Diversity of Cultivable Soil Fungal Taxa Across a Land-Use Gradient in the Andes–Amazon Transition Zone: Insights from Agroecological Systems
Abstract
1. Introduction
2. Materials and Methods
2.1. Study Area and Land-Use Description
2.2. Soil Sampling
2.3. Soil Physicochemical Analyses
2.4. Mycological and Molecular Analyses
2.4.1. Isolation of Culturable Soil Fungi
2.4.2. Morphological Identification
2.4.3. Molecular Identification
2.5. Soil Fungal Density, Diversity, and Community Composition
2.6. Soil Fungal Trophic Modes
2.7. Construction and Analysis of Soil Fungal Co-Occurrence Networks
2.8. Statistical Analyses
3. Results
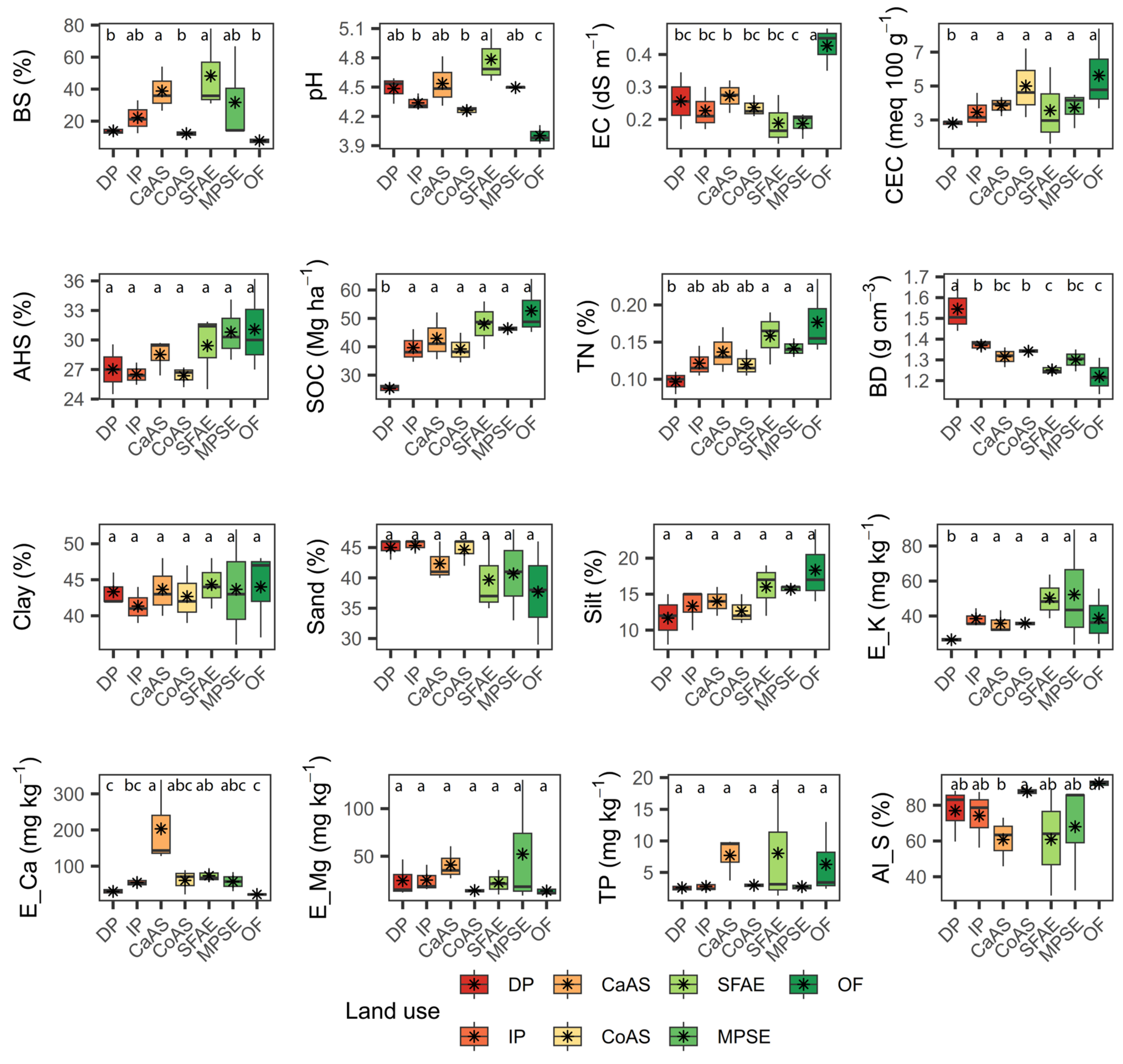
3.1. Soil Physicochemical Properties
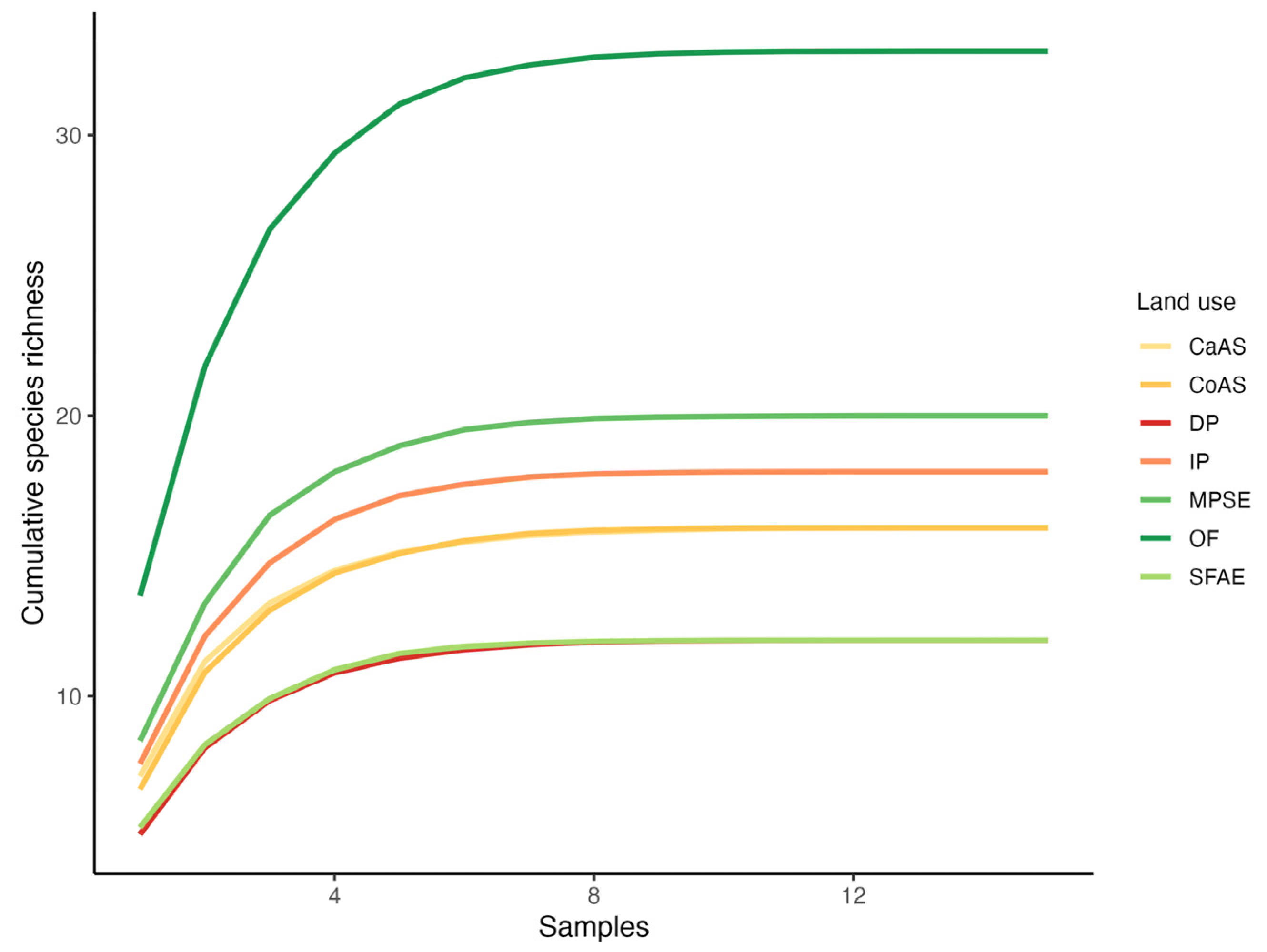
3.2. Soil Fungal Diversity and Composition
3.3. Soil Fungal Trophic Modes and Co-Occurrence Network Structure
3.4. Relationships Between Soil Properties and Fungal Diversity, Trophic Modes, Community Composition, and Co-Occurrence Networks
4. Discussion
4.1. Agroecological Land-Use Systems Enhance Soil Fungal Alpha-Diversity
4.2. Land-Use Types Shape Distinct Fungal Community Assemblages
4.3. Agroecological Management Enhances Fungal Network Complexity and Functional Connectivity
4.4. Soil Physicochemical Properties Mediate Fungal Diversity, Community Composition, and Network Structure
4.5. Conservation Implications of Agroecological Systems in Transition Landscapes
4.6. Methodological Considerations of the Culture-Based Approach
5. Conclusions
Supplementary Materials
Author Contributions
Funding
Institutional Review Board Statement
Data Availability Statement
Acknowledgments
Conflicts of Interest
References
- Zhang, J.; Guo, X.; Shan, Y.; Lu, X.; Cao, J. Effects of Land-Use Patterns on Soil Microbial Diversity and Composition in the Loess Plateau, China. J. Arid Land 2024, 16, 415–430. [Google Scholar] [CrossRef]
- Xiao, Y.; Wang, J.; Wang, B.; Fan, B.; Zhou, G. Soil Microbial Network Complexity Predicts Soil Multifunctionality Better than Soil Microbial Diversity during Grassland-Farmland-Shrubland Conversion on the Qinghai-Tibetan Plateau. Agric. Ecosyst. Environ. 2025, 379, 109356. [Google Scholar] [CrossRef]
- Yang, Y.; Chai, Y.; Xie, H.; Zhang, L.; Zhang, Z.; Yang, X.; Hao, S.; Gai, J.; Chen, Y. Responses of Soil Microbial Diversity, Network Complexity and Multifunctionality to Three Land-Use Changes. Sci. Total Environ. 2023, 859, 160255. [Google Scholar] [CrossRef] [PubMed]
- Mueller, R.C.; Rodrigues, J.L.M.; Nüsslein, K.; Bohannan, B.J.M. Land Use Change in the Amazon Rain Forest Favours Generalist Fungi. Funct. Ecol. 2016, 30, 1845–1853. [Google Scholar] [CrossRef]
- Shen, R.F.; Teng, Y. The Frontier of Soil Science: Soil Health. Pedosphere 2023, 33, 6–7. [Google Scholar] [CrossRef]
- Prasad, S.; Malav, L.C.; Choudhary, J.; Kannojiya, S.; Kundu, M.; Kumar, S.; Yadav, A.N. Soil Microbiomes for Healthy Nutrient Recycling. In Current Trends in Microbial Biotechnology for Sustainable Agriculture; Nath, A., Singh, Y.J., Singh, C., Yadav, N., Eds.; Springer: Singapore, 2021; pp. 1–21. [Google Scholar]
- Liu, H.; Li, D.; Huang, Y.; Lin, Q.; Huang, L.; Cheng, S.; Sun, S.; Zhu, Z. Addition of Bacterial Consortium Produced High-Quality Sugarcane Bagasse Compost as an Environmental-Friendly Fertilizer: Optimizing Arecanut (Areca catechu L.) Production, Soil Fertility and Microbial Community Structure. Appl. Soil Ecol. 2023, 188, 104920. [Google Scholar] [CrossRef]
- Val-Moraes, S.P.; Nascimbem Pedrinho, E.A.; Lemos, E.G.M.; Carareto-Alves, L.M. Molecular Identification of Fungal Communities in a Soil Cultivated with Vegetables and Soil Suppressiveness to Rhizoctonia solani. Appl. Environ. Soil Sci. 2013, 2013, 268768. [Google Scholar] [CrossRef]
- Francioli, D.; van Rijssel, S.Q.; van Ruijven, J.; Termorshuizen, A.J.; Cotton, T.E.A.; Dumbrell, A.J.; Raaijmakers, J.M.; Weigelt, A.; Mommer, L. Plant Functional Group Drives the Community Structure of Saprophytic Fungi in a Grassland Biodiversity Experiment. Plant Soil 2021, 461, 91–105. [Google Scholar] [CrossRef]
- Feitosa, T.B.; Fernandes, M.M.; Santos, C.A.G.; da Silva, R.M.; Garcia, J.R.; de Araujo Filho, R.N.; de Moura Fernandes, M.R.; da Cunha, E.R. Assessing Economic and Ecological Impacts of Carbon Stock and Land Use Changes in Brazil’s Amazon Forest: A 2050 Projection. Sustain. Prod. Consum. 2023, 41, 64–74. [Google Scholar] [CrossRef]
- Peña-Vanegas, C.P. Hongos Formadores de Micorrizas. In Biología de los Suelos Amazónicos: Vida que Sostiene el Bosque; Peña-Vanegas, C.P., Ed.; Instituto SINCHI: Bogotá, Colombia, 2021; pp. 47–71. [Google Scholar]
- Rodríguez-León, C.H.; Peña-Venegas, C.P.; Sterling, A.; Muñoz-Ramirez, H.; Virguez-Díaz, Y.R. Changes in Soil-Borne Communities of Arbuscular Mycorrhizal Fungi during Natural Regrowth of Abandoned Cattle Pastures Are Indicative of Ecosystem Restoration. Agronomy 2021, 11, 2468. [Google Scholar] [CrossRef]
- Moreno-Perez, C.; Mora-Motta, D.; Ortiz-Morea, F.A.; Blesh, J.; Silva-Olaya, A.M. Transitioning from Extensive Pastures to Silvopastoral Systems Improves Multiple Soil Ecosystem Services in Colombian Amazon. Sci. Total Environ. 2025, 974, 179185. [Google Scholar] [CrossRef] [PubMed]
- Zhu, M.; Cao, X.; Guo, Y.; Shi, S.; Wang, W.; Wang, H. Soil P Components and Soil Fungi Community Traits in Poplar Shelterbelts and Neighboring Farmlands in Northeastern China: Total Alterations and Complex Associations. Catena 2022, 218, 106531. [Google Scholar] [CrossRef]
- Wang, C.; Guo, L.; Cai, Z.J.; Chen, J.; Shen, R.F. Different Contributions of Rare Microbes to Driving Soil Nitrogen Cycles in Acidic Soils under Manure Fertilization. Appl. Soil Ecol. 2024, 196, 105281. [Google Scholar] [CrossRef]
- Gong, X.; Jarvie, S.; Wen, J.; Su, N.; Yan, Y.; Liu, Q.; Zhang, Q. Compared with Soil Fungal Diversity and Microbial Network Complexity, Soil Bacterial Diversity Drives Soil Multifunctionality during the Restoration Process. J. Environ. Manag. 2024, 354, 120379. [Google Scholar] [CrossRef] [PubMed]
- Hawksworth, D.L.; Lücking, R. Fungal Diversity Revisited: 2.2 to 3.8 Million Species. In The Fungal Kingdom; ASM Press: Washington, DC, USA, 2017; pp. 79–95. ISBN 9781683670827. [Google Scholar]
- Arévalo-Gardini, E.; Canto, M.; Alegre, J.; Arévalo-Hernández, C.O.; Loli, O.; Julca, A.; Baligar, V. Cacao Agroforestry Management Systems Effects on Soil Fungi Diversity in the Peruvian Amazon. Ecol. Indic. 2020, 115, 106404. [Google Scholar] [CrossRef]
- Ameen, F.; AlNAdhari, S.; Yassin, M.A.; Al-Sabri, A.; Almansob, A.; Alqahtani, N.; Stephenson, S.L. Desert Soil Fungi Isolated from Saudi Arabia: Cultivable Fungal Community and Biochemical Production. Saudi J. Biol. Sci. 2022, 29, 2409–2420. [Google Scholar] [CrossRef]
- Grishkan, I.; Raz, S.; Nevo, E. Microclimatic, Climatic, and Anthropogenic Factors Strongly Affect Cultivable Soil Microfungal Communities at a Canyon in the Mediterranean Region. Pedobiologia 2022, 93–94, 150820. [Google Scholar] [CrossRef]
- Martínez Mera, E.; Torregroza-Espinosa, A.C.; la Parra-Guerra, A.C.; Durán-Castiblanco, M.; Zapata-Herazo, W.; Rodríguez-Rebolledo, J.S.; Zabala-Sierra, F.; Alvarez, D.A.B. Soil Fungal Activity and Microbial Response to Wildfire in a Dry Tropical Forest of Northern Colombia. Diversity 2025, 17, 546. [Google Scholar] [CrossRef]
- Šeremešić, S.; Tančić Živanov, S.; Rajković, M.; Aćin, V.; Milić, S.; Babec, B.; Jovanović, S. Exploring Fungal Biodiversity in Crop Rotation Systems: Impact of Soil Fertility and Winter Wheat Cropping. Plants 2025, 14, 65. [Google Scholar] [CrossRef]
- Peña-Venegas, C.P.; Sterling, A.; Andrade-Ramírez, T.K. Arbuscular Mycorrhization in Colombian and Introduced Rubber (Hevea brasiliensis) Genotypes Cultivated on Degraded Soils of the Amazon Region. Agriculture 2021, 11, 361. [Google Scholar] [CrossRef]
- Blaix, C.; Dumont, B.; Bloor, J.M.G.; Zagaria, C.; Fleurance, G.; Joly, F.; Huguenin-Elie, O. Agroecological Interventions Increase Biodiversity and the Potential for Climate Change Mitigation in Europe. Agric. Ecosyst. Environ. 2026, 395, 109938. [Google Scholar] [CrossRef]
- Rosas-Medina, M.; Maciá-Vicente, J.G.; Piepenbring, M. Diversity of Fungi in Soils with Different Degrees of Degradation in Germany and Panama. Mycobiology 2020, 48, 20–28. [Google Scholar] [CrossRef] [PubMed]
- Instituto Geográfico Agustin Codazzi (IGAC). Estudio General de Suelos y Zonificación de Tierras Departamento de Caquetá, Escala 1.100.000; Imprenta Nacional de Colombia: Bogotá, Colombia, 2014; ISBN 978 958 8323 73-2. [Google Scholar]
- Murad, C.A.; Pearse, J. Landsat Study of Deforestation in the Amazon Region of Colombia: Departments of Caquetá and Putumayo. Remote Sens. Appl. 2018, 11, 161–171. [Google Scholar] [CrossRef]
- Sterling, A.; Suárez-Córdoba, Y.D.; Rodríguez-Castillo, N.A.; Rodríguez-León, C.H. Soil–Atmosphere Greenhouse Gas Fluxes Across a Land-Use Gradient in the Andes–Amazon Transition Zone: Insights for Climate Innovation. Land 2025, 14, 1980. [Google Scholar] [CrossRef]
- Maia, S.M.F.; Ogle, S.M.; Cerri, C.C.; Cerri, C.E.P. Changes in Soil Organic Carbon Storage under Different Agricultural Management Systems in the Southwest Amazon Region of Brazil. Soil Tillage Res. 2010, 106, 177–184. [Google Scholar] [CrossRef]
- Soil Survey Staff. Kellogg Soil Survey Laboratory Methods Manual; Soil Survey Investigations Report No. 42, Version 6.0; USDA: Lincoln, NE, USA, 2022. [Google Scholar]
- Bray, R.H.; Kurtz, L.T. Determination of Total, Organic, and Available Forms of Phosphorus in Soils. Soil Sci. 1945, 59, 39–46. [Google Scholar] [CrossRef]
- Kjeldahl, J. Neue Methode Zur Bestimmung Des Stickstoffs in Organischen Körpern. Fresenius’ Z. Anal. Chem. 1883, 22, 366–382. [Google Scholar] [CrossRef]
- Bouyoucos, G.J. Hydrometer Method Improved for Making Particle Size Analyses of Soils1. Agron. J. 1962, 54, 464–465. [Google Scholar] [CrossRef]
- Sarker, R.R.; Rashid, M.H.; Islam, M.A.; Jahiruddin, M.; Islam, K.R.; Jahangir, M.M.R. Tillage and Residue Management Impact on Microbial and Nematode Abundance Under Diverse Rice-Based Cropping Systems in Calcareous and Non-Calcareous Floodplain Soils. J. Soil Sci. Plant Nutr. 2023, 23, 2138–2151. [Google Scholar] [CrossRef]
- Crous, P.W.; Verkley, G.J.M.; Groenewald, J.Z.; Samson, R.A. Fungal Biodiversity, 1st ed.; CBS-KNAW Fungal Biodiversity Centre: Utrecht, The Netherlands, 2009; ISBN 9789070351779. [Google Scholar]
- Domsch, K.H.; Gams, W.; Anderson, T.H. Compendium of Soil Fungi; Academic Press Ltd.: London, UK, 1980; Volume 1, ISBN 9780122204012. [Google Scholar]
- Ulloa, M.; Hanlin, R.T. Nuevo Diccionario Ilustrado de Micología; American Phytopathological Society: St. Paul, MN, USA, 2006; ISBN 9780890543412. [Google Scholar]
- Stirling, D. DNA Extraction from Fungi, Yeast, and Bacteria. Methods Mol. Biol. 2004, 226, 53–54. [Google Scholar] [CrossRef]
- Kim, J.-S.; Seo, S.-G.; Jun, B.-K.; Kim, J.-W.; Kim, S.-H. Simple and Reliable DNA Extraction Method for the Dark Pigmented Fungus, Cercospora sojina. Plant Pathol. J. 2010, 26, 289–292. [Google Scholar] [CrossRef]
- Huang, X.; Duan, N.; Xu, H.; Xie, T.N.; Xue, Y.-R.; Liu, C.-H. CTAB-PEG DNA Extraction from Fungi with High Contents of Polysaccharides. Mol. Biol. 2018, 52, 621–628. [Google Scholar] [CrossRef]
- Brown, S.P.; Rigdon-Huss, A.R.; Jumpponen, A. Analyses of ITS and LSU Gene Regions Provide Congruent Results on Fungal Community Responses. Fungal Ecol. 2014, 9, 65–68. [Google Scholar] [CrossRef]
- Rojas-Cruz, A.F.; Ciceri-Coronado, C.; Reyes-Bermúdez, A. Mitochondrial Genotyping of Cultured Piaractus brachypomus Revealed Low Diversity and Mutations in Regions Involved in Metabolisms and Proliferation. Aquac. Fish. 2023, 8, 239–243. [Google Scholar] [CrossRef]
- Reddy, B.; Fields, R. Multiple Sequence Alignment Algorithms in Bioinformatics. In Proceedings of the Smart Trends in Computing and Communications; Zhang, Y.-D., Senjyu, T., So-In, C., Joshi, A., Eds.; Springer: Singapore, 2022; pp. 89–98. [Google Scholar]
- Misrianti, R.; Wijaya, S.H.; Sumantri, C.; Jakaria, J. Phylogenetic Tree Analysis for Bali Cattle Based on Partial Sequence 16S RRNA Mitochondrial DNA. E3S Web Conf. 2022, 335, 00014. [Google Scholar] [CrossRef]
- Oksanen, J.; Blanchet, G.; Friendly, M.; Kindt, R.; Legendre, P.; McGlinn, D.; Minchin, P.; O’Hara, R.; Simpson, G.; Solymos, P.; et al. Package ‘Vegan’: Community Ecology Package, Version 2.5-7. 2018. Available online: https://cran.r-project.org/web/packages/vegan/index.html (accessed on 19 November 2025).
- R Core Team. R: A Language and Environment for Statistical Computing. 2024. Available online: https://cran.r-project.org/ (accessed on 18 November 2025).
- Guevara, M.; Hartmann, D.; Mendoza, M. Diverse: A Package to Compute Diversity Measures, Version 0.1.5. 2023. Available online: https://CRAN.R-project.org/package=diverse (accessed on 20 November 2025).
- Nguyen, N.H.; Song, Z.; Bates, S.T.; Branco, S.; Tedersoo, L.; Menke, J.; Schilling, J.S.; Kennedy, P.G. FUNGuild: An Open Annotation Tool for Parsing Fungal Community Datasets by Ecological Guild. Fungal Ecol. 2016, 20, 241–248. [Google Scholar] [CrossRef]
- Põlme, S.; Abarenkov, K.; Henrik Nilsson, R.; Lindahl, B.D.; Clemmensen, K.E.; Kauserud, H.; Nguyen, N.; Kjøller, R.; Bates, S.T.; Baldrian, P.; et al. FungalTraits: A User-Friendly Traits Database of Fungi and Fungus-Like Stramenopiles. Fungal Divers. 2021, 105, 1–16. [Google Scholar] [CrossRef]
- Krivonos, D.V.; Konanov, D.N.; Ilina, E.N. FunFun: ITS-Based Functional Annotator of Fungal Communities. Ecol. Evol. 2023, 13, e9874. [Google Scholar] [CrossRef]
- Tedersoo, L.; Bahram, M.; Põlme, S.; Kõljalg, U.; Yorou, N.S.; Wijesundera, R.; Ruiz, L.V.; Vasco-Palacios, A.M.; Thu, P.Q.; Suija, A.; et al. Global Diversity and Geography of Soil Fungi. Science 2014, 346, 1256688. [Google Scholar] [CrossRef]
- Wickham, H.; Chang, W.; Henry, L.; Pedersen, T.; Takahashi, K.; Wilke, C.; Woo, K.; Yutani, H.; Dunnington, D. Package ‘Ggplot2’: Create Elegant Data Visualisations Using the Grammar of Graphics, Version 3.3.3. 2020. Available online: https://cran.r-project.org/web/packages/ggplot2/index.html (accessed on 15 November 2025).
- Revelle, W. Package: Psych—Procedures for Psychological, Psychometric, and Personality Research—R Package, Version 2.4.6.26. Repository: CRAN. 2024. Available online: https://cran.r-project.org/web/packages/psych/index.html (accessed on 15 November 2025).
- Bastian, M.; Heymann, S.; Jacomy, M. Gephi: An Open Source Software for Exploring and Manipulating Networks. In Proceedings of the Third International AAAI Conference on Weblogs and Social Media; PKP Publishing Services: Burnaby, BC, USA, 2009; Volume 3, pp. 361–362. [Google Scholar] [CrossRef]
- Csárdi, G.; Nepusz, T.; Traag, V.; Horvát, S.; Zanini, F.; Noom, D.; Müller, K.; Schoch, D.; Salmon, M. Igraph: Network Analysis and Visualization. CRAN: Contributed Packages. 2024. Available online: https://cran.r-project.org/web/packages/igraph/index.html (accessed on 25 November 2025).
- Chen, W.; Wang, J.; Chen, X.; Meng, Z.; Xu, R.; Duoji, D.; Zhang, J.; He, J.; Wang, Z.; Chen, J.; et al. Soil Microbial Network Complexity Predicts Ecosystem Function along Elevation Gradients on the Tibetan Plateau. Soil Biol. Biochem. 2022, 172, 108766. [Google Scholar] [CrossRef]
- Pinheiro, J.; Bates, D.; DebRoy, S.; Sarkar, D. Nlme: Linear and Nonlinear Mixed Effects Models. R Package, Version 3.1-131.1. 2018. Available online: https://cran.r-project.org/web/packages/nlme/index.html (accessed on 25 October 2025).
- Di Rienzo, J.A.; Casanoves, F.; Balzarini, M.G.; Gonzalez, L.; Tablada, M.; Robledo, C.W. InfoStat; Universidad Nacional de Córdoba: Córdoba, Argentina, 2020. [Google Scholar]
- Martinez-Arbizu, P. Package: “PairwiseAdonis”: Pairwise Multilevel Comparison Using Adonis Package, Version: 0.4.1. 2017. Available online: https://cran.r-project.org/web/packages/pairwise/index.html (accessed on 15 December 2025).
- Huang, H. LinkET: Everything Is Linkable. R Package, Version 0.0.7.4. CRAN Contributed. 2021. Available online: https://github.com/Hy4m/linkET (accessed on 15 December 2025).
- Harrell, F.E., Jr. Hmisc: Harrell Miscellaneous, Version: 5.1-3. CRAN: Contributed Packages. 2024. Available online: https://cran.r-project.org/web/packages/Hmisc/index.html (accessed on 25 October 2025).
- Lefcheck, J.; Byrnes, J.; Grace, J. Package ‘PiecewiseSEM’: Piecewise Structural Equation Modeling, Version 2.3.0; The Comprehensive R Archive Network: Vienna, Austria, 2023. Available online: https://cran.r-project.org/web/packages/piecewiseSEM/index.html (accessed on 25 November 2025).
- Iannone, R.; Roy, O. DiagrammeR: Graph/Network Visualization, Version: 1.0.11. CRAN: Contributed Packages. 2024. Available online: https://cran.r-project.org/web/packages/DiagrammeR/index.html (accessed on 15 December 2025).
- RStudio. RStudio, Version 2025.05.0. 2025. Available online: https://posit.co/download/rstudio-desktop/ (accessed on 25 October 2025).
- Brinkmann, N.; Schneider, D.; Sahner, J.; Ballauff, J.; Edy, N.; Barus, H.; Irawan, B.; Budi, S.W.; Qaim, M.; Daniel, R.; et al. Intensive Tropical Land Use Massively Shifts Soil Fungal Communities. Sci. Rep. 2019, 9, 3403. [Google Scholar] [CrossRef]
- Li, T.; Cui, L.; Song, X.; Cui, X.; Wei, Y.; Tang, L.; Mu, Y.; Xu, Z. Wood Decay Fungi: An Analysis of Worldwide Research. J. Soils Sediments 2022, 22, 1688–1702. [Google Scholar] [CrossRef]
- Yang, B.; Yang, Z.; He, K.; Zhou, W.; Feng, W. Soil Fungal Community Diversity, Co-Occurrence Networks, and Assembly Processes under Diverse Forest Ecosystems. Microorganisms 2024, 12, 1915. [Google Scholar] [CrossRef] [PubMed]
- Howard, N.; Pressel, S.; Kaye, R.S.; Daniell, T.J.; Field, K.J. The Potential Role of Mucoromycotina ‘Fine Root Endophytes’ in Plant Nitrogen Nutrition. Physiol. Plant. 2022, 174, e13715. [Google Scholar] [CrossRef] [PubMed]
- Zhang, S.; Cao, Z.; Liu, S.; Hao, Z.; Zhang, X.; Sun, G.; Ge, Y.; Zhang, L.; Chen, B. Soil Fungal Diversity, Community Structure, and Network Stability in the Southwestern Tibetan Plateau. J. Fungi 2025, 11, 389. [Google Scholar] [CrossRef] [PubMed]
- He, Z.; Yuan, C.; Chen, P.; Rong, Z.; Peng, T.; Farooq, T.H.; Wang, G.; Yan, W.; Wang, J. Soil Microbial Community Composition and Diversity Analysis under Different Land Use Patterns in Taojia River Basin. Forests 2023, 14, 1004. [Google Scholar] [CrossRef]
- Zhao, H.; Cui, Y.; Guan, Q.; Wang, K.; Zhuang, L.; Zeng, G.; Wei, Y.; Wu, F.; Yuan, H. Global Fungal Diversity and Distribution Patterns within the Order Hymenochaetales (Agaricomycetes, Basidiomycota). Mycosphere 2025, 16, 3257–3280. [Google Scholar] [CrossRef]
- Rodríguez-León, C.H.; Peña-Venegas, C.P.; Sterling, A.; Castro, D.; Mahecha-Virguez, L.K.; Virguez-Díaz, Y.R.; Silva-Olaya, A.M. Soil Quality Restoration during the Natural Succession of Abandoned Cattle Pastures in Deforested Landscapes in the Colombian Amazon. Agronomy 2021, 11, 2484. [Google Scholar] [CrossRef]
- Bahram, M.; Hildebrand, F.; Forslund, S.K.; Anderson, J.L.; Soudzilovskaia, N.A.; Bodegom, P.M.; Bengtsson-Palme, J.; Anslan, S.; Coelho, L.P.; Harend, H.; et al. Structure and Function of the Global Topsoil Microbiome. Nature 2018, 560, 233–237. [Google Scholar] [CrossRef]
- Zheng, J.; Zhang, F.; Zhang, B.; Chen, D.; Li, S.; Zhao, T.; Wang, Q.; Han, G.; Zhao, M. Biodiversity and Soil PH Regulate the Recovery of Ecosystem Multifunctionality during Secondary Succession of Abandoned Croplands in Northern China. J. Environ. Manag. 2023, 327, 116882. [Google Scholar] [CrossRef]
- Gao, C.; Xu, L.; Montoya, L.; Madera, M.; Hollingsworth, J.; Chen, L.; Purdom, E.; Singan, V.; Vogel, J.; Hutmacher, R.B.; et al. Co-Occurrence Networks Reveal More Complexity than Community Composition in Resistance and Resilience of Microbial Communities. Nat. Commun. 2022, 13, 3867. [Google Scholar] [CrossRef]
- Yasanthika, W.A.E.; Wanasinghe, D.N.; Mortimer, P.E.; Monkai, J.; Farias, A.R.G. The Importance of Culture-Based Techniques in the Genomic Era for Assessing the Taxonomy and Diversity of Soil Fungi. Mycosphere 2022, 13, 724–751. [Google Scholar] [CrossRef]
- Dziurzynski, M.; Gorecki, A.; Pawlowska, J.; Istel, L.; Decewicz, P.; Golec, P.; Styczynski, M.; Poszytek, K.; Rokowska, A.; Gorniak, D.; et al. Revealing the Diversity of Bacteria and Fungi in the Active Layer of Permafrost at Spitsbergen Island (Arctic)—Combining Classical Microbiology and Metabarcoding for Ecological and Bioprospecting Exploration. Sci. Total Environ. 2023, 856, 159072. [Google Scholar] [CrossRef]









| Species | Trophic Mode | CaAS | CoAS | DP | IP | MPSE | OF | SFAE |
|---|---|---|---|---|---|---|---|---|
| Acremonium polychromum | Pathotroph–Saprotroph–Symbiotroph | 35 (45.55) | ||||||
| Annulohypoxylon stygium | Saprotroph–Symbiotroph | 1.67 (18.6) | ||||||
| Apiotrichum gamsii | Saprotroph | 0.33 (0.31) | ||||||
| Arcopilus cupreus | Pathotroph–Saprotroph | 35.67 (12.69) | ||||||
| Aspergillus sp. 1 | Pathotroph–Saprotroph | 0.1 (0.03) | ||||||
| Aspergillus sp. 2 | Pathotroph–Saprotroph | 35.67 (12.69) | ||||||
| Aspergillus sp. 3 | Pathotroph–Saprotroph | 2 (7.64) | 0.1 (0.03) | 13.33 (12.54) | 0.67 (0.87) | |||
| Aspergillus sp. 4 | Pathotroph–Saprotroph | 17.17 (65.61) | ||||||
| Aspergillus sp. 5 | Pathotroph–Saprotroph | 13.33 (12.54) | ||||||
| Aspergillus sp. 6 | Pathotroph–Saprotroph | 0.17 (0.64) | ||||||
| Circinella simplex | Saprotroph | 1.0 (11.1) | ||||||
| Clonostachys farinosa | Pathotroph | 23.67 (8.42) | ||||||
| Clonostachys rosea | Pathotroph–Saprotroph–Symbiotroph | 24 (8.54) | ||||||
| Clonostachys rossmaniae | Pathotroph | 23.67 (8.42) | ||||||
| Corallomycetella elegans | Pathotroph–Saprotroph | 0.33 (0.31) | ||||||
| Corallomycetella repens | Pathotroph–Saprotroph | 0.9 (0.85) | 0.5 (0.47) | |||||
| Cubamyces menziesii | Saprotroph | 0.07 (0.06) | 0.33 (0.31) | |||||
| Curvularia lunata | Pathotroph–Symbiotroph | 1.33 (5.1) | ||||||
| Cyanoporus camptogrammus | Saprotroph | 40 (37.39) | ||||||
| Daldinia eschscholtzii | Saprotroph | 0.5 (0.47) | 1.33 (1.73) | |||||
| Diaporthe sojae | Pathotroph–Symbiotroph | 0.67 (7.4) | ||||||
| Earliella scabrosa | Saprotroph | 0.67 (7.4) | ||||||
| Fusarium concolor | Pathotroph–Saprotroph–Symbiotroph | 0.17 (0.16) | ||||||
| Fusarium polyphialidicum | Pathotroph–Symbiotroph | 0.17 (0.16) | ||||||
| Gongronella butleri | Saprotroph | 1.33 (5.1) | 0.5 (0.47) | 0.67 (0.87) | ||||
| Hypomontagnella monticulosa | Pathotroph–Saprotroph | 12 (11.21) | 0.33 (0.43) | |||||
| Hypoxylon investiens | Symbiotroph | 16.83 (21.91) | ||||||
| Hypoxylon pulicicidum | Saprotroph | 0.67 (0.62) | ||||||
| Lasiodiplodia theobromae | Pathotroph–Symbiotroph | 11.67 (10.9) | ||||||
| Metarhizium anisopliae | Pathotroph | 1.33 (0.47) | ||||||
| Metarhizium baoshanense | Pathotroph | 0.33 (0.12) | ||||||
| Metarhizium lepidiotae | Pathotroph | 23.67 (8.42) | ||||||
| Metarhizium robertsii | Pathotroph | 0.33 (0.12) | 0.67 (0.87) | |||||
| Montagnula chiangraiensis | Saprotroph | 0.33 (1.27) | ||||||
| Montagnula opulenta | Saprotroph | 0.33 (1.27) | ||||||
| Nectria augustoi | Pathotroph–Saprotroph–Symbiotroph | 0.33 (1.27) | 0.33 (3.7) | 23.67 (8.42) | 0.17 (0.16) | |||
| Neomassarina chromolaenae | Saprotroph | 0.33 (3.7) | ||||||
| Neomassarina pandanicola | Saprotroph | 0.33 (3.7) | ||||||
| Neopestalotiopsis clavispora | Pathotroph | 0.33 (0.31) | ||||||
| Paraconiothyrium brasiliense | Saprotroph | 23.67 (8.42) | ||||||
| Paraconiothyrium cyclothyrioides | Saprotroph | 27.67 (9.86) | ||||||
| Paraconiothyrium zingiberacearum | Saprotroph | 0.33 (0.12) | ||||||
| Penicillifer diparietisporus | Pathotroph–Saprotroph | 85.13 (23.67) | ||||||
| Penicillifer martinii | Pathotroph–Saprotroph | 0.33 (0.31) | ||||||
| Penicillium sp. 1 | Saprotroph | 0.33 (0.31) | ||||||
| Penicillium sp. 2 | Saprotroph | 85.13 (23.67) | 0.33 (0.31) | 7 (6.54) | ||||
| Penicillium sp. 3 | Saprotroph | 0.33 (1.27) | 0.33 (3.7) | |||||
| Penicillium sp. 4 | Saprotroph | 33.57 (31.57) | ||||||
| Penicillium sp. 5 | Saprotroph | 0.33 (0.31) | ||||||
| Penicillium sp. 6 | Saprotroph | 36 (12.81) | ||||||
| Penicillium sp. 7 | Saprotroph | 0.33 (0.12) | ||||||
| Penicillium sp. 8 | Saprotroph | 24.33 (22.74) | ||||||
| Penicillium sp. 9 | Saprotroph | 0.17 (0.64) | ||||||
| Phlebia floridensis | Saprotroph | 0.17 (0.16) | ||||||
| Polyporus ciliatus | Saprotroph | 0.17 (0.16) | ||||||
| Porogramme epimiltina | Saprotroph | 0.17 (0.16) | ||||||
| Pseudallescheria angusta | Pathotroph–Saprotroph | 0.33 (0.31) | 0.67 (0.87) | |||||
| Pseudodactylaria longidenticulata | Saprotroph | 0.33 (0.31) | ||||||
| Rigidoporus microporus | Saprotroph | 0.33 (0.31) | ||||||
| Rigidoporus vinctus | Saprotroph | 0.5 (0.47) | ||||||
| Roussoella neopustulans | Saprotroph | 0.33 (3.7) | ||||||
| Roussoella siamensis | Saprotroph | 0.67 (0.62) | ||||||
| Scedosporium apiospermum | Pathotroph | 0.33 (0.31) | ||||||
| Scedosporium boydii | Pathotroph | 0.5 (1.91) | 0.33 (3.7) | 0.17 (0.05) | 0.23 (0.22) | 2 (1.87) | 18.67 (24.3) | |
| Scedosporium sphaerospermum | Saprotroph | 0.33 (0.43) | ||||||
| Scytalidium synnematicum | Saprotroph | 0.33 (0.31) | ||||||
| Sesquicillium essexcoheniae | Saprotroph | 0.07 (0.06) | 0.17 (0.16) | |||||
| Sporoschisma juvenile | Saprotroph | 0.5 (0.47) | ||||||
| Striaticonidium cinctum | Pathotroph | 0.17 (0.16) | 0.33 (0.31) | |||||
| Talaromyces sp. 1 | Saprotroph | 0.33 (3.7) | 0.33 (0.31) | |||||
| Talaromyces sp. 2 | Saprotroph | 0.67 (2.55) | 1.33 (1.74) | |||||
| Talaromyces sp. 3 | Saprotroph | 0.33 (3.7) | 85.13 (23.67) | |||||
| Talaromyces sp. 4 | Saprotroph | 89.60 (24.92) | ||||||
| Tolypocladium album | Pathotroph–Saprotroph–Symbiotroph | 0.33 (0.12) | 0.67 (0.62) | |||||
| Tolypocladium tropicale | Pathotroph–Saprotroph–Symbiotroph | 0.33 (0.31) | ||||||
| Trichoderma sp. 1 | Pathotroph–Saprotroph–Symbiotroph | 1.79 (0.5) | ||||||
| Trichoderma sp. 2 | Pathotroph–Saprotroph–Symbiotroph | 1.79 (0.5) | 0.33 (0.12) | |||||
| Trichoderma sp. 3 | Pathotroph–Saprotroph–Symbiotroph | 1 (3.82) | 0.17 (0.16) | |||||
| Trichoderma sp. 4 | Pathotroph–Saprotroph–Symbiotroph | 0.17 (0.64) | ||||||
| Trichoderma sp. 5 | Pathotroph–Saprotroph–Symbiotroph | 0.33 (0.31) | ||||||
| Trichoderma sp. 6 | Pathotroph–Saprotroph–Symbiotroph | 0.67 (0.63) | ||||||
| Trichoderma sp. 7 | Pathotroph–Saprotroph–Symbiotroph | 0.17 (0.16) | ||||||
| Trichoderma sp. 8 | Pathotroph–Saprotroph–Symbiotroph | 1.79 (0.5) | ||||||
| Trichoderma sp. 9 | Pathotroph–Saprotroph–Symbiotroph | 0.33 (0.12) | ||||||
| Trichoderma sp. 10 | Pathotroph–Saprotroph–Symbiotroph | 1.33 (14.8) | ||||||
| Trichoderma sp. 11 | Pathotroph–Saprotroph–Symbiotroph | 0.33 (3.7) | 41.17 (38.71) | 0.33 (0.43) | ||||
| Trichoderma sp. 12 | Pathotroph–Saprotroph–Symbiotroph | 0.17 (0.64) | 0.33 (0.31) | |||||
| Truncospora tephropora | Saprotroph | 0.67 (0.62) | ||||||
| Umbelopsis angularis | Saprotroph | 0.17 (0.64) | ||||||
| Verruconis verruculosa | Saprotroph | 0.33 (3.7) | ||||||
| Westerdykella angulata | Saprotroph | 0.33 (3.7) | 4.43 (1.23) | |||||
| Westerdykella formosana | Saprotroph | 4.43 (1.23) | ||||||
| Xylaria curta | Saprotroph–Symbiotroph | 0.17 (0.16) |
| Network Metrics | DP | IP | CaAS | CoAS | SFAE | MPSE | OF |
|---|---|---|---|---|---|---|---|
| Total nodes | 9.00 ± 0.50 d | 12.00 ± 0.59 bc | 11.00 ± 0.51 c | 12.00 ± 0.53 bc | 11.00 ± 0.58 c | 14.00 ± 0.52 a | 13.00 ± 0.53 ab |
| Total edges | 30.00 ± 0.51 g | 63.00 ± 0.58 c | 52.00 ± 0.53 e | 55.00 ± 0.58 d | 46.00 ± 0.55 f | 75.00 ± 0.58 a | 69.00 ± 0.54 b |
| Average degree | 6.67 ± 0.19 d | 10.50 ± 0.30 a | 9.46 ± 0.27 b | 9.17 ± 0.27 b | 8.36 ± 0.24 c | 10.71 ± 0.31 a | 10.46 ± 0.30 a |
| Density | 0.83 ± 0.02 c | 0.96 ± 0.03 a | 0.95 ± 0.03 ab | 0.83 ± 0.02 c | 0.84 ± 0.02 c | 0.82 ± 0.02 c | 0.87 ± 0.03 bc |
| Clustering | 0.91 ± 0.03 ab | 0.96 ± 0.03 a | 0.96 ± 0.03 a | 0.80 ± 0.02 c | 0.84 ± 0.02 bc | 0.81 ± 0.02 c | 0.89 ± 0.03 ab |
| Average path length | 1.17 ± 0.02 a | 1.05 ± 0.02 b | 1.06 ± 0.01 b | 1.17 ± 0.03 a | 1.16 ± 0.02 a | 1.18 ± 0.03 a | 1.13 ± 0.03 ab |
| Positive edges (%) | 60.00 ± 0.58 a | 39.68 ± 1.15 bc | 30.77 ± 0.89 d | 36.36 ± 1.05 c | 39.13 ± 1.13 bc | 40.00 ± 0.58 b | 38.24 ± 1.10 bc |
| Negative edges (%) | 40.00 ± 0.58 c | 60.32 ± 1.74 b | 69.23 ± 2.00 a | 63.64 ± 1.84 ab | 60.87 ± 1.76 b | 60.00 ± 0.58 b | 61.76 ± 1.78 b |
| Modularity | 0.23 ± 0.01 f | 0.29 ± 0.01 e | 0.55 ± 0.02 bc | 0.61 ± 0.02 a | 0.50 ± 0.01 d | 0.57 ± 0.02 ab | 0.52 ± 0.02 cd |
| Network complexity | 3.35 ± 0.15 d | 5.27 ± 0.21 ab | 4.75 ± 0.20 c | 4.60 ± 0.17 c | 4.20 ± 0.17 c | 5.37 ± 0.18 a | 5.31 ± 0.19 ab |
Disclaimer/Publisher’s Note: The statements, opinions and data contained in all publications are solely those of the individual author(s) and contributor(s) and not of MDPI and/or the editor(s). MDPI and/or the editor(s) disclaim responsibility for any injury to people or property resulting from any ideas, methods, instructions or products referred to in the content. |
© 2026 by the authors. Licensee MDPI, Basel, Switzerland. This article is an open access article distributed under the terms and conditions of the Creative Commons Attribution (CC BY) license.
Share and Cite
Sterling, A.; Arboleda-Gasca, K.V.; Suárez-Córdoba, Y.D.; Velasco-Anacona, G.P.; Ciceri-Coronado, C.; Rodríguez-León, C.H. Diversity of Cultivable Soil Fungal Taxa Across a Land-Use Gradient in the Andes–Amazon Transition Zone: Insights from Agroecological Systems. Diversity 2026, 18, 138. https://doi.org/10.3390/d18030138
Sterling A, Arboleda-Gasca KV, Suárez-Córdoba YD, Velasco-Anacona GP, Ciceri-Coronado C, Rodríguez-León CH. Diversity of Cultivable Soil Fungal Taxa Across a Land-Use Gradient in the Andes–Amazon Transition Zone: Insights from Agroecological Systems. Diversity. 2026; 18(3):138. https://doi.org/10.3390/d18030138
Chicago/Turabian StyleSterling, Armando, Karla V. Arboleda-Gasca, Yerson D. Suárez-Córdoba, Ginna P. Velasco-Anacona, Carlos Ciceri-Coronado, and Carlos H. Rodríguez-León. 2026. "Diversity of Cultivable Soil Fungal Taxa Across a Land-Use Gradient in the Andes–Amazon Transition Zone: Insights from Agroecological Systems" Diversity 18, no. 3: 138. https://doi.org/10.3390/d18030138
APA StyleSterling, A., Arboleda-Gasca, K. V., Suárez-Córdoba, Y. D., Velasco-Anacona, G. P., Ciceri-Coronado, C., & Rodríguez-León, C. H. (2026). Diversity of Cultivable Soil Fungal Taxa Across a Land-Use Gradient in the Andes–Amazon Transition Zone: Insights from Agroecological Systems. Diversity, 18(3), 138. https://doi.org/10.3390/d18030138

