A Comparison of eDNA Metabarcoding and Microscopy Techniques to Analyze Algal Diversity in Lake Titicaca, Peru
Abstract
1. Introduction
2. Materials and Methods
2.1. Study Area
2.2. Sampling
2.3. DNA Metabarcoding
2.4. Microscopy-Based Analysis
2.5. Statistical Analyses
3. Results and Discussion
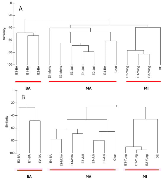
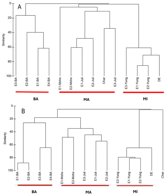
3.1. Spatial Variability
3.2. Molecular and Microscopy-Based Approaches
3.3. Comparing Both Approaches
4. Conclusions
Supplementary Materials
Author Contributions
Funding
Institutional Review Board Statement
Data Availability Statement
Acknowledgments
Conflicts of Interest
Abbreviations
| BA | Puno Bay |
| MA | Major Lake |
| MI | Minor Lake |
| DS | Dry season |
| WS | Wet season |
References
- MINAM. Línea Base Ambiental de la Cuenca del Lago Titicaca; Ministerio del Ambiente: Lima, Peru, 2013. [Google Scholar]
- Balvanera, P.; Pfisterer, A.B.; Buchmann, N.; He, J.S.; Nakashizuka, T.; Raffaelli, D. Quantifying the evidence for biodiversity effects on ecosystem functioning and services. Ecol. Lett. 2006, 9, 1146–1156. [Google Scholar] [CrossRef] [PubMed]
- Groendahl, S.; Kahlert, M.; Fink, P. The best of both worlds: A combined approach for analyzing microalgal diversity via metabarcoding and morphology-based methods. PLoS ONE 2017, 12, e0172808. [Google Scholar] [CrossRef]
- Wondmagegn, T.; Mengistou, S. Effects of anthropogenic activities on macroinvertebrate assemblages in the littoral zone of Lake Hawassa, a tropical Rift Valley Lake in Ethiopia. Lakes Reserv. Res. Manag. 2020, 25, 61–71. [Google Scholar] [CrossRef]
- MINAN. Aprueban estándares de calidad ambiental (ECA) para agua y establecen disposiciones complementarias. El Peru. 2017, 6–9. [Google Scholar]
- Beltrán, D.F.; Palomino, R.P.; Moreno, E.G.; Peralta, C.G.; Montesinos-Tubée, D.B. Calidad de agua de la bahía interior de Puno, lago Titicaca durante el verano del 2011. Rev. Peru. Biol. 2015, 22, 335–340. [Google Scholar] [CrossRef]
- Iquise, S.R. Variación Espacial del Zooplancton en Tres Épocas en Relación a Factores Fisicoquímicos del Agua en la Bahía Interior y Exterior del Lago Titicaca, Puno. Bachelor’s Thesis, Universidad Nacional del Altiplano, Puno, Peru, 2017. Available online: http://repositorio.unap.edu.pe/handle/20.500.14082/7062 (accessed on 15 April 2025).
- Oviedo, A.I.H. Variación espacial y temporal de la diversidad y abundancia del fitoplancton del lago de Yojoa en un año hidrológico 2014–2015. Rev. Cienc. Tecnol. 2017, 19, 40–77. [Google Scholar] [CrossRef]
- Mariano-Astocondor, M. Composición y estructura de la comunidad fitoplanctónica en la laguna Tranca Grande (Junín, Perú). Rev. Peru. Biol. 2001, 8, 114–124. [Google Scholar] [CrossRef]
- Rimet, F. Recent views on river pollution and diatoms. Hydrobiology 2012, 683, 1–24. [Google Scholar] [CrossRef]
- Stevenson, R.J.; Pan, Y.; Van Dam, H. Assessing environmental conditions in rivers and streams with diatoms. In The Diatoms: Applications for the Environmental and Earth Sciences; Cambridge University Press: Cambridge, UK, 2010; pp. 57–85. [Google Scholar]
- Paerl, H.W.; Paul, V.J. Climate change: Links to global expansion of harmful cyanobacteria. Water Res. 2012, 46, 1349–1363. [Google Scholar] [CrossRef]
- Reynolds, C.S. The Ecology Freshwataer Phytoplankton; Cambridge University Press: Cambridge, UK, 1984; p. 390. [Google Scholar]
- Chorus, I.; Bartram, J. Toxic Cyanobacteria in Water: A Guide to Public Health Significance, Monitoring and Management; Spon/Chapman & Hall: London, UK, 1999. [Google Scholar]
- Karlson, B.; Cusack, C.; Bresnan, E. Microscopic and molecular methods for quantitative phytoplankton analysis. In Intergovernmental Oceanographic Commission, Manuals and Guides; UNESCO: Paris, France, 2010. [Google Scholar] [CrossRef]
- Utermohl, H. Zur vervollkommnung der cuantitativo del fitoplancton metódico. Int. Ver. Theor. Angew. Limnol. Mitteilungen 1958, 9, 1–38. [Google Scholar] [CrossRef]
- Lindeque, P.K.; Hay, S.J.; Heath, M.R.; Ingvarsdottir, A. Integrating conventional microscopy and molecular analysis to analyse the abundance and distribution of four Calanus congeners in the North Atlantic. J. Plankton Res. 2006, 28, 221–238. [Google Scholar] [CrossRef][Green Version]
- Chen, G.; Hare, M.P. Cryptic ecological diversification of a planktonic estuarine copepod, Acartia tonsa. Mol. Ecol. 2008, 17, 1451–1468. [Google Scholar] [CrossRef]
- Abad, D.; Albaina, A.; Aguirre, M.; Laza-Martínez, A.; Uriarte, I.; Iriarte, A.; Villate, F.; Estonba, A. Is metabarcoding suitable for estuarine plankton monitoring? A comparative study with microscopy. Mar. Biol. 2016, 163, 149–150. [Google Scholar] [CrossRef]
- Gojobori, T.; Wada, T.; Kobayashi, T.; Mineta, K. Marine Metagenomics: Technological Aspects and Applications; Springer Nature Singapore Pte Ltd.: Singapore, 2019. [Google Scholar]
- Streit, W.R.; Daniel, R. Metagenomics: Methods and Protocols; Spring: New York, NY, USA, 2010. [Google Scholar]
- Kim, Y.S.; Yun, H.S.; Lee, J.H.; Lee, K.L.; Choi, J.S.; Won, D.H.; Kim, Y.J.; Kim, H.S.; Yoon, H.S. Comparison of Metabarcoding and Microscopy Methodologies to Analyze Diatom Communities in Five Estuaries Along the Southern Coast of the Korean Peninsula. Microb. Ecol. 2024, 87, 95. [Google Scholar] [CrossRef]
- Kulaš, A.; Udovič, M.G.; Tapolczai, K.; Žutinić, P.; Orlić, S.; Levkov, Z. Diatom eDNA metabarcoding and morphological methods for bioassessment of karstic river. Sci. Total Environ. 2022, 829, 154536. [Google Scholar] [CrossRef]
- Kutty, S.N.; Loh, R.K.; Bannister, W.; Taylor, D. Evaluation of a diatom eDNA-based technique for assessing water quality variations in tropical lakes and reservoirs. Ecol. Indic. 2022, 141, 109108. [Google Scholar] [CrossRef]
- MacKeigan, P.W.; Garner, R.E.; Monchamp, M.È.; Walsh, D.A.; Onana, V.E.; Kraemer, S.A.; Pick, F.R.; Beisner, B.E.; Agbeti, M.D.; da Costa, N.B.; et al. Comparing microscopy and DNA metabarcoding techniques for identifying cyanobacteria assemblages across hundreds of lakes. Harmful Algae Mar. 2022, 113, 102187. [Google Scholar] [CrossRef]
- Santi, I.; Kasapidis, P.; Karakassis, I.; Pitta, P.A. Comparison of DNA Metabarcoding and Microscopy Methodologies for the Study of Aquatic Microbial Eukaryotes. Diversity 2021, 13, 180. [Google Scholar] [CrossRef]
- Samanez, I.; Rimarachin Ching, V.; Palma, C.; Maestre, J.; Ortega, H.; Correa, V.; Hidalgo, M. Métodos de Colecta, Identificación y Análisis de Comunidades Biológicas: Plancton, Perifiton, Bentos (Macroinvertebrados) y Necton (Peces) en Aguas Continentales del Perú; Ministerio del Ambiente: Lima, Peru, 2014. [Google Scholar]
- Sherwood, A.R.; Presting, G.G. Universal primers amplify a 23S rDNA plastid marker in eukaryotic algae and cyanobacteria. J. Phycol. 2007, 43, 605–608. [Google Scholar] [CrossRef]
- Galanti, L.; Shasha, D.; Gunsalus, K.C. Pheniqs 2.0: Accurate, high-performance Bayesian decoding and confidence estimation for combinatorial barcode indexing. BMC Bioinform. 2021, 22, 359. [Google Scholar] [CrossRef] [PubMed] [PubMed Central]
- Martin, M. Cutadapt removes adapter sequences from high-throughput sequencing reads. EMBnet. J. 2011, 17, 10–12. Available online: https://journal.embnet.org/index.php/embnetjournal/article/view/200 (accessed on 1 April 2025). [CrossRef]
- Callahan, B.J.; McMurdie, P.J.; Rosen, M.J.; Han, A.W.; Johnson, A.J.A.; Holmes, S.P. Dada2: High-resolution sample inference from Illumina amplicon data. Nat. Methods 2016, 13, 581–583. [Google Scholar] [CrossRef]
- R Core Team. R: A Language and Environment for Statistical Computing; R Foundation for Statistical Computing: Vienna, Austria, 2020; Available online: https://www.r-project.org/ (accessed on 1 April 2025).
- Quast, C.; Pruesse, E.; Yilmaz, P.; Gerken, J.; Pablo, T.; Pablo, Y.; Jörg, Y.; Frank, P.; Glöckner, O. The SILVA ribosomal RNA gene database project: Improved data processing and web-based tools. Nucleic Acids Res. 2013, 41, 590–596. [Google Scholar] [CrossRef]
- Djemiel, C.; Plassard, D.; Terrat, S. µgreen-db: A reference database for the 23S rRNA gene of eukaryotic plastids and cyanobacteria. Sci. Rep. 2020, 10, 5915. [Google Scholar] [CrossRef]
- APHA. Standard Methods for the Examination of Water and Waste Water, 22nd ed.; American Public Health Association: Washington, DC, USA, 2012. [Google Scholar]
- UNE-EN 15204; Calidad del Agua Guía Para el Recuento de Fitoplancton por Microscopía Invertida (Técnica Utermöhl). Asociación Española de Normalización y Certificación (AENOR): Madrid, Spain, 2007; p. 44.
- Clarke, K.; Goley, R. Plymout Routines in Multivariate Ecological Research v5. User Manual/Tutorial; PRIMER-E LTDA: Auckland, New Zealand, 2001; p. 91. [Google Scholar]
- Weigand, H.; Beermann, A.J.; Čiampor, F.; Costa, F.O.; Csabai, Z.; Duarte, S.; Geiger, M.F.; Grabowski, M.; Rimet, F.; Rulik, B.; et al. DNA barcode reference libraries for the monitoring of aquatic biota in Europe: Gap-analysis and recommendations for future work. Sci. Total Environ. 2019, 678, 499–524. [Google Scholar] [CrossRef]
- Kang, W.; Anslan, S.; Börner, N.; Schwarz, A.; Schmidt, R.; Künzel, S.; Rioual, P.; Echeverría-Galindo, P.; Vences, M.; Wang, J.; et al. Diatom metabarcoding and microscopic analyses from sediment samples at Lake Nam Co, Tibet: The effect of sample-size and bioinformatics on the identified communities. Ecol. Indic. 2021, 121, 107070. [Google Scholar] [CrossRef]
- Pawlowski, J.; Kelly-Quinn, M.; Altermatt, F.; Apoth’eloz-Perret-Gentil, L.; Beja, P.; Boggero, A.; Borja, A.; Bouchez, A.; Cordier, T.; Domaizon, I.; et al. The future of biotic indices in the ecogenomic era: Integrating (e)DNA metabarcoding in biological assessment of aquatic ecosystems. Sci. Total Environ. 2018, 11, 96. [Google Scholar] [CrossRef]
- Vuorio, K.; Mäki, A.; Salmi, P.; Aalto, S.L.; Tiirola, M. Consistency of targeted metatranscriptomics and morphological characterization of phytoplankton communities. Front. Microbiol. 2020, 11, 96. [Google Scholar] [CrossRef]
- Bozdogan, D.; Takizawa, S.; Furukori, N.; Homma, K.; Abe, H.; Sakio, H.; Harada, N.; Suzuki, K. Pond Water eDNA Reflects Broad Consistency with Surrounding Terrestrial Plant Ecosystems. Biology 2025, 14, 62. [Google Scholar] [CrossRef]
- Bhatt, H.H.; Pasricha, R.; Upasani, V.N. Aislamiento y caracterización de una cianobacteria halófila, Euhalothece SLVH01, del lago salado de Sambhar, India. Int. J. Curr. Microbiol. Appl. Sci. 2016, 5, 215–224. [Google Scholar] [CrossRef]
- Mogany, T.; Swalaha, F.M.; Allam, M.; Mtshali, P.S.; Ismail, A.; Kumari, S.; Bux, F. Caracterización fenotípica y genotípica de una cianobacteria unicelular hipersalina autóctona única, Euhalothece sp. nov. Microbiol. Res. 2018, 211, 47–56. [Google Scholar] [CrossRef] [PubMed]
- Sciuto, K.; Moro, I. Cyanobacteria: The bright and dark sides of a charming group. Biodivers. Conserv. 2015, 24, 711–738. [Google Scholar] [CrossRef]
- CEN/TC 230; Water Quality—Guidance on Quantitative and Qualitative Sampling of Marine Phytoplankton. iTeh Standards: San Francisco, CA, USA, 2005; p. 26.
- Boltovskoy, A. Taxonomía y Morfología de los Dinoflagelados: Métodos de Trabajo; Alveal, K., Ferrario, M.E., Oliveira, C., Sar, E., Eds.; Universidad de Concepción: Concepción, Chile, 1995; pp. 55–82. [Google Scholar]
- Bicudo, C.E.M.; Menezes, M. Gêneros de Algas de Águas Continentais do BRASIL: Chave Para Identificação e Descrições, 3rd ed.; RiMa: São Carlos, Brazi, 2017; p. 572. [Google Scholar]





| Phylum | mol-WS | mol-DS | mic-WS | mic-DS | ||||
|---|---|---|---|---|---|---|---|---|
| Taxa | % | Taxa | % | Taxa | % | Taxa | % | |
| Bacillariophyta | 10 | 19 | 8 | 18 | 20 | 26 | 23 | 28 |
| Chlorophyta | 17 | 31 | 12 | 27 | 30 | 39 | 30 | 36 |
| Charophyta | 4 | 7 | 3 | 7 | 9 | 12 | 11 | 13 |
| Cyanophyta | 9 | 17 | 16 | 36 | 15 | 20 | 15 | 18 |
| Euglenozoa | 3 | 6 | 3 | 7 | 1 | 1 | ||
| Miozoa | 2 | 3 | 3 | 4 | ||||
| Cryptophyta | 3 | 6 | 2 | 4 | ||||
| Ochrophyta | 6 | 11 | ||||||
| Haptophyta | 1 | 2 | 1 | 2 | ||||
| Rhodophyta | 1 | 2 | ||||||
| Total | 54 | 100 | 45 | 100 | 76 | 100 | 83 | 100 |
| Taxonomic Category | Comparisons | Chi2 | p-Value |
|---|---|---|---|
| Phylum-WS | BA-mol vs. BA-mic | 441,620 | <0.001 |
| MA-mol vs. MA-mic | 190,230 | <0.001 | |
| ME-mol vs. ME-mic | 2,049,300 | <0.001 | |
| Phylum-DS | BA-mol vs. BA-mic | 221,940 | <0.001 |
| MA-mol vs. MA-mic | 95,009 | <0.001 | |
| ME-mol vs. ME-mic | 27,433 | <0.001 |
| Taxonomic Category | Comparisons | Chi2 | p-Value |
|---|---|---|---|
| Orders of Bacillariophyta | mol vs. mic | 1.254 | 0.940 |
| Orders of Chlorophyta | mol vs. mic | 0.593 | 0.988 |
| Orders of Charophyta | mol vs. mic | 0.175 | 0.999 |
| Orders of Cyanobacteria | mol vs. mic | 2.259 | 0.812 |
| Genus level-WS | mol vs. mic | 1.3025 | 0.729 |
| Genus level-DS | mol vs. mic | 10.085 | 0.039 |
| Taxa | WS | DS |
|---|---|---|
| % Sequences | % Sequences | |
| 23S rRNA | 23S rRNA | |
| Cryptophyta | ||
| Plagioselmis | 69.58 | 99.46 |
| Rhodomonas | 28.88 | |
| Ochrophyta | 45.08 | 0.68 |
| Nannochloropsis | 29.7 | 97.04 |
| Trachydiscus | 15.21 | 2.00 |
| Chromulinaceae | 6.46 | |
| Ochromonas | 3.31 | |
| Haptophyta | ||
| Chrysochromulina | 100 | 100 |
| Rhodophyta | ||
| Porphyridium | 100 | 100 |
| Euglenozoa | ||
| Eutreptia | 91.03 | 35.93 |
| Colacium | 8.71 | 61.3 |
| Euglena | 2.77 |
Disclaimer/Publisher’s Note: The statements, opinions and data contained in all publications are solely those of the individual author(s) and contributor(s) and not of MDPI and/or the editor(s). MDPI and/or the editor(s) disclaim responsibility for any injury to people or property resulting from any ideas, methods, instructions or products referred to in the content. |
© 2025 by the authors. Licensee MDPI, Basel, Switzerland. This article is an open access article distributed under the terms and conditions of the Creative Commons Attribution (CC BY) license (https://creativecommons.org/licenses/by/4.0/).
Share and Cite
Baylón, M.; Ramirez, J.L. A Comparison of eDNA Metabarcoding and Microscopy Techniques to Analyze Algal Diversity in Lake Titicaca, Peru. Diversity 2025, 17, 560. https://doi.org/10.3390/d17080560
Baylón M, Ramirez JL. A Comparison of eDNA Metabarcoding and Microscopy Techniques to Analyze Algal Diversity in Lake Titicaca, Peru. Diversity. 2025; 17(8):560. https://doi.org/10.3390/d17080560
Chicago/Turabian StyleBaylón, Maribel, and Jorge L. Ramirez. 2025. "A Comparison of eDNA Metabarcoding and Microscopy Techniques to Analyze Algal Diversity in Lake Titicaca, Peru" Diversity 17, no. 8: 560. https://doi.org/10.3390/d17080560
APA StyleBaylón, M., & Ramirez, J. L. (2025). A Comparison of eDNA Metabarcoding and Microscopy Techniques to Analyze Algal Diversity in Lake Titicaca, Peru. Diversity, 17(8), 560. https://doi.org/10.3390/d17080560

