Abstract
When analyzing the long-term viability of small, declining populations, it is essential to recognize that inbreeding and the erosion of genetic diversity are primarily driven by the effective population size, which is often a fraction of the total census count. The globally endangered Lear’s macaw (Anodorhynchus leari) is a restricted-range species endemic to the Caatinga ecoregion in NE Brazil. This species was only known in captivity due to wildlife illegal trade, until 1978, when a small population close to extinction was discovered in the wild, estimated at ca. 60 individuals in 1983. Conservation efforts have allowed for population recovery in recent decades, reaching a population of ca. 2273 individuals in 2022. Given these drastic population changes, a genetic assessment is important to empower conservation strategies with knowledge about the level of genetic variability, population genetic structure, inbreeding levels, and demographic history. We used a set of eight species-specific microsatellites to provide the first genetic assessment of the wild population of this species by genotyping non-invasive samples (molted feathers) collected in the known breeding and roosting sites of the species. Our results revealed a low effective population size (Ne = 49–80), which represents the main conservation concern. We also observed evidence of past bottlenecks. However, moderate levels of genetic diversity, no evidence of inbreeding, and a wide connectivity across the study area confirm a single population and set the ground for the potential natural recovery of this species and the recolonization of breeding sites across its former range.
1. Introduction
Many parrot species (order Psittaciformes) have experienced extreme reductions in their population sizes and distribution ranges, mainly caused by the destruction and degradation of their habitats and wildlife trade, making them one of the bird orders of greater conservation concern, with ca. one third of the species threatened with extinction [1]. A concerning consequence of such population declines is the erosion of genetic diversity [2], which may compromise fitness and population viability [3]. The effective population size is a key demographic parameter informing the evolutionary potential of a species over the medium to long term and on rates of diversity loss and inbreeding accumulation over the short term [3]. Populations with effective sizes < 500 may be especially vulnerable to extinction, and one of the conservation concerns in long-lived species with small or isolated populations is that they may also be subject to inbreeding depression [3,4]. Deleterious effects of genetic impoverishment and inbreeding depression can increase the vulnerability of populations to anthropogenic impacts, environmental perturbations, and to stochastic events [5,6]. The relationship between demography and genetics can be complex, as illustrated by Florida Scrub-Jays (Aphelocoma coerulescens). Despite reduced immigration and increased inbreeding, populations remained temporarily stable due to a compensatory rise in breeders. Density-dependent immigration, survival, and fecundity buffer short-term demographic change; however, within a few generations, formerly continuous populations can rapidly diverge in heterozygosity and inbreeding, leading to severe local declines despite ongoing gene flow [7,8]. Consequently, genetic status assessments are required to guide the conservation management programs of endangered species and small populations that may be affected by demographic declines [9,10,11] and to supervise the recovery of post-bottlenecked populations [12,13,14].
One of these cases is the endangered Lear’s macaw (Anodorhynchus leari), endemic to the Caatinga dry forest in north-central Bahia state, Brazil (Figure 1). The species was thought to be extinct in the wild until a small group of macaws was located in 1978 in the Raso da Catarina (RASO) plateau [15,16]. This relict population of A. leari probably shrunk following a long-term decline and has since remained concentrated in two close breeding and roosting areas [17]. After intensive conservation efforts, this population has experienced an outstanding demographic recovery in the last 40 years, from ca. 60 birds to a maximum of 2273 birds counted in the roost counts in 2022, according to the long-term census data provided by CEMAVE-ICMBio [18], leading IUCN to downlist the species from ‘Critically Endangered’ to ‘Endangered’ in 2009.
Figure 1.
(A): Study area in the north of Bahia (BA) state in the Caatinga ecoregion (pink) in north-east of Brazil; (B): Lear’s macaw roosting site localities: blue and green indicate sampled localities, whereas yellow indicates localities not sampled (map by Erica C. Pacífico and Gabriela Favoretto). Dots represent core breeding and roosting localities 37 km apart (red arrow), and triangles represent areas of recent expansion of the population (blue: historical breeding and roosting sites on sandstone cliffs; green: new roosts on trees); (C): roosting cliffs (Barreiras); (D): molted feathers found on the ground at the bottom of a roosting cliff (photo by M. Fernanda L. da Silva). (E): Breeding pair of Lear’s macaws in the nest entrance (photo by Cristine Prates). (F): Molted feathers found inside a nest cavity (photo by Erica C. Pacífico).
Additional minor breeding nuclei of A. leari (Figure 1, Table 1) may have, however, remained overlooked. According to local farmers, the Boqueirão da Onça area (BDO, distant 230 km from RASO) historically retained more than 100 individuals until bird traffickers systematically captured the macaws in their roosts [19]. While the RASO population increased in the past 10 years and possibly expanded to other peripheral and historical breeding areas [20], just two non-breeding individuals were observed at BDO, and their roosting site was not located. This is an example of the important knowledge gaps that remain regarding the actual number of populations of A. leari, their connectivity, and the magnitude of recent declines or extinctions across the species’ range. Many of these gaps could be addressed with genetic analyses to infer demographic parameters [2,21].
Table 1.
Number of individuals observed (Nobs; according to the long-term census data by CEMAVE-ICMBio and authors’ personal observations in 2014 [18]), number of molted feathers collected (Ncol), number of feathers selected for DNA extraction (Next), number of feathers with molecular sexing consistent results (Nsex), number of feathers successfully genotyped (Ngen), and number of unique individuals identified after genotyping (Nindiv), excluding the repeated individuals identified in each locality.
In the case of A. leari, like other parrots, it is key to develop protocols for genetic diversity characterization [2]. The Lear’s macaw nests and roosts on cliffs of difficult access [20,22], and thus, non-invasive sampling protocols may be an effective way to obtain genetic samples (e.g., molted feathers), avoiding the difficult and stressful capture and manipulation of adult individuals. Molted feathers can be collected at roosting and nesting sites [23,24,25].
Despite the recent demographic recovery, we hypothesize that the current A. leari population may suffer from genetic impoverishment as a result of a potential past genetic bottleneck [26]. Therefore, the present work aims to assess the genetic status of the species in the wild, based on individual microsatellite genotypes obtained from molted feathers systematically collected from known breeding and roosting areas. Specifically, we aimed to (1) estimate the genetic diversity and effective population size for each locality and for the entire wild population; (2) assess the population genetic structure across the species distribution; and (3) test for evidence of recent genetic bottlenecks. This research represents a first step towards a protocol for a genetic monitoring program of the population of this globally endangered species in the wild.
2. Materials and Methods
2.1. Study Area and Field Sampling
The study area comprised the entire remaining known distribution of A. leari located in the RASO plateau in north-central Bahia state, Brazil, within the Caatinga ecoregion [27] (Figure 1A). Caatinga is one of the largest tropical semi-arid regions in the world, marked by consistently high temperatures throughout the year and a prolonged dry season lasting six to eleven months annually [28,29]. The landscape is dominated by dry forests with a variety of tree and shrub vegetation called Recôncavo, marked by high shrub endemism and cliffs characterized by alternating sandstone and limestone outcrops delimited by intermittent rivers [30,31]. The species nests were exclusively recorded at sandstone-deep natural cavities (Figure 1C,E), mostly in the same cliffs where roosts are located. Recently, we have also recorded seasonal roosting sites in trees (authors pers. obs.).
We sampled the known breeding and roosting sites (Table 1): the two breeding core areas, called Estação Biológica de Canudos (Toca Velha) and Estação Ecológica do Raso da Catarina (Serra Branca), and three sites that were identified after 2014 and are considered recently recolonized areas [20] at Terra Indígena Brejo do Burgo (Baixa do Chico), Barreiras Farm, and Barra do Tanque Village (the last one holding roosting but not breeding birds). These five localities are located between 37 and 57 km apart (Figure 1B). For obtaining DNA samples, we relied on molted feathers (Table 1) as a non-invasive genetic sampling [24,32]. We collected molted feathers (n = 1189) at the base of roosting cliffs (Figure 1C,D) between 2010 and 2016. Most feathers were collected during the breeding season (72%) from December to April between 2014 and 2016, including 21 found within 16 nests at the Toca Velha breeding site (Figure 1E,F), as described in Pacífico et al. [33]. Field sampling representation was based on the number of individuals observed (Nobs) roosting in each locality in the years of sampling (Table 1). Feather samples were stored in paper envelopes and frozen at −18 °C. From a total of 1186 feathers, 621 were selected for DNA extraction, as their tips and calamus seemed to not be too humid, dirty, or damaged.
2.2. DNA Extraction, Sex Determination, and Microsatellite Genotyping
Following Presti et al. [23], we used either the umbilicus blood clot of each feather or the tip of the calamus for DNA extraction. The clot was the preferred source; however, if it was too humid, dirty, or damaged, the calamus was used. Each sample was then digested overnight at 56 °C in a solution of 315 μL of digestion buffer (100 mM NaCl; 50 mM Tris pH 7.5; 50 mM EDTA pH 8.0; and SDS 1%) and 25 μL of proteinase K at 20 mg/mL. After digestion, total DNA was isolated using a robotic Freedom EVO platform (Tecan, Männedorf, Switzerland). DNA of sufficient quality and quantity was obtained for only 155 samples.
We first determined the sex of the donor of each feather by PCR using primers M5-P8, which are recommended for low-quality material following the protocols of Bantock et al. [34]. The samples that were successfully amplified were then genotyped with eight species-specific polymorphic microsatellite primers (Table 2) in a single multiplex panel [35]. Total PCR volume was 14 μL, including 6.25 μL of Type-it mastermix (Qiagen, Venlo The Netherlands), 4.75 μL of primer mix (composed by 0.25 μL of a mix of 10 μM forward-F + reverse-R primers of markers Ale176, Alea20, Alea23, Alea4, Alea5, and Ale606, respectively; 0.5 μL of a mix of 10 μM F + R primers of marker Ale281; and 1 μL of a mix of 10 μM F + R primers of marker Alea28), 1 μL of RNAse-free water, and 2 μL of template DNA [33,36]. Thermocycling conditions consisted of initial denaturation (5 min at 95 °C), followed by 30 cycles of denaturation (30 s at 95 °C), annealing (90 s at 62 °C), and extension (30 s at 72 °C), with a final extension step of 30 min at 60 °C. All samples were independently amplified twice, and fragment sizes were analyzed with an ABI Prism 3730 sequencer (Applied Biosystems, Foster City, CA, USA). Alleles were scored manually using GeneMapper v4.0 (Applied Biosystems). We revised the concordance of the two genotypes obtained for each sample to define its consensus genotype. Whenever possible, missing data of individual genotypes were resolved based on either of the two complementary amplifications of the corresponding sample. Apparent mismatches were addressed on a case-by-case basis by visual inspection of sequencing chromatograms of pairs of duplicated samples, in search of potentially overlooked small allele peaks.
Table 2.
Panel of eight microsatellite markers used for genotyping DNA samples of A. leari. The marker name, labeling dye, total number of alleles registered in our dataset (N. Alleles), allele size range in base pairs, and the number of localities showing evidence of significant departures from Hardy–Weinberg equilibrium (HWE) are shown for each marker, along with their references.
2.3. Individual Identification
Given that the feathers were not directly taken from individuals, we screened all genotypes to identify samples corresponding to the same individual. After assessing possible mismatches between duplicated genotypes, we used GenAlEx v6.5b3 [37] to (i) calculate the Probability of Identity (PI, also accounting for the possible presence of siblings in the sample, PIsibs) of the combined set of eight microsatellite markers in each of the sampling localities, and (ii) test for multilocus matches among all samples (Supplementary Table S1). We then removed duplicate individuals to generate a dataset of unique genotypes for each locality.
2.4. Genetic Diversity
Genetic diversity was characterized for each locality and for the complete dataset by estimating allelic richness (AR), observed (HO) and expected heterozygosity (HE), the number of private alleles (PA), and the inbreeding coefficient FIS, using GenAlEx v6.5b3. We used Genepop v1.2 [38] to test for departures from Hardy–Weinberg equilibrium and for linkage disequilibrium among all markers, applying the sequential Bonferroni correction to penalize for multiple comparisons [39].
2.5. Genetic Differentiation, Migration Rates, and Population History
We used Genepop to estimate overall FST and R package diveRsity v1.9.90 [40] to estimate pairwise differentiation between sampling localities using two metrics, Hedrick’s GST [41] and Jost’s D [42], and assessed their 95% confidence intervals with 1000 bootstrap iterations. We then explored the genetic structure across the study area using Bayesian clustering analysis in Structure [43]. We implemented ten replicates for each possible number of clusters (K) from one to ten in correlated allele frequencies analyses [44], setting 106 burn-in and 106 post-burn-in iterations. The likelihood of the different K-values was inspected using the original [43] and the Delta [45] methods in STRUCTURE HARVESTER v0.6 [46]. Results were summarized with Clumpak v1.1 [47]. We also estimated migration rates per generation among the five localities using BayesAss v3.0.4 [48]. We ran 10 replicates with different random seeds using all genotyped feather samples in each locality. Each run consisted of 107 iterations, discarding the first 2*106 iterations as burn-in. We adjusted mixing parameters for migration rates (0.9), allele frequencies (0.8), and inbreeding coefficients (0.9) in order to obtain mixing rates between 20 and 60%. We used Tracer v1.7.2 [49] to explore the concordance of posterior estimates across runs. We calculated the Bayesian deviance for each run following the Appendix in [50] and selected the run with the lowest value to report parameter estimates [51].
Finally, we checked for evidence of recent bottlenecks in each locality and for the complete dataset using BOTTLENECK [52]. We assessed the significance of possible heterozygosity excess under the infinite allele (IAM), two-phase (TPM), and stepwise mutation (SMM) models using two-tailed Wilcoxon tests.
2.6. Effective Population Size
Considering the population history of the species, it is possible that there is extensive gene flow among current A. leari demes, and even that all localities constitute a single panmictic population. Therefore, we used two single-sample genetic methods to estimate the effective population size (Ne) for each locality separately and for the complete dataset. First, we used Colony [53] to estimate Ne based on the sibship frequency (SF) method [54]. We ran eight replicates for each analysis, including two replicates for each combination of sibship size prior (setting either no prior or a weak prior for both paternal and maternal sibship sizes = 1, see Sánchez-Montes et al. [55]) and inbreeding parameter (either accounting for the possibility of inbreeding in the population or not). All analyses were performed with very long run and very high precision settings (except for the complete dataset, which was performed with long run and high precision settings due to its computational complexity), accounting for the possibility of polygamy in both sexes. Second, we estimated Ne using the linkage disequilibrium (LD) method in NEESTIMATOR [56] for each locality and the complete dataset. We compared results using different minimum allele frequency thresholds (either 0.05, 0.02, 0.01, or including all alleles) and estimated 95% confidence intervals by the JackKnife method.
3. Results
3.1. Non-Invasive Biological Sampling and Individual Identification
We collected a total of 1189 feathers (including 21 found within 16 nests), and 621 of them were selected for DNA extraction. Excluding the low-quality DNA material, we were able to identify the individuals’ sex from 155 feathers and to successfully genotype 138 of them at five or more of the microsatellite loci (Table 1).
The Probability of Identity (PI) of the combined set of eight loci was <1.0 × 10−6 in all localities, and this power for individual discrimination was still high when accounting for the possible presence of siblings in the sample (all PIsibs < 0.002). Of the 138 genotyped molted feather samples, 16.67% (n = 23) showed matching genotypes with at least another sample (see Table 1). All apparent mismatches between pairs of duplicated samples were caused by initially undetected small allele peaks in one of the samples and were unambiguously resolved after case-by-case revision. Multiple feather samples were assigned to eleven individuals from Toca Velha (three males, eight females—one female with four feathers), one from Serra Branca (undetermined sex), six from Baixa do Chico (four males and two females), and three from Barreiras (two males—one male with three feathers, one female). All matched genotypes in Serra Branca and Barreiras were from samples collected in the same year (2014), whereas matches in Toca Velha and Baixa do Chico were collected with up to three (2010–2013) or two (2014–2016) years difference, respectively. No matches were found in Barra do Tanque nor among samples obtained in different roosting localities.
Among the samples from the areas where the macaws have recently expanded (Barreiras, Barra do Tanque, and Baixa do Chico; Table 1), those from Barreiras were the best represented (70%; 21 individuals identified from ~30 individuals counted at roosts), and thus, genetic sampling can be considered representative. On the other hand, in Baixa do Chico, sample representation amounted to 31.25% (25 individuals were identified from ~80 individuals counted at roosts), and in the Barra do Tanque area, only 6% of the estimated local population was genotyped (9 individuals identified from ~150 individuals estimated). In the core areas of Toca Velha and Serra Branca, representation was, respectively, 6.9% (~750 estimated population by year, 52 individuals) and 0.9% (9 individuals identified from ~1000 estimated population).
3.2. Genetic Diversity, Differentiation, Migration Rates, and Population History
All localities, as well as the pooled dataset, showed moderate levels of genetic diversity, with Toca Velha presenting the highest estimates (Table 3). No evidence of consistent departure from Hardy–Weinberg equilibrium or linkage disequilibrium between any pair of markers was observed after applying the Bonferroni correction. No evidence of strong inbreeding (i.e., high values of FIS) was found in any locality.
Table 3.
Sample size (Nindiv) and average estimates (and standard errors) of genetic diversity indexes and effective population size (Ne, both sibship frequency -SF- and linkage disequilibrium -LD- methods), with 95% confidence intervals (95% CI) for each locality and for the complete dataset. AR: allelic richness, HO: observed heterozygosity, HE: expected heterozygosity, PA: number of private alleles (calculated for specific localities), FIS: inbreeding coefficient; Sib. prior: use or not of the weak sibship size prior = 1 in Ne (SF) analyses; Inbreeding: use or not of the inbreeding prior in Ne (SF) analyses; and Lfreq: lowest allele frequency included in the Ne (LD) analyses.
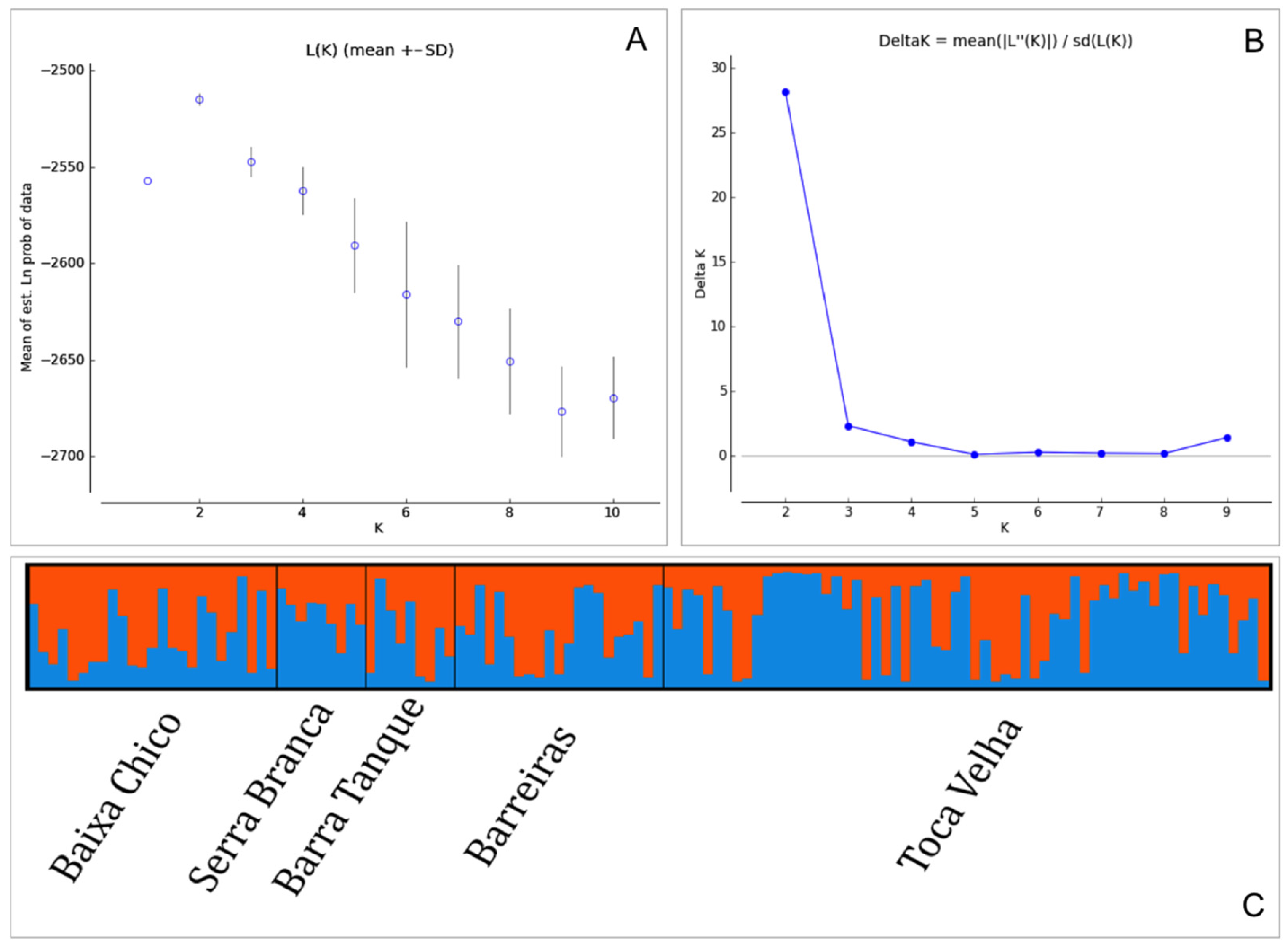
Overall genetic differentiation across subpopulations was low (overall FST = 0.014). Only two pairs of localities showed a slight differentiation measured as GST (Toca Velha vs. Barra do Tanque = 0.1; Toca Velha vs. Barreiras = 0.047), whereas none of the Jost’s D comparisons were significantly > 0 (Table 4). Low differentiation values were in concordance with the results of Structure; although the most likely value of K was 2 according to both the original and Delta methods, individuals from all the five localities showed genetic admixture (Figure 2). Results of BayesAss were similar across replicates, which showed deviances ranging from 4248.55 to 4272.11. According to the BayesAss run with the lowest deviance, all five localities were connected by migration rates per generation in the range between 0.0316 and 0.1147. Serra Branca and Toca Velha were connected by bidirectional migration rates > 0.1, and both localities were also inferred as important sources of migrants for Barra do Tanque and Baixa do Chico, respectively (Table 5). We obtained significant evidence of recent bottlenecks in the localities of Toca Velha and Baixa do Chico as well as in the complete dataset, and these results were consistent across the three allelic mutation models considered (Table 6).
Table 4.
Pairwise genetic differentiation among the five sampling localities (upper diagonal: Hedrick’s GST; lower diagonal: Jost’s D). Significant values (with the lower limit of the bias-corrected, bootstrapped 95% interval > 0) are in bold.
Figure 2.
Population genetic structure among the five sampled localities: likelihood of the different numbers of clusters (K) following (A) the original and (B) the Delta K methods. (C) Individual assignment plot showing the probability of assignment of each individual to either one of the K = 2 predefined clusters.
Table 5.
Pairwise migration rate estimates (and standard deviations of the marginal posterior distribution for each estimate) among the five sampling localities. Estimates refer to the fraction of individuals in population i (in rows) inferred as migrants from population j (in columns) per generation [48]. Values > 0.1 are marked in bold.
Table 6.
Results (p-values) of the two-tailed Wilcoxon tests of bottlenecks for each locality and the combined dataset (marked in bold) under the infinite allele (IAM) two-phase (TPM) and stepwise mutation (SMM) models.
3.3. Effective Population Size
Both SF and LD methods produced similar effective population size (Ne) estimates for most localities and for the pooled dataset. For the total dataset, Ne was consistent across methods and analytical settings, indicating an overall low Ne of approximately 49 to 80 individuals (Table 3). In contrast, locality-level estimates were more sensitive to the analysis, particularly the use of a sibship size prior in the case of the SF analyses. Serra Branca and Barra do Tanque showed up to six-fold variation in SF-based Ne estimates depending on sibship size prior (Table 3), while LD-based estimates fell between these extremes. In some cases, both localities showed wide 95% confidence intervals, including infinite upper limits. Toca Velha showed the most consistent results, with Ne estimates ranging between 22 and 30 and a high concordance between SF and LD methods. Barreiras and Baixa do Chico showed SF estimates with informative 95% confidence intervals but a two-fold difference depending on the sibship size prior. For these two localities, LD estimates were higher, with extremely wide (95%) confidence intervals reaching infinity. Although LD point estimates for Barreiras were the highest among all samples, including the pooled dataset, they remained below 100.
4. Discussion
Our results provide the first assessment of the genetic diversity and population genetic structure of the wild population of A. leari from localities where this species breed during the sampling period plus one communal roosting area (Barra do Tanque). The main conservation concern raised by our results is that the effective population size is dramatically low, even below the lowest threshold recommended for preventing inbreeding depression in the short term, and much lower than that required for retaining evolutionary potential [57]. On the other hand, despite evidence of recent bottlenecks, the wild population of A. leari still harbors moderate levels of genetic diversity, similar to other threatened macaws or other macaw species [25,58]. This non-negligible diversity, along with the wide functional connectivity that the five existing nuclei seem to maintain, represent the best assets to encourage conservation efforts for which the establishment of a genetic monitoring program will be a cornerstone.
Considering the demographic declines documented for the Lear’s macaw in the last century [17], we expected that the surviving population might show irreversibly impoverished genetic diversity, which would suggest a limited viability in the long term [4,57]. Fortunately, our results show that A. leari still maintains a moderately diverse genetic pool in the wild, at least in comparison to those documented for other endangered macaws with a restricted range of distribution (e.g., Ara militaris [58], Ara rubrogenys [25], Ara glaucogularis [59]) or other macaw species also under management (e.g., Ara macao [24,60,61]). The maintenance of moderate levels of genetic diversity with low numbers of individuals in the wild could indicate that genetic compensation mechanisms (i.e., as suggested by [62]: reduced competition among males) may have been operating, allowing for the maintenance of high effective/census ratios at low population sizes, thus helping to counteract the demographic bottleneck [62]. Alternatively, the population decline due to harvesting and/or environmental anthropogenic impacts [63,64] might be recent, to the point that they are still not fully reflected in reduced genetic diversity [65,66] considering the long generation time (c. 8.5 years, based on E. C. Pacífico field observations) and longevity of this species (c. 40 years [67]; 41 years, E. C. Pacífico after C. Yamashita, field observations; and 43.57 years [68]). Still, specific tests revealed evidence of recent bottlenecks in Baixa do Chico and Toca Velha, which are probably driving the significant evidence of bottlenecks for the overall population. As a result, the consequences of severe declines in recent decades or centuries are patent in the genetic heritage of the current population. Further research, preferably in the frame of a standardized genetic monitoring program, is thus necessary to disentangle the role of intrinsic, environmental, and anthropogenic factors on the demographic stability of A. leari, especially in localities where population reinforcement with captive or rescued individuals is occurring (e.g., Boqueirão da Onça site; [60]).
Our genotype dataset, obtained from molted feathers, illustrates that such a genetic monitoring program is feasible on the basis of non-invasive sampling [24]. This is key in the case of endangered species with ecological habits that make difficult or discourage the capture of individuals (e.g., [69]), where capturing wild adults is extremely challenging and poses a significant risk of injury or mortality, thus underscoring both the challenges of sample collection and the lower number of feathers collected relative to the estimated population size. Even after discarding lower-quality DNA extractions and feathers from the same individuals, which were identified by their genotypes, the remaining dataset still proved useful for our genetic assessment and offered new insights into the biology of A. leari. For example, none of the breeders genotyped by feathers collected in the nests (n = 21) were among those with genotyped feathers collected on the ground at the bottom of roost cliffs in the same locality (n = 41). Breeding individuals may segregate spatially or temporally from individuals, contributing molted feathers at communal roosts, and suggesting previously unrecognized patterns of reproductive phenology, molt timing, or spatial segregation between breeding and non-breeding individuals. Further research on parentage analysis and information about the molting season are thus required to confirm aspects of the reproductive phenology, breeding behavior, and movement ecology of A. leari. This may be critical for the success of non-invasive genetic programs and the subsequent effectiveness of conservation efforts.
In this study, most molted feathers were collected at the base of macaw roosting cliffs, where they had been exposed to sunlight for an unknown period of time in a dry region characterized by consistently high year-round temperatures [28,29,70]. This could justify the low amount of high-quality DNA extracted from these feathers. Also, although the feather type appears to have a limited effect on amplification success, some studies have shown that primaries [70] and tail feathers yield better results than secondaries and smaller feathers, such as tertials and coverts [70,71]. Given the challenges of collecting non-invasive samples from A. leari in the field, we sampled all available feathers, including secondaries, which may have contributed to lower DNA quality and quantity.
Although still exploratory, given the low amount of individual genotypes available and the unbalanced representation of the total N across the species core distribution (i.e., Serra Branca), our results suggest that the observed levels of genetic diversity provide some grounds for the maintenance of fitness and evolutionary potential in the surviving wild population of A. leari. However, according to effective population size (Ne) estimates, the remaining breeding nuclei are alarmingly small, and all Ne estimates obtained with two methods were lower than 100 for the entire wild population. This discrepancy likely reflects a temporal lag between recent demographic declines and their genetic consequences, particularly in a long-lived species rather than an absence of genetic risk. This raises serious concern about the short-term vulnerability of the species to inbreeding depression and its capacity to cope with ongoing threats such as global change and anthropogenic pressure, including habitat loss and disturbance in breeding areas by invasive species and poaching, as well as the death of breeding individuals by electrocution [20,57,64,72]. In this exploratory assessment, we did not find evidence of inbreeding in any of the sampling localities. However, further expanded and systematic sampling is recommended to monitor the inbreeding levels of the core breeding nuclei and the newly occupied breeding localities resulting from population expansion, at least until the full population recovery is achieved. Population recovery must be corroborated through a combined demographic-genetic framework that integrates the following: (1) population census based on counts of active nests and individuals at roosting sites, providing information on stable or increasing trends across generations, together with breeding success estimates and evidence of consistent recruitment; (2) genetic criteria based on estimates of Ne and genetic diversity indicators that provide information on stable heterozygosity, no increase in inbreeding, absence of new bottleneck signals coefficients, and connectivity over time.
Results of genetic structure assessment suggest a sustained connectivity across the study area, contrasting with the genetic differentiation among close cliff-nesting subpopulations recently found in the red-fronted macaw (Ara rubrogenys [25]). The lack of genetic structure in A. leari is consistent with other sources of information, such as the seasonal movements between the roosts of Toca Velha and Serra Branca and the records of macaws individually marked in Toca Velha and re-sighted at Barreiras, which confirm individual dispersal between these two localities (authors pers. obs.). Both concordant results of low genetic differentiation between sampled localities and wide genetic admixture throughout the study area imply the maintenance of relatively frequent gene flow across the species range [10] and support a single conservation management unit [73]. In this line, some localities seem to be especially connected by relatively high migration rates per generation. This is the case for Toca Velha and Serra Branca, the two current main breeding sites for the species. Natural connectivity is crucial for the integrity of the gene pool of the wild population [25,74].
This recovery should be monitored by the periodic assessment of the effective population size. In this exploratory report, we obtained robust Ne estimates for the two localities with larger sample sizes (Toca Velha and Baixa do Chico). In Toca Velha, Ne is between 21 and 30, whereas in Baixa do Chico, we obtained estimates between 14 and 45. Both localities, as well as the overall population (Ne = 49–80), are below the recommended threshold of 100 [57], as has also been shown for other threatened parrot species which suffered genetic bottlenecks [75]. Therefore, favoring the natural connectivity between roosting areas, preventing further population reductions through the protection of the breeding and roosting sites, and eliminating the growing risk of electrocution should be conservation priorities. Our results revealed more uncertainty about the Ne of other localities, which should be reassessed in future studies with increased sample size, especially in Serra Branca, which is a historically important breeding nucleus for A. leari [17]. Further sampling should thus focus on the different breeding areas, which will be key to quantifying the variation in effective sizes and breeding success throughout the lifetime of individuals and across generations for their natural expansion after recovery.
5. Conclusions
This exploratory genetic assessment of the wild A. leari population illustrates that molecular markers can provide genetic information to study the demography of the Lear’s macaw from non-invasive tissue samples. The wide connectivity across the range of distribution can be taken as evidence of a single population, and even though low effective population sizes may be a concern, moderate genetic diversity levels and the lack of evidence of strong inbreeding raise optimism about the recovery of the wild population, as long as adequate conservation programs that include a proper genetic monitoring protocol are established soon.
Supplementary Materials
The following supporting information can be downloaded at: https://www.mdpi.com/article/10.3390/d18020087/s1, Table S1: Samples of molted feathers of Anodorhyncus leari collected in five localities.
Author Contributions
Conceptualization, E.C.P., F.H., J.A.G., C.Y.M. and J.L.T.; methodology, E.C.P., F.H., J.A.G. and J.L.T.; validation, E.C.P., C.Y.M. and G.S.-M.,; formal analysis, E.C.P. and G.S.-M.; investigation, E.C.P., G.S.-M., T.F., F.R.P., F.H. and J.L.T.; resources, J.A.G. and J.L.T.; data curation, E.C.P.; writing—original draft preparation, E.C.P., J.L.T. and G.S.-M.; writing—review and editing, E.C.P., G.S.-M., T.F., F.R.P., F.H., J.A.G., C.Y.M. and J.L.T.; visualization, J.L.T.; supervision, J.A.G. and J.L.T.; project administration, E.C.P.; funding acquisition, E.C.P. and J.L.T. All authors have read and agreed to the published version of the manuscript.
Funding
This work was granted to E.C.P. and J.L.T. by Loro Parque Foundation (Project 101-2015/2018); E.C.P. international PhD fellowship from Brazilian Federal Agency for the Support and Evaluation of Graduate Education (CAPES/ BEX 13558/13-7); Programa de Pesquisador Pós-doutorado do Instituto de Biologia da UNICAMP (PPPD-IB-UNICAMP); C.Y.M. thanks Fundação de Amparo à Pesquisa do Estado de São Paulo (FAPESP/ Biota 2013/50297-0) and Conselho Nacional de Desenvolvimento Científico e Tecnológico (CNPq 306989/2023-9) for a research productivity fellowship.
Institutional Review Board Statement
The samples used in this study were collected in accordance with the Brazilian legal requirements, obtaining the following permits: SISBIO n. 12763 (10/09/2007) and CITES 14 BR 016156/DF (03/11/2014).
Data Availability Statement
The original contributions presented in this study are included in the article/supplementary material. Further inquiries can be directed to the corresponding author.
Acknowledgments
We thank Ana Píriz and Mónica Gutiérrez for laboratory work support (Molecular Ecology Lab, EBD–CSIC), Alejandro Centeno-Cuadros and Sol Rodrigues-Martinez for laboratory tutoring and discussing sampling design, Luis Fabio Silveira (MZUSP) and Neiva Guedes (Instituto Arara Azul) for supporting fieldwork and training, grant applications, and assisting with national and international permits. Biodiversitas Foundation (Canudos Biological Station) and Fazenda Serra Branca (Estação Ecológica do Raso da Catarina, ICMBio). Dorivaldo M. Alves, Máximo Cardoso, João Carlos Nogueira and Guilherme Feitosa, Eduardo Araujo Barbosa (CEMAVE-ICMBio) for assisting field work, and trainees/volunteers Mathew Arundale, Rebecca Green (Erasmus plus), Maura Fernanda Lacerda and Roberta A. Cunha. Gabriela R. Favoretto, Anna A. Migotto and Beatriz Raicoski also revised figures and the final version of the manuscript. The suggestions of two anonymous reviewers greatly contributed to improving this article.
Conflicts of Interest
The authors declare no conflicts of interest.
References
- Olah, G.; Butchart, S.H.M.; Symes, A.; Guzmán, I.M.; Cunningham, R.; Brightsmith, D.J.; Heinsohn, R. Ecological and Socio-Economic Factors Affecting Extinction Risk in Parrots. Biodivers. Conserv. 2016, 25, 205–223. [Google Scholar] [CrossRef]
- Olah, G.; Smith, B.T.; Joseph, L.; Banks, S.C.; Heinsohn, R. Parrot Conservation and Advancing Genetic Methods. Diversity 2021, 13, 521. [Google Scholar] [CrossRef]
- Frankham, R. Genetics and extinction. Biol. Conserv. 2005, 126, 131–140. [Google Scholar] [CrossRef]
- Frankham, R. Genetic rescue of small-inbred populations: Meta-analysis reveals large and consistent benefits of gene flow. Mol. Ecol. 2015, 24, 2610–2618. [Google Scholar] [CrossRef]
- Mills, L.S.; Smouse, P.E. Demographic consequences of inbreeding in remnant populations. Am. Nat. 1994, 144, 412–431. [Google Scholar] [CrossRef]
- Brook, B.W.; Tonkyn, D.W.; O’Grady, J.J.; Frankham, R. Contribution of inbreeding to extinction risk in threatened species. Conserv. Ecol. 2002, 6, 16. [Google Scholar] [CrossRef]
- Nguyen, T.N.; Chen, N.; Cosgrove, E.J.; Bowman, R.; Fitzpatrick, J.W.; Clark, A.G. Dynamics of reduced genetic diversity in increasingly fragmented populations of Florida scrub jays, Aphelocoma coerulescens. Evol. Appl. 2022, 15, 1018–1027. [Google Scholar] [CrossRef] [PubMed]
- Summers, J.; Cosgrove, E.J.; Bowman, R.; Fitzpatrick, J.W.; Chen, N. Density dependence maintains long-term stability despite increased isolation and inbreeding in the Florida Scrub-Jay. Ecol. Lett. 2024, 27, e14483. [Google Scholar] [CrossRef]
- Frankham, R. Genetic adaptation to captivity in species conservation programs. Mol. Ecol. 2008, 17, 325–333. [Google Scholar] [CrossRef]
- Almeida, T.R.A.; Presti, F.T.; Cruz, V.P.; Wasko, A.P. Genetic analysis of the endangered Hyacinth Macaw (Anodorhynchus hyacinthinus) based on mitochondrial markers: Different conservation efforts are required for different populations. J. Ornithol. 2019, 160, 711–720. [Google Scholar] [CrossRef]
- Bell, D.A.; Robinson, Z.L.; Funk, W.C.; Fitzpatrick, S.W.; Allendorf, F.W.; Tallmon, D.A.; Whiteley, A.R. The exciting potential and remaining uncertainties of genetic rescue. Trends Ecol. Evol. 2019, 34, 1070–1079. [Google Scholar] [CrossRef]
- Lande, R. Mutation and conservation. Conserv. Biol. 1995, 9, 782–791. [Google Scholar] [CrossRef]
- Lynch, M.; Conery, J.; Burger, R. Mutation accumulation and the extinction of small populations. Am. Nat. 1995, 146, 489–518. [Google Scholar] [CrossRef]
- Gazave, E.; Chang, D.; Clark, A.G.; Keinan, A. Population growth inflates the per-individual number of deleterious mutations and reduces their mean effect. Genetics 2013, 195, 969–978. [Google Scholar] [CrossRef]
- Sick, H.; Teixeira, D.M. Discovery of the home of the Indigo Macaw in Brazil: With notes on field identification of “blue” macaws. Am. Birds 1980, 34, 118–212. [Google Scholar]
- Yamashita, C. Field observations and comments on the Indigo Macaw Anodorhynchus leari, a highly endangered species from northeastern Brazil. Wilson Bull. 1987, 99, 280–282. [Google Scholar]
- Nascimento, J.L.X.; Barros, Y.M.; Yamashita, C.; Alves, E.M.; Bianchi, C.A.; Paiva, A.A.; Menezes, A.C.; Alves, D.M.; Silva, J.; Lins, L.V.; et al. Censos de araras-azuis-de-Lear Anodorhynchus leari na natureza. Tangara 2001, 1, 135–138. [Google Scholar]
- Pacífico, E.C.; Denes, F.V.; Barbosa, A.E.; Filadelfo, T.; Souza, A.E.B.A.; Tella, J.L.; Beissinger, S. Improving inference of population size from heterogeneous bird counting data to understand the population trend: A study case of the endangered Lear’s macaw. 2026; Manuscript in preparation. [Google Scholar]
- Munn, C. Lear’s Macaw: A second population confirmed. PsittaScene World Parrot Trust 1995, 7, 1–3. [Google Scholar]
- Pacífico, E.C.; Efstathion, C.A.; Filadelfo, T.; Horsburgh, R.; Alves, R.C.; Paschotto, F.R.; Denes, F.V.; Gilardi, J.; Tella, J.L. Experimental removal of invasive Africanized honeybees increased breeding population size of the endangered Lear’s Macaw. Pest Manag. Sci. 2020, 76, 4141–4149. [Google Scholar] [CrossRef]
- Olah, G.; Stojanovic, D.; Webb, M.H.; Waples, R.S.; Heinsohn, R. Comparison of three techniques for genetic estimation of effective population size in a critically endangered parrot. Anim. Conserv. 2020, 24, 491–498. [Google Scholar] [CrossRef]
- Pacífico, E.C.; Barbosa, E.A.; Filadelfo, T.; Oliveira, K.G.; Silveira, L.F.; Tella, J.L. Breeding to non-breeding population ratio and breeding performance of the globally endangered Lear’s Macaw Anodorhynchus leari: Conservation and monitoring implications. Bird Conserv. Int. 2014, 24, 466–476. [Google Scholar] [CrossRef]
- Presti, F.T.; Meyer, J.; Antas, P.T.Z.; Guedes, N.M.R.; Miyaki, C.Y. Non-invasive genetic sampling for molecular sexing and microsatellite genotyping of hyacinth macaw Anodorhynchus hyacinthinus. Genet. Mol. Biol. 2013, 36, 129–133. [Google Scholar] [CrossRef]
- Olah, G.; Heinsohn, R.G.; Brightsmith, D.J.; Espinoza, J.R.; Peakall, R. Validation of non-invasive genetic tagging in two large macaw species (Ara macao and A. chloropterus) of the Peruvian Amazon. Conserv. Genet. Resour. 2016, 8, 499–509. [Google Scholar] [CrossRef]
- Blanco, G.; Morinha, F.; Roques, S.; Hiraldo, F.; Rojas, A.; Tella, J.L. Fine-scale genetic structure in the critically endangered red-fronted macaw in the absence of geographic and ecological barriers. Sci. Rep. 2021, 11, 556. [Google Scholar] [CrossRef] [PubMed]
- Beissinger, S.R.; Wunderle, J.M., Jr.; Meyers, J.M.; Saether, B.; Engen, S. Anatomy of a bottleneck: Diagnosing factors limiting population growth in the Puerto Rican Parrot. Ecol. Monogr. 2008, 78, 185–203. [Google Scholar] [CrossRef]
- Dinerstein, E.; Olson, D.; Joshi, A.; Vynne, C.; Burgess, N.D.; Wikramanayake, E.; Hahn, N.; Palminteri, S.; Hedao, P.; Noss, R.; et al. An ecoregion-based approach to protecting half the terrestrial realm. BioScience 2017, 67, 534–545. [Google Scholar] [CrossRef]
- Moro, M.F.; Nic Lughadha, E.; de Araújo, F.S.; Martins, F.R. A Phytogeographical Metaanalysis of the Semiarid Caatinga Domain in Brazil. Bot. Rev. 2016, 82, 91–148. [Google Scholar] [CrossRef]
- Silva, J.M.C.; Barbosa, L.C.F.; Leal, I.R.; Tabarelli, M. The Caatinga: Understanding the Challenges. In Caatinga: The Largest Tropical Dry-Forest Region in South America, 1st ed.; Silva, J.M.C., Leal, I.R., Tabarelli, M., Eds.; Springer International Publishing: New York, NY, USA, 2017; pp. 3–19. [Google Scholar]
- Silva, A.C.; Souza, A.F. Aridity drives plant biogeographical sub regions in the Caatinga, the largest tropical dry forest and woodland block in South America. PLoS ONE 2018, 13, e0196130. [Google Scholar] [CrossRef]
- Fernandez, M.F.; Cardoso, D.; Queiroz, L.P. An updated plant checklist of the Brazilian Caatinga seasonally dry forest and woodlands reveals high species richness and endemism. J. Arid Environ. 2020, 174, 104079. [Google Scholar] [CrossRef]
- Gebhardt, K.J.; Brightsmith, D.; Powell, G.; Waits, L.P. Molted feathers from clay licks in Peru provide DNA for three large macaws (Ara ararauna, A. chloropterus, and A. macao). J. Field Ornithol. 2009, 80, 183–192. [Google Scholar] [CrossRef]
- Pacífico, E.C.; Sánchez-Montes, G.; Miyaki, C.Y.; Tella, J.L. Isolation and characterization of 15 new microsatellite markers for the globally Endangered Lear’s macaw Anodorhynchus leari. Mol. Biol. Rep. 2020, 47, 8279–8285. [Google Scholar] [CrossRef]
- Bantock, T.M.; Prys-Jones, R.T.P.; Lee, P.L.M. New and improved molecular sexing for museum bird specimens. Mol. Ecol. Resour. 2008, 8, 519–528. [Google Scholar] [CrossRef]
- Schuelke, M. An economic method for the fluorescent labeling of PCR fragments. Nat. Biotechnol. 2000, 18, 233–234. [Google Scholar] [CrossRef]
- Jan, C.; Fumagalli, L. Polymorphic DNA microsatellite markers for forensic individual identification and parentage analyses of seven threatened species of parrots (family Psittacidae). PeerJ 2016, 4, e2416. [Google Scholar] [CrossRef]
- Peakall, R.; Smouse, P.E. GENALEX 6: Genetic analysis in Excel. Population genetic software for teaching and research. Mol. Ecol. Notes 2006, 11, 288–295. [Google Scholar]
- Raymond, M.; Rousset, F. GENEPOP version 1.2: Population genetics software for exact tests and ecumenicism. J. Hered. 1995, 86, 248–249. [Google Scholar] [CrossRef]
- Rice, W.R. Analyzing tables of statistical tests. Evolution 1989, 43, 223–225. [Google Scholar] [CrossRef]
- Keenan, K.; McGinnity, P.; Cross, T.F.; Crozier, W.W.; Prodöhl, P.A. diveRsity: An R package for the estimation and exploration of population genetics parameters and their associated errors. Methods Ecol. Evol. 2013, 4, 782–788. [Google Scholar] [CrossRef]
- Hedrick, P.W. A standardized genetic differentiation measure. Evolution 2005, 59, 1633–1638. [Google Scholar] [CrossRef]
- Jost, L. GST and its relatives do not measure differentiation. Mol. Ecol. 2008, 17, 4015–4026. [Google Scholar] [CrossRef]
- Pritchard, J.K.; Stephens, M.; Donnelly, P. Inference of population structure using multilocus genotype data. Genetics 2000, 155, 945–959. [Google Scholar] [CrossRef]
- Falush, D.; Stephens, M.; Pritchard, J.K. Inference of population structure using multilocus genotype data: Linked loci and correlated allele frequencies. Genetics 2003, 164, 1567–1587. [Google Scholar] [CrossRef]
- Evanno, G.; Regnaut, S.; Goudet, J. Detecting the number of clusters of individuals using the software STRUCTURE: A simulation study. Mol. Ecol. 2005, 14, 2611–2620. [Google Scholar] [CrossRef]
- Earl, D.A.; vonHoldt, B.M. STRUCTURE HARVESTER: A website and program for visualizing STRUCTURE output and implementing the Evanno method. Conserv. Genet. Resour. 2012, 4, 359–361. [Google Scholar]
- Kopelman, N.M.; Mayzel, J.; Jakobsson, M.; Rosenberg, N.A.; Mayrose, I. Clumpak: A program for identifying clustering modes and packaging population structure inferences across K. Mol. Ecol. Resour. 2015, 15, 1179–1191. [Google Scholar] [CrossRef]
- Wilson, G.A.; Rannala, B. Bayesian inference of recent migration rates using multilocus genotypes. Genetics 2003, 163, 1177–1191. [Google Scholar] [CrossRef]
- Rambaut, A.; Drummond, A.J.; Xie, D.; Baele, G.; Suchard, M.A. Posterior summarization in Bayesian phylogenetics using Tracer 1.7. Syst. Biol. 2018, 67, 901–904. [Google Scholar] [CrossRef] [PubMed]
- Meirmans, P.G. Nonconvergence in Bayesian estimation of migration rates. Mol. Ecol. Resour. 2014, 14, 726–733. [Google Scholar] [CrossRef] [PubMed]
- Faubet, P.; Waples, R.S.; Gaggiotti, O. Evaluating the performance of a multilocus Bayesian method for the estimation of migration rates. Mol. Ecol. 2007, 16, 1149–1166. [Google Scholar] [CrossRef] [PubMed]
- Piry, S.; Luikart, G.; Cornuet, J.M. BOTTLENECK: A computer program for detecting recent reductions in the effective population size using allele frequency data. J. Hered. 1999, 90, 502–503. [Google Scholar] [CrossRef]
- Jones, O.R.; Wang, J. COLONY: A program for parentage and sibship inference from multilocus genotype data. Mol. Ecol. Resour. 2010, 10, 551–555. [Google Scholar] [CrossRef]
- Wang, J. A new method for estimating effective population sizes from a single sample of multilocus genotypes. Mol. Ecol. 2009, 18, 2148–2164. [Google Scholar] [CrossRef]
- Sánchez-Montes, G.; Wang, J.; Ariño, A.H.; Vizmanos, J.L.; Martínez-Solano, I. Reliable effective number of breeders/adult census size ratios in seasonal-breeding species: Opportunity for integrative demographic inferences based on capture-mark-recapture data and multilocus genotypes. Ecol. Evol. 2017, 7, 10301–10314. [Google Scholar] [CrossRef]
- Do, C.; Waples, R.S.; Peel, D.; Macbeth, G.M.; Tillett, B.J.; Ovenden, J.R. NEESTIMATOR v2: Re-implementation of software for the estimation of contemporary effective population size (Ne) from genetic data. Mol. Ecol. Resour. 2014, 14, 209–214. [Google Scholar] [CrossRef]
- Frankham, R.; Bradshaw, C.J.A.; Brook, B.W. Genetics in conservation management: Revised recommendations for the 50/500 rules, Red List criteria and population viability analyses. Biol. Conserv. 2014, 170, 56–63. [Google Scholar] [CrossRef]
- Rivera-Ortíz, F.A.; Solórzano, S.; Arizmendi, M.C.; Dávila-Aranda, P.; Oyama, K. Genetic diversity and structure of the military macaw Ara militaris in Mexico: Implications for conservation. Trop. Conserv. Sci. 2017, 10, 1–12. [Google Scholar] [CrossRef]
- Campos, C.I.; Martinez, M.A.; Acosta, D.; Diaz-Luque, J.A.; Berkunsky, I.; Lamberski, N.L.; Cruz-Nieto, J.; Russello, M.A.; Wright, T.F. Genetic diversity and population structure of two endangered Neotropical parrots inform in-situ and ex-situ conservation strategies. Diversity 2021, 13, 386. [Google Scholar] [CrossRef]
- Nader, W.; Werner, D.; Wink, M. Genetic diversity of scarlet macaws Ara macao in reintroduction studies for threatened populations in Costa Rica. Biol. Conserv. 1999, 87, 269–272. [Google Scholar] [CrossRef]
- Monge, O.; Schmidt, K.; Vaughan, C.; Gutiérrez-Espeleta, G. Genetic Patterns and Conservation of the Scarlet Macaw Ara macao in Costa Rica. Conserv. Genet. 2016, 17, 745–750. [Google Scholar] [CrossRef]
- Beebee, T.J.C. A comparison of single-sample effective size estimators using empirical toad (Bufo calamita) population data: Genetic compensation and population size-genetic diversity correlations. Mol. Ecol. 2009, 18, 4790–4797. [Google Scholar] [CrossRef]
- Barbosa, A.E.A.; Tella, J.L. How much does it cost to save a species from extinction? Costs and rewards of conserving the Lear’s Macaw. R. Soc. Open Sci. 2019, 6, 190190. [Google Scholar] [CrossRef]
- Biasotto, L.D.; Pacífico, E.C.; Paschotto, F.R.; Filadelfo, T.; Couto, M.B.; Sousa, A.E.; Mantovani, P.; Silveira, L.F.; Ascensão, F.; Tella, J.L.; et al. Power line electrocution as an overlooked threat to the Lear’s Macaw (Anodorhynchus leari). IBIS 2023, 165, 998–1006. [Google Scholar] [CrossRef]
- Cornuet, J.M.; Luikart, G. Description and power analysis of two tests for detecting recent population bottlenecks from allele frequency data. Genetics 1996, 144, 2001–2014. [Google Scholar] [CrossRef]
- Waples, R.S. Genetic estimates of contemporary effective population size: To what time periods do the estimates apply? Mol. Ecol. 2005, 14, 3335–3352. [Google Scholar] [CrossRef] [PubMed]
- Cornejo, J. Lear’s Macaw (Anodorhynchus leari) International Studbook and Population Analysis; Captive Program for the Lear’s Macaw; ICMBio: Brasília, Brazil, 2018. [Google Scholar]
- Young, A.M.; Hobson, E.A.; Bingaman, L.L.; Wright, T.F. Survival on the ark: Life-history trends in captive parrots. Anim. Conserv. 2012, 15, 28–43. [Google Scholar] [CrossRef]
- Kleinman-Ruiz, D.; Martinez-Cruz, B.; Soriano, L.; Lucena-Perez, M.; Cruz, F.; Villanueva, B.; Fernández, J.; Godoy, J.A. Novel efficient genome-wide SNP panels for the conservation of the highly endangered Iberian lynx. BMC Genom. 2017, 18, 556. [Google Scholar] [CrossRef] [PubMed]
- Vili, N.; Nemesházi, E.; Kovács, S.; Horváth, M.; Kalmár, L.; Szabó, K. Factors affecting DNA quality in feathers used for non-invasive sampling. J. Ornithol. 2013, 154, 587–5955. [Google Scholar] [CrossRef]
- De Volo, S.B.; Reynolds, R.T.; Douglas, M.R.; Antolin, M.F. An improved extraction method to increase DNA yield from molted feathers. Condor 2008, 110, 762–766. [Google Scholar] [CrossRef]
- Lima, V.V.F.; Scariot, A.; Sevilha, A.C. Livestock and agriculture affect recruitment and the structure of a key palm for people and an endangered bird in semi-arid lands. J. Arid Environ. 2023, 217, 105036. [Google Scholar] [CrossRef]
- Alves, F.; Banks, S.C.; Edworthy, M.; Stojanovic, D.; Langmore, N.E.; Heinsohn, R. Using conservation genetics to prioritize management options for an endangered songbird. Heredity 2023, 130, 289–301. [Google Scholar] [CrossRef]
- Frankham, R.; Ballou, J.D.; Briscoe, D.A. Introduction to Conservation Genetics, 1st ed.; Cambridge University Press: Cambridge, UK, 2002. [Google Scholar]
- Gautschi, D.; Heinsohn, R.; Ortiz-Catedral, L.; Stojanovic, D.; Wilson, M.; Crates, R.; Macgregor, N.A.; Olsen, P.; Neaves, L. Genetic diversity and inbreeding in an endangered island-dwelling parrot population following repeated population bottlenecks. Conserv. Genet. 2024, 25, 725–737. [Google Scholar] [CrossRef]
Disclaimer/Publisher’s Note: The statements, opinions and data contained in all publications are solely those of the individual author(s) and contributor(s) and not of MDPI and/or the editor(s). MDPI and/or the editor(s) disclaim responsibility for any injury to people or property resulting from any ideas, methods, instructions or products referred to in the content. |
© 2026 by the authors. Licensee MDPI, Basel, Switzerland. This article is an open access article distributed under the terms and conditions of the Creative Commons Attribution (CC BY) license.

