet 1993, 342, 1007–1011. [Google Scholar]
- Tedesco, I.; Russo, M.; Russo, P.; Iacomino, G.; Russo, G.L.; Carraturo, A. Antioxidant effect of red wine polyphenols on red blood cells. J. Nutr. Biochem 2000, 11, 114–119. [Google Scholar]
- Li, H.; Wang, X.; Li, Y.; Li, P.; Wang, H. Polyphenolic compounds and antioxidant properties of selected China wines. Food Chem 2009, 112, 454–460. [Google Scholar]
- Paixão, N.; Perestrelo, M.; Marques, J.; Camara, J. Relationship between antioxidant capacity and total phenolic content of red, rose and white wines. Food Chem 2007, 105, 204–214. [Google Scholar]
- Bondet, V.; Brand-Williams, W.; Berset, C. Kinetics and mechanism of antioxidant activity using DPPH·· free radical method. LWT-Food. Sci. Technol 1997, 30, 609–615. [Google Scholar]
- Huang, D.; Ou, B.; Prior, R.L. The chemistry behind antioxidant capacity assays. J. Agric. Food Chem 2005, 53, 1841–1856. [Google Scholar]
- Prior, R.L.; Wu, X.L.; Schaich, K. Standardized methods for the determination of antioxidant capacity and phenolics in foods and dietary supplements. J. Agric. Food Chem 2005, 53, 4290–4302. [Google Scholar]
- Photinon, K.; Wang, S.H.; Liu, C.C. Development of a dimethyl ether (DME) sensor using platinum nanoparticles and thick-film printing technology. Biosens. Bioelectron 2006, 22, 501–505. [Google Scholar]
- Photinon, K.; Wang, S.H.; Liu, C.C. Thick-film carbon dioxide sensor via anodic adsorbate stripping technique and its structural dependence. Sensors 2009, 9, 7203–7216. [Google Scholar]
- Shen, J.; Dudik, L.; Liu, C.C. An iridium nanoparticles dispersed carbon based thick film electrochemical biosensor and its application for a single use, disposable glucose biosensor. Sens. Actuat. B-Chem 2007, 125, 106–113. [Google Scholar]
- Fernando da Silva, L.; Ramos Stradiotto, N.; Paulino Oliveira, H. Determination of caffeic acid in red wine by voltammetric method. Electroanal 2008, 20, 1252–1258. [Google Scholar]
- Gomes, S.A.S.S.; Nogueira, J.M.F.; Robelo, M.J.F. An amperometric biosensor for polyphenolic compounds in red wine. Biosen. Bioelectron 2004, 20, 1211–1216. [Google Scholar]
- Goriushkina, T.B.; Soldatkin, A.P.; Dzyadevych, S.V. Application of amperometric enzyme biosensors for wine and must analysis. Procedia Chem 2009, 1, 277–280. [Google Scholar]
- Kilmartin, P.A.; Zou, H.; Waterhouse, A.L. A cyclic voltammetry method suitable for characteizing antioxidant properties of wine and wine phenolics. J. Agric. Food Chem 2001, 49, 1957–1965. [Google Scholar]
- Makhotkina, O.; Kilmartin, P.A. Uncovering the influence of antioxidants on polyphenol oxidation in wines using an electrochemical method: Cyclic voltametry. J. Electroanal. Chem 2009, 633, 165–174. [Google Scholar]
- Montereali, M.R.; Della Seta, L.; Vastarella, W; Pilloton, R. A disposable laccase-tyrosinase based biosensor for amperometric detection of phenolic compounds in must and wine. J. Mol. Catal. B: Enzym 2009. [Google Scholar] [CrossRef]
- Ramos, R.; Andrade, P.M.; Seabra, R.M.; Pereira, C.; Ferreira, M,A.; Faia, M.A. A preliminary study of non-coloured phenolics in wines of varietal white grapes: effects of grape variety, grape maturation and technology of winemaking. Food Chem 1999, 67, 39–44. [Google Scholar]
- Rastija, V.; Srecnik, G.; Medic-Saric, M. Polyphenolic composition of Croatian wines with different geographical origins. Food Chem 2009, 115, 54–60. [Google Scholar]
- Rivas, G.A.; Maestroni, B. Iridium-dispersed carbon paste amino acid oxidase electrodes. Anal. Lett 1997, 30, 489–501. [Google Scholar]
- Wang, J.; Fang, L.; Lopez, D.; Tobias, H. Highly selective and sensitive amperometric biosensing of glucose at ruthenium-dispersed carbon-paste enzyme electrodes. Anal. Lett 1993, 26, 1819–1830. [Google Scholar]





© 2010 by the authors; licensee Molecular Diversity Preservation International, Basel, Switzerland. This article is an open access article distributed under the terms and conditions of the Creative Commons Attribution license (http://creativecommons.org/licenses/by/3.0/).
Share and Cite
Photinon, K.; Chalermchart, Y.; Khanongnuch, C.; Wang, S.-H.; Liu, C.-C. A Thick-film Sensor as a Novel Device for Determination of Polyphenols and Their Antioxidant Capacity in White Wine. Sensors 2010, 10, 1670-1678. https://doi.org/10.3390/s100301670
Photinon K, Chalermchart Y, Khanongnuch C, Wang S-H, Liu C-C. A Thick-film Sensor as a Novel Device for Determination of Polyphenols and Their Antioxidant Capacity in White Wine. Sensors. 2010; 10(3):1670-1678. https://doi.org/10.3390/s100301670
Chicago/Turabian StylePhotinon, Kanokorn, Yongyuth Chalermchart, Chartchai Khanongnuch, Shih-Han Wang, and Chung-Chiun Liu. 2010. "A Thick-film Sensor as a Novel Device for Determination of Polyphenols and Their Antioxidant Capacity in White Wine" Sensors 10, no. 3: 1670-1678. https://doi.org/10.3390/s100301670
APA StylePhotinon, K., Chalermchart, Y., Khanongnuch, C., Wang, S.-H., & Liu, C.-C. (2010). A Thick-film Sensor as a Novel Device for Determination of Polyphenols and Their Antioxidant Capacity in White Wine. Sensors, 10(3), 1670-1678. https://doi.org/10.3390/s100301670
