Next Article in Journal
Determination of Active Components in Rhubarb by Cyclodextrin-modified Capillary Zone Electrophoresis
Previous Article in Journal
Sulfonated Polyaniline Coated Mercury Film Electrodes for Voltammetric Analysis of Metals in Water
 
 
Font Type:
Arial Georgia Verdana
Font Size:
Aa Aa Aa
Line Spacing:
Column Width:
Background:
Article

Mediated Electron Transfer at Redox Active Monolayers

by
Michael E.G. Lyons
Physical Electrochemistry Laboratory, Department of Chemistry, Nasr Institute of Advanced Materials Science, University of Dublin, Trinity College, Dublin 2, Ireland
Sensors 2001, 1(7), 215-228; https://doi.org/10.3390/s10700215
Submission received: 29 November 2001 / Accepted: 9 December 2001 / Published: 13 December 2001

Abstract

:
A theoretical model describing the transport and kinetic processes involved in heterogeneous redox catalysis of solution phase reactants at electrode surfaces coated with redox active monolayers is presented. Although the analysis presented has quite general applicability, a specific focus of the paper is concerned with the idea that redox active monolayers can be used to model an ensemble of individual molecular nanoelectrodes. Three possible rate determining steps are considered: heterogeneous electron transfer between immobilized mediator and support electrode ; bimolecular chemical reaction between redox mediator and reactant species in the solution phase, and diffusional mass transport of reactant in solution. A general expression for the steady state reaction flux is derived which is valid for any degree of reversibility of both the heterogeneous electron transfer reaction involving immobilized mediator species and of the bimolecular cross exchange reaction between immobilized mediator and solution phase reactant. The influence of reactant transport in solution is also specifically considered. Simplified analytical expressions for the net reaction flux are derived for experimentally reasonable situations and a kinetic case diagram is constructed outlining the relationships between the various approximate solutions. The theory enables simple diagnostic plots to be constructed which can be used to analyse experimental data.

Introduction

The phenomenon of heterogeneous redox catalysis at electrode surfaces has been studied extensively over the last twenty years. Much attention has been focused on chemically modified electrodes, including, for example, electrodes modified with electroactive polymer films [1], adsorbed redox active dye molecules [2], conductive oxide surfaces [3] , and, more recently, metallic electrodes coated with adsorbed redox active monolayers which are generated via self assembly mechanisms [4].
Redox mediation is simple in concept. In this process surface immobilized sites may be activated electrochemically via application of a voltage to the support electrode surface. The latter sites may then oxidize or reduce other redox agents located in the solution phase adjacent to the immobilized layer, for which the direct oxidation or reduction at the electrode surface is inhibited, either because of intrinsically slow heterogeneous electron transfer kinetics, or because close approach of the soluble redox species to the electrode is prevented.
In two recent papers [5,6] Creager and co-workers have developed the interesting idea that redox molecule based nanoelectrode ensembles may serve as mechanically robust model systems for individual molecular nanoelectrode systems. The former consist of redox molecule based active sites immobilized on otherwise passivated electrode surfaces. These workers visualized a redox active molecule covalently bound to a molecular connecting unit of well defined length, the end of which could be anchored to the underlying support electrode surface. A concrete manifestation of such a single molecule nanoelectrode would be a ferrocene moiety covalently attached to an alkane thiol connector. An ensemble of isolated molecular nanoelectrodes could in principle be generated on a support surface, via generation of a mixed alkane thiol based monolayer containing a fixed fraction of ferrocene containing alkane thiol units by self assembly methods. The basic idea is presented in fig. 1.
Figure 1. Schematic representation of mediated electron transfer at an individual molecular nanoelectrode.
Figure 1. Schematic representation of mediated electron transfer at an individual molecular nanoelectrode.
Sensors 01 00215 g001
Creager and co-workers [5,6] developed a simple theoretical model which enabled analytical expressions describing the current/voltage curve for mediated electron transfer at an ensemble of independent molecular nanoelectrodes to be developed. They considered possible rate limitation via bimolecular redox reaction between the active site molecule and the redox molecules in solution and by the heterogeneous redox reaction between the electrode and the active site molecule. They also used the latter expressions to interpret preliminary data for ultra sensitive electrochemical detection in flowing streams via an electrochemical amplification process which was presumed to involve redox mediation by individual analyte molecules adsorbed onto monolayer coated electrodes.
In the present paper we extend the Creager analysis and develop a comprehensive theoretical model to describe redox mediation at monolayers containing single molecule nanoelectrodes. The current response under steady state conditions will be derived and approximate analytical expressions for the current response corresponding to possible rate limitation due to bimolecular kinetics, heterogeneous electrode kinetics and reagent transport in solution will be developed. The connection between possible rate limiting situations will be presented by means of a kinetic case diagram.

Problem definition

Mediated electron transfer of solution phase species at electrode surfaces containing immobilized redox species can be examined experimentally using a number of electrochemical techniques. The technique of rotating disc voltammetry is most often applied, since in principle, the processes of reactant transport in solution, and kinetic processes at the monolayer can be cleanly separated, by conducting voltammetric experiments over a range of rotation speeds. Previous theoretical work describing mediated redox catalysis at monolayers in the context of rotating disc voltammetry has been presented by Andrieux and Saveant [7], and Laviron [8], More recently the analysis has been extended to a time dependent technique such as cyclic voltammetry by Aoki and co-workers [9] and by Xie and Anson [10,11,12].
In the following analysis we let A and B represent the reduced and oxidized forms of the surface immobilized redox couple, and S and P the substrate (reactant species) and product respectively. We will assume that both the heterogeneous electron transfer between the immobilized mediating site and the support electrode and the bimolecular cross exchange reaction between the substrate species S and the mediating species B are quasi reversible. The former process is quantified by the heterogeneous rate constants k’E and k’-E and the latter by the bimolecular rate constants k and k’. We also assume that solution phase material transport to the immobilized monolayer is described by a diffusional rate constant kD which is given by k D = D j δ where Dj denotes the diffusion coefficient of species j (j = S or P) and δ denotes the diffusion layer thickness. For simplicity we assume that the diffusion coefficient of reactant species S and product species P are equal.
We consider the following general reaction scheme:
Sensors 01 00215 i001
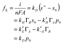
In the latter scheme the subscripts 0 and ∞ represent bulk solution and interface region respectively, and the double arrow denotes that each reaction step is microscopically reversible. Under steady state conditions we can describe the net flux (units: mol cm-2s-1) as follows:
Sensors 01 00215 i002
where i denotes the current, n, F and A represent the number of electrons transferred, the Faraday constant and the electrode area respectively, s denotes the bulk concentration of reactant species S, s0 is the surface concentration of reactant, p0 is the surface concentration of product (all solution phase species having concentration units of mol cm-3) and ΓA , ΓB represent the surface coverages (units: mol cm-2) of reduced and oxidized mediator species respectively. We assume that the bulk concentration of product is zero. We also assume that the heterogeneous electrochemical rate constants are given by expressions of the Butler-Volmer form:
Sensors 01 00215 i003
where k0 denotes the standard electrochemical rate constant, α is the transfer coefficient and ξ denotes a normalized potential given by:
Sensors 01 00215 i004
We also note that the total surface coverage of redox mediator species is given by:
ΓΣ = ΓA + ΓB
Detailed examination of eqn.1 and eqn.4 yields:
Sensors 01 00215 i005
We can also derive an expression between the rate constants for the forward and reverse step of the bimolecular cross exchange reaction between reactant species and immobilized mediator group as follows. The degree of reversibility of the cross exchange process is described in terms of the equilibrium constant K which is given by:
Sensors 01 00215 i006
and so we note that k H = kHk-1.
It is also useful to note from simple thermodynamic arguments that the equilibrium constant for the cross exchange reaction is related to the standard potentials for the reactant/product transformation and the redox mediator couple via:
k = exp [ F R T ( E S / P 0 E A / B 0 ) ]
This identity has been used with profit by Laviron [8] in a previously published analysis on redox catalysis at polymer coated electrode surfaces.
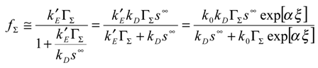
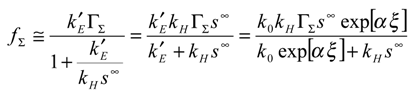
Eqn. 1, eqn.4, eqn.5 and eqn.6 fully define the kinetic problem, and by a suitable algebraic manipulation, one can derive a useful expression for the net reaction flux fΣ expected under steady state conditions.

Development of an analytical expression for the net reaction flux

We now develop a useful expression for the net reaction flux describing mediated redox catalysis at a monolayer surface. Using the second expression in eqn.1 and eqn. 4, 5 and 6 we can readily show that the net reaction flux is given by a quadratic equation of the following form:
Sensors 01 00215 i007
This somewhat complicated expression has the following solution:
Sensors 01 00215 i008
The complex expression presented in eqn.9 yields the net reaction flux for a mediated electron transfer process that does not make any simplifying assumptions regarding the degree of reversibility of either the heterogeneous electron transfer process or the bimolecular cross exchange reaction. It also will be valid for the most general kinetic situation in which reactant transport, bimolecular reaction kinetics of heterogeneous kinetics involving the immobilized mediator all contribute equally to the net rate. As such we term eqn.9 the master equation.

The normalized master equation

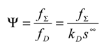
To proceed further in the analysis and connect directly with experiment it is often useful to avoid the algebraic clutter and introduce normalized variables. We firstly introduce a normalized flux Ψ in which the net reaction flux fΣ is related to the diffusion controlled flux fD as follows:
Sensors 01 00215 i009
We also find it expedient to introduce further dimensionless parameters:
Sensors 01 00215 i010
The θ parameter relates the flux associated with forward heterogeneous electron transfer involving the mediator to the diffusion flux of reactant in the solution. The φ parameter relates the forward heterogeneous electron transfer flux to the flux describing the cross exchange reaction. The ζ parameter measures the degree of reversibility associated with the heterogeneous electron transfer process and the β parameter relates the flux associated with the reverse heterogeneous electron transfer step to that of reactant diffusion.
We can substitute eqn.10 and eqn.11 into the master expression presented in eqn.9 to obtain the following normalized master expression:
Sensors 01 00215 i011
We can now simplify the master expression by considering conditions which will usually pertain experimentally. Firstly we can assume that the heterogeneous electron transfer reaction involving the mediator couple is irreversible and so the parameter ζ << 1. If we also assume that the cross exchange process involving the immobilized mediator species B and the reactant species S is thermodynamically favoured, then the equilibrium constant K >> 1. Under such circumstances we can assume that 1 + ζ ≅ 1 and K−1 → 0 and the master expression reduces to:
Sensors 01 00215 i012
We will work with this simplified expression for the remainder of the paper.

Approximate analytical expressions for the reaction flux

We now examine eqn.13 and derive a number of approximate analytical expressions for the reaction flux corresponding to specific rate limiting cases. Now a significant simplification can be made if the term Sensors 01 00215 i013 is small. Under such circumstances we note that Sensors 01 00215 i014 and so Sensors 01 00215 i015. If the latter is substituted into eqn.13 we obtain the following approximate expression for the normalized flux:
Ψ θ 1 + θ + φ
Using eqn.10 and eqn.11 we immediately note that the net reaction flux is given by:
Sensors 01 00215 i016
It is useful to invert the latter expression to obtain:
Sensors 01 00215 i017
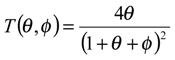
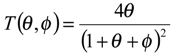
From this expression we obtain three terms on the right hand side of the expression. The first relates to rate determining heterogeneous electron transfer, and is potential dependent via the k’E factor. The second reflects rate determining chemical reaction involving cross exchange of electrons between the immobilized mediator and the solution phase reactant. The third term reflects rate determining reactant transport. Hence the possible rate limiting steps are all cleanly separated. In figure 2 we examine the variation of the T term as a function of the dimensionless parameters θ and φ .The approximation that the T term is small (being much less than unity) will break down when φ is small and when θ is small. The approximation is a good one when θ and φ are large, typically greater than 10.
Figure 2. Variation of the T term defined as Sensors 01 00215 i018 with θ and φ.
Figure 2. Variation of the T term defined as Sensors 01 00215 i018 with θ and φ.
Sensors 01 00215 g002
We can obtain still more simple results. First consider the situation in which θ >> φ. This corresponds to the situation where Sensors 01 00215 i019 Hence Sensors 01 00215 i020. Now θ >> 1 and so (1+θ)2θ2 and so T 4 θ 4 << 1. Hence the normalized flux is given by:
Sensors 01 00215 i021
Hence we conclude that for θ >> φ and for θ >> 1, Ψ ≅ 1 or in terms of the net flux:
Sensors 01 00215 i022
and control of the net rate is by diffusive transport of the reactant species in solution.
Conversely, if Sensors 01 00215 i023 then θ << φ and (1 + θ + φ)2 ≅ (1 + φ)2 and T(θ, φ) ≅ 4 θ ( 1 + ϕ ) 2 , which again will be small since φ is large and θ is small. Hence the expression for the normalized flux takes the form:
Sensors 01 00215 i024
Hence when θ << φ and for φ >> 1, the normalized flux is Ψ ≅ θ ϕ , or in terms of the net reaction flux:
f f R = k H Γ Σ k
and the net rate will be determined by the kinetics cross exchange reaction.
Finally when the parameters θ and φ are both small, then to a good approximation (1 + θ + φ)2 ≅ 1 and T(θ, φ) ≅ 4θ. Under these circumstances we note that the normalized flux expression reduces to:
Sensors 01 00215 i025
Hence for small θ and φ the normalized flux is Ψ ≅ θ and transforming the latter expression it is readily shown that the net reaction flux is:
f k E Γ Σ
and the reaction is controlled by the heterogeneous electrode kinetics involving generation of the active form of the immobilized mediator species.

The kinetic case diagram

The kinetic analysis just presented may be conveniently summarized in terms of a kinetic case diagram. In this type of presentation the dimensionless parameters which govern the limiting behaviour of the kinetic rate equations are plotted in either a two or three dimensional format. Since in this paper we have focused on the simpler master expression outlined in eqn.13 the case diagram will be two dimensional. If instead we repeated the kinetic analysis using the more general expression outlined in eqn.12, a three dimensional case diagram would pertain. Here the pertinent parameters are logθ = log { f E f D } and logφ = log { f E f R } and these are used to define the axes of the two dimensional case diagram outlined in figure 3, in which log φ serves as abscissa and log θ as ordinate. The locations of the limiting kinetic behaviour are clearly outlined in the diagram.
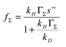
Case I which is located in the lower left hand quadrant of the case diagram defines the region where the net flux or current is controlled by the heterogeneous electron transfer kinetics involving mediator generation. Here the cross exchange reaction between mediator and solution phase reactant and the diffusive transport of the reactant will both be rapid. The pertinent expression for the flux is given by eqn.22. In this region the current will exhibit a marked potential dependence due to the fact that the flux is directly proportional to the heterogeneous electrochemical rate constant k’E, which is described by the Butler-Volmer equation. Case I will be valid when both θ and φ are small. One would expect a Tafel behaviour to be evident in the current/potential curve. Creager and co-workers [5] have developed a similar type of limiting kinetic expression (see eqn.7 and figure 3 in [5]). In this region the current response is expected to be independent of the bulk concentration of the substrate and independent of the magnitude of the rate constant quantifying the cross exchange kinetics.
Case II is located in the lower right quadrant and also extends into a section of the upper right hand quadrant . The region is delineated by the lines φ = 1 and θ/φ = 1. In case II the net flux or current is controlled by the kinetics of the cross exchange reaction between the immobilized mediator and the solution phase reactant. Both mediator generation and diffusive transport of reactant will be relatively rapid. The current response will be well described by eqn.20. Here the current will be proportional to both the mediator surface coverage and the bulk concentration of the substrate. It will be independent of applied electrode potential. We also note that the boundary between case I and case II is given by the expression:
Ψ θ 1 + ϕ
Transforming this expression into the net flux we obtain that:
Sensors 01 00215 i026
Hence we note that as the normalized potential ξ (where the latter is defined by eqn.3) is increased we cross from case I to case II. We also note from eqn.24 that a plot of inverse flux or inverse current versus inverse substrate concentration is linear, with a slope given by S = 1 k H Γ , and an intercept given by I = 1 k E Γ . This intercept should be potential dependent. For a given surface coverage the intercept should decrease in magnitude with increasing potential. This useful diagnostic plot is also included in the relevant section of the kinetic case diagram. Indeed Creager and co-workers [5] indicated that variation of reactant concentration should prove to be a useful mechanistic indicator and the analysis suggested in the present paper supplements this comment.
We finally consider case III. This region is located in the top left quadrant of the case diagram and also extends into the the top right quadrant but is bounded there by the line θ/φ = 1. Hence case III is bounded by the lines θ = 1 and θ/φ = 1. In this region the normalized flux or current will be determined by diffusive transport of reaction in the solution. The heterogeneous and cross exchange kinetics will both be rapid. The steady state current response will be given by eqn.18. In this region the current will not depend on the applied electrode potential. In their work Creager and co-workers [5] did not consider specifically this case. The current will depend linearly with the bulk concentration of reactant. It will also depend on the diffusion rate constant kD.
Figure 3. Kinetic case diagram for mediated electron transfer at a redox active monolayer.
Figure 3. Kinetic case diagram for mediated electron transfer at a redox active monolayer.
Sensors 01 00215 g003
We note that the equation relating the case I/case III regions takes the form:
Ψ θ 1 + θ
and reflects the joint control by heterogeneous electron transfer and reactant diffusion. Transforming this expression into the net flux we obtain:
Sensors 01 00215 i027
We note from eqn.26 that the steady state current / potential curve should be sigmoidal and exhibit a potential independent plateau region reflecting the onset of diffusion control. Inversion of eqn.26 indicates that a plot of inverse flux or inverse current is linear with inverse bulk reactant concentration, with a slope S given by S = 1 k D and an intercept I given by I = 1 k E Γ . The intercept will be potential dependent and will decrease in magnitude with increasing surface coverage of mediator and with increasing potential. This characteristic case I/III plot is presented in figure 3.
We finally note that the case II/ case III boundary is defined by the following expression:
Ψ θ / ϕ 1 + θ / ϕ
which reflects joint rate control by the kinetics of the cross exchange reaction and by reactant diffusion in solution. We can readily show that the net flux is given by:
Sensors 01 00215 i028
In this case the net current should be independent of electrode potential and depend both on the bulk reactant concentration and mediator surface coverage. Inversion of eqn.28 suggests that a plot of the inverse flux versus inverse reactant concentration is linear, with a zero intercept and a slope S given by S = 1 k H Γ + 1 k D . This diagnostic plot is outlined in figure 3.

Concluding comments

In this paper a theoretical model describing the transport and kinetic processes involved in the heterogeneous redox catalysis of solution phase reactants at electrode surfaces coated with redox active monolayers is presented. Three possible rate limiting steps are examined: heterogeneous electron transfer between immobilized mediator and support electrode surface; bimolecular chemical reaction between the redox mediator and the reactant species in the solution phase, and diffusive mass transport of the reactant in solution to the mediating site in the immobilized monolayer. We use a steady state analysis to obtain a master equation for the net flux which is valid for any degree of reversibility of both the heterogeneous electron transfer reaction involving the immobilized mediator species and of the bimolecular cross-exchange between the latter and the solution phase reactant. In order to obtain experimentally useful approximate expressions for the net flux we proceed to assume that the thermodynamics of the cross exchange reaction is favourable and the heterogeneous electron transfer process resulting in mediator generation is strongly driven. Under such assumptions we derive simple expressions for the net flux and develop a kinetic case diagram which clearly presents the various rate limiting situations. We also propose that the pertinent kinetic parameters can be obtained graphically by plotting reciprocal flux versus reciprocal substrate concentration. Current voltage curves should exhibit a potential dependence when the net rate is controlled conjointly by heterogeneous electron transfer and by the kinetics of the cross exchange reaction (case I/II region in the case diagram) as outlined in eqn.24 or when the net flux is controlled conjointly by heterogeneous electron transfer and substrate diffusion (case I/III region in the case diagram). The current response will be potential independent when there is conjoint rate control by the cross exchange reaction and diffusive mass transport.
In this paper we have assumed that the cross exchange reaction is described by a simple bimolecular rate expression. A more accurate analysis would consider a specific binding interaction between the immobilized mediator and the substrate species, which may well be described by a kinetic expression of the Michaelis-Menten type. We shall address this more complex problem in a subsequent communication. We have also neglected interaction effects between the immobilized mediator species in the monolayer. This assumption will be valid when the surface coverage of mediator species is small. In the recent papers of Xie and Anson [10,11,12] interaction effects between adjacent redox sites in the monolayer were accounted for in terms of an interaction parameter g which was inserted into the Butler-Volmer equation describing the heterogeneous electron transfer kinetics. It should be noted however that a full description of the voltammetric behaviour exhibited by electrodes coated with electroactive monolayer films in the absence of solution phase substrates is complex, as recently discussed by Ohtani [13]. In this work the quasi reversible voltammetric response of a surface confined redox species was treated, including both ion pairing and double layer effects. The extension of the latter ideas to mediated electrocatalysis will prove to be challenging.

References and Notes

  1. Lyons, M.E.G. Transport and kinetics in electroactive polymers. Adv. Chem. Phys. 1996, 94, 297–624. [Google Scholar]
  2. (a) Gorton, L. Chemically modified electrodes for the electrocatalytic oxidation of nicotinamide coenzymes. J. Chem. Soc., Faraday Trans. I 1986, 82, 1245–1258. [Google Scholar] (b) Gorton, L.; Torstensson, A.; Jaegfeldt, H.; Johansson, G. Electrocatalytic oxidation of reduced nicotinamide coenzymes by graphite electrodes modified with an adsorbed phenoxazinium salt, medola blue. J. Electroanal. Chem. 1984, 161, 103–120. [Google Scholar]
  3. (a) Lyons, M.E.G.; Fitzgerald, C.A.; Smyth, M.R. Glucose oxidation at ruthenium dioxide based electrodes. Analyst 1994, 119, 855–861. [Google Scholar] (b) Lyons, M.E.G.; Lyons, C.H.; Michas, A.; Bartlett, P.N. Heterogeneous redox catalysis at hydrated oxide layers. J. Electroanal. Chem. 1993, 351, 245–258. [Google Scholar]
  4. Gooding, J.J.; Hibbert, D.B. The application of alkanethiol self assembled monolayers to enzyme electrodes. Trends in analytical Chemistry 1999, 18, 525–533. [Google Scholar] [CrossRef]
  5. Creager, S.E.; Radford, P.T. Electrochemical reactivity at redox molecule based nanoelectrode ensembles. J. Electroanal. Chem. 2001, 500, 21–29. [Google Scholar] [CrossRef]
  6. Alleman, K.S.; Weber, K.; Creager, S.E. Electrochemical rectification at a monolayer modified electrode. J. Phys. Chem. 1996, 100, 17050–17058. [Google Scholar] [CrossRef]
  7. Andrieux, C.P.; Saveant, J.M. Heterogeneous versus homogeneous catalysis of electrochemical reactions. J. Electroanal. Chem. 1978, 93, 163–168. [Google Scholar] [CrossRef]
  8. Laviron, E. Electron transfer mediated by redox polymer electrodes. Theory for rotating disc voltammetry with transfer at the film/solution interface and reversible electrode coating reaction. J. Electroanal. Chem. 1982, 131, 61–75. [Google Scholar]
  9. Aoki, K.; Tokuda, K.; Matsuda, H. Linear sweep and cyclic voltammetry for electrocatalysis at modified electrodes with very thin films. J. Electroanal. Chem. 1986, 199, 69–79. [Google Scholar] [CrossRef]
  10. Xie, Y.; Anson, F.C. Analysis of the cyclic voltammetric responses exhibited by electrodes modified with monolayers of catalysts in the absence and presence of substrates. J. Electroanal. Chem. 1995, 384, 145–153. [Google Scholar] [CrossRef]
  11. Xie, Y.; Anson, F.C. Calculation of cyclic voltammetric responses for the reduction of substrates by an inner sphere mechanism at electrode surfaces with single monolayers of catalysts. J. Electroanal. Chem. 1995, 396, 441–449. [Google Scholar] [CrossRef]
  12. Xie, Y.; Anson, F.C. Calculation of cyclic voltammetric responses for the catalytic reduction of substrates via intramolecular electron transfer within a catalyst/substrate complex formed on electrode surfaces. J. Electroanal. Chem. 1996, 404, 209–213. [Google Scholar] [CrossRef]
  13. Ohtani, M. Quasi-reversible voltammetric response of electrodes coated with electroactive monolayer films. Electrochemistry Communications 1999, 1, 488–492. [Google Scholar] [CrossRef]
  • Sample Availability: Available from the author.

Share and Cite

MDPI and ACS Style

Lyons, M.E.G. Mediated Electron Transfer at Redox Active Monolayers. Sensors 2001, 1, 215-228. https://doi.org/10.3390/s10700215

AMA Style

Lyons MEG. Mediated Electron Transfer at Redox Active Monolayers. Sensors. 2001; 1(7):215-228. https://doi.org/10.3390/s10700215

Chicago/Turabian Style

Lyons, Michael E.G. 2001. "Mediated Electron Transfer at Redox Active Monolayers" Sensors 1, no. 7: 215-228. https://doi.org/10.3390/s10700215

APA Style

Lyons, M. E. G. (2001). Mediated Electron Transfer at Redox Active Monolayers. Sensors, 1(7), 215-228. https://doi.org/10.3390/s10700215

Article Metrics

Back to TopTop