Understanding the Diversity and Distribution of Lycophytes and Ferns in Northeast China Based on Historical Records
Abstract
1. Introduction
2. Materials and Methods
2.1. Study Area
2.2. Data Selection
2.3. Species Diversity Measurements
2.4. Frequency Measurement and Frequency Level
2.5. Distribution Patterns
3. Results
3.1. Composition of Lycophytes and Ferns
3.2. Life Forms of Lycophytes and Ferns
3.3. Threatened Species
3.4. Frequency of Lycophytes and Ferns
3.5. Analysis of Diversity Distribution and High Value Areas
3.5.1. Patrick Index Diversity Distribution and High Value Areas
3.5.2. Gleason Index Diversity Distribution and High Value Areas
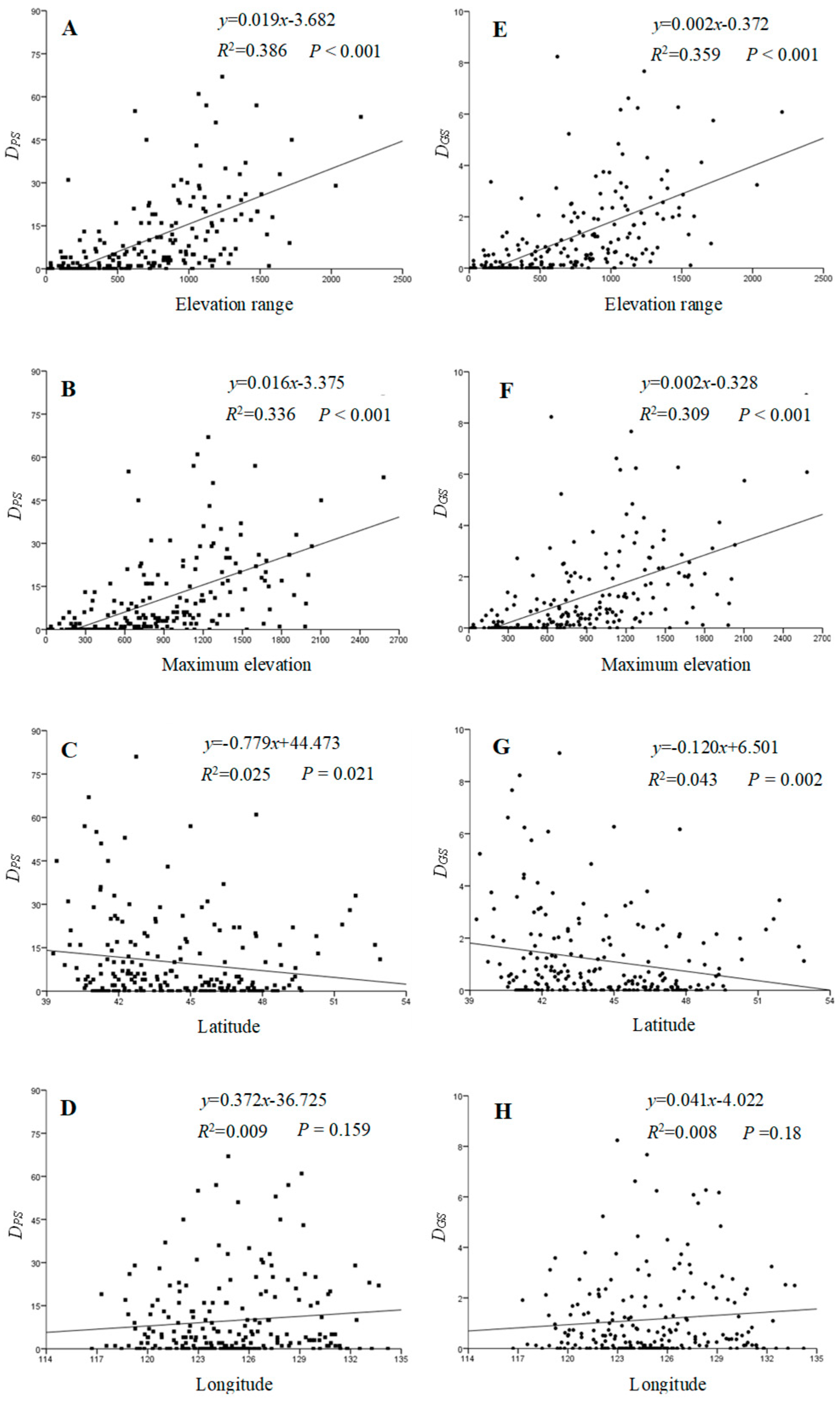
3.6. Gradient Distribution Pattern of Species Diversity
4. Discussion
4.1. Comprehensive Analysis of Species Diversity
4.2. Gradient Distribution Pattern of Species Diversity and Its Diversity Center
5. Conclusions
Supplementary Materials
Author Contributions
Funding
Institutional Review Board Statement
Data Availability Statement
Acknowledgments
Conflicts of Interest
References
- Syfert, M.M.; Brummitt, N.A.; Coomes, D.A.; Bystriakova, N.; Smith, M.J. Inferring diversity patterns along an elevation gradient from stacked SDMs: A case study on Mesoamerican ferns. Glob. Ecol. Conserv. 2018, 16, e00433. [Google Scholar] [CrossRef]
- Weigand, A.; Abrahamczyk, S.; Aubin, I.; Bita-Nicolae, C.; Bruelheide, H.; Carvajal-Hernández, C.I.; Cicuzza, D.; Erickson Nascimento da Costa, L.; Csiky, J.; Dengler, J.; et al. Global fern and lycophyte richness explained: How regional and local factors shape plot richness. J. Biogeogr. 2020, 47, 59–71. [Google Scholar] [CrossRef]
- Suis, M.A.F.; Majuakim, L.; Suleiman, M. Fern species richness patterns and their environmental preferences across elevational gradient on Mount Trus Madi, Sabah, Malaysia. J. Trop. For. Sci. 2021, 33, 58–68. [Google Scholar]
- Pan, X.T.; Ye, M.; He, Q.Z.; Zhang, K. Spatial distribution pattern and influencing factors of above-ground biomass and species diversity of grassland in the Altay forest area. Land 2023, 12, 1370. [Google Scholar] [CrossRef]
- Myers, N.; Mittermeier, R.A.; Mittermeier, C.G.; da Fonseca, G.A.B.; Kent, J. Biodiversity hotspots for conservation priorities. Nature 2000, 403, 853–858. [Google Scholar] [CrossRef]
- Sanginés-Franco, C.; Luna-Vega, I.; Contreras-Medina, R.; Espinosa, D.; Tejero-Díez, J.D.; Gerardo, R. Diversity, endemism, and conservation of ferns (Polypodiales) in the Mexican Mountain Component. J. Mt. Sci. 2015, 12, 891–904. [Google Scholar] [CrossRef]
- Lu, S.G. Pteridology; Higher Education Press: Beijing, China, 2007. (In Chinese) [Google Scholar]
- Qian, H.; Zhang, J.; Jiang, M.C. Global patterns of fern species diversity: An evaluation of fern data in GBIF. Plant Divers. 2022, 44, 135–140. [Google Scholar] [CrossRef]
- Gaston, K.J. Global patterns in biodiversity. Nature 2000, 405, 220–227. [Google Scholar] [CrossRef]
- Wang, J.M.; Wang, W.J.; Li, J.W.; Feng, Y.M.; Wu, B.; Lu, Q. Biogeographic patterns and environmental interpretation of plant species richness in desert regions of Northwest China. Biodivers. Sci. 2017, 25, 1192–1201. [Google Scholar] [CrossRef]
- Qian, H. Large-scale biogeographic patterns of vascular plant richness in North America: An analysis at the generic level. J. Biogeogr. 1998, 25, 829–836. [Google Scholar] [CrossRef]
- Tang, Z.Y.; Fang, J.Y. A review on the elevational patterns of plant species diversity. Biodivers. Sci. 2004, 12, 20–28. [Google Scholar]
- Suissa, J.S.; Sundue, M.A.; Testo, W.L. Mountains, climate and niche heterogeneity explain global patterns of fern diversity. J. Biogeogr. 2021, 48, 1296–1308. [Google Scholar] [CrossRef]
- Bystriakova, N.; Peregrym, M.; Dragicevic, S. Effect of environment on distributions of rock ferns in the Mediterranean climate: The case of the genus Asplenium in Montenegro. Flora-Morphol. Distrib. Funct. Ecol. Plants 2015, 215, 84–91. [Google Scholar] [CrossRef]
- Khine, P.K.; Kluge, J.; Kessler, M.; Miehe, G.; Karger, D.N. Latitude-independent, continent-wide consistency in climate–richness relationships in Asian ferns and Lycophytes. J. Biogeogr. 2019, 46, 981–991. [Google Scholar] [CrossRef]
- Pausas, J.G.; Sáez, L. Pteridophyte richness in the NE Iberian Peninsula: Biogeographic patterns. Plant Ecol. 2000, 148, 195–205. [Google Scholar] [CrossRef]
- Ye, J.W.; Yuan, Y.G.; Cai, L.; Wang, X.J. Research progress of phylogeographic studies of plant species in temperate coniferous and broadleaf mixed forests in Northeastern China. Biodivers. Sci. 2017, 25, 1339–1349. [Google Scholar] [CrossRef]
- Wang, J.Z. The features and regionalization of the Pteridophyte flora in Northeast China. J. Beijing For. Univ. (English Ed.) 1995, 4, 43–52. [Google Scholar]
- Li, Y.; Cao, W.; He, H.; Zhang, Y.; Su, D.Y.; Chen, W. Flora of Lycophytes and Ferns in Northeast China. Bull. Bot. Res. 2022, 42, 321–328. [Google Scholar]
- Li, Y.; Chang, Y.; He, X.Y.; Xu, S.; Su, D.Y. Effect of environmental factors on the spatial diversity distribution patterns of lycophytes and ferns in Northeast China. Russ. J. Ecol. 2022, 53, 111–122. [Google Scholar]
- Zhang, X.W.; Zang, S.Y.; Sun, L. Spatial-temporal variation characteristics of snow cover days in Northeast China in the past 40 years and their relationship with climatic factors. Adv. Earth Sci. 2018, 33, 958–968. [Google Scholar]
- Liu, Y.Y.; Li, Y.F.; Xie, J.F.; Zhang, H. Climate change characteristics of free atmospheric humidity and its relationship with temperature and precipitation in Northeast China. Sci. Geogr. Sin. 2016, 36, 628–636. [Google Scholar]
- Xu, W.D. The relation between the zonal distribution of types of vegetation and the climate in Northeast China. Acta Phytoecol. Geobot. Sin. 1986, 10, 254–263. [Google Scholar]
- Wu, Z.Y.; Raven, P.H.; Hong, D.Y. Flora of China; Lycopodiaceae through Polypodiaceae; Science Press: Beijing, China; Missouri Botanical Garden Press: St. Louis, MO, USA, 2013; Volumes 2–3. [Google Scholar]
- Fu, P.Y. Clavis Plantarum Chinae Boreali-Orientalis, 2nd ed.; Science Press: Beijing, China, 1995. [Google Scholar]
- PPG, I. A community-derived classification for extant lycophytes and ferns. J. Syst. Evol. 2016, 54, 563–603. [Google Scholar] [CrossRef]
- Delectis Florae Reipublicae Popularis Sinicae Agenda Academiae Sinicae Edita. Flora Reipublicae Popularis Sinicae; Science Press: Beijing, China, 2004. [Google Scholar]
- Cao, W.; Li, J.Y. Natural Distribution for Plant of Changbai Shan in China; Northeastern University Press: Shenyang, China, 2003. [Google Scholar]
- Cao, W.; Li, J.Y.; Fu, P.Y.; Yu, X.H.; Zhu, C.X. Floristics and Distribution of Plants in Da Hinggan Ling China; Northeastern University Press: Shenyang, China, 2004. [Google Scholar]
- Cao, W.; Li, J.Y. Floristics and Distribution of Plants in Xiao Hinggan Ling China; Science Press: Beijing, China, 2007. [Google Scholar]
- Shrestha, N.; Zhang, X.C. On the presence of North American clubmoss Huperzia lucidula (Lycopodiaceae) in China: An intercontinental disjunction or misidentification. Phytotaxa 2015, 219, 243–252. [Google Scholar] [CrossRef]
- Chen, D.K.; Zhou, X.M.; He, H.; Zhang, L.B. Spinulum lioui, a new species referred to Lycopodium neopungens (Lycopodiopsida: Lycopodiaceae) in China. Phytotaxa 2017, 307, 161–163. [Google Scholar] [CrossRef]
- Patrick, R. A proposed biological measure of stream conditions, based on a survey of the Conestoga Basin, Lancaster County, Pennsylvania. Proc. Acad. Nat. Sci. Phila. 1949, 101, 277–342. [Google Scholar]
- Ma, K.P. Measurement method of community diversity. Chin. Biodivers. 1994, 2, 162–168. [Google Scholar]
- Liu, S.L.; Dong, Y.H.; Sun, Y.X.; Li, J.R.; An, Y.; Shi, F.N. Modelling the spatial pattern of biodiversity utilizing the high-resolution tree cover data at large scale: Case study in Yunnan province, Southwest China. Ecol. Eng. 2019, 134, 1–8. [Google Scholar] [CrossRef]
- Gleason, H.A. On the relation between species and area. Ecology 1922, 3, 158–162. [Google Scholar]
- Gleason, H.A. Species and area. Ecology 1925, 6, 66–74. [Google Scholar]
- Zang, D.K. A preliminary study on the ferns flora in China. Acta Bot. Boreali-Occident. Sin. 1998, 18, 459–465. [Google Scholar]
- Yan, Y.H.; Zhang, X.C.; Ma, K.P. Pteridophytes in China: Diversity and Distribution; Science Press: Beijing, China, 2013. [Google Scholar]
- Zhang, Q.; Ren, R.; Zhao, L. Forest Spatial Distribution and Influencing Factors in Northeast China. J. Northeast For. Univ. 2013, 41, 25–28. [Google Scholar]
- Körner, C. Mountain biodiversity, its causes and function. Ambio 2004, 13, 11–17. [Google Scholar] [CrossRef]
- Körner, C.; Jetz, W.; Paulsen, J.; Payne, D.; Rudmann-Maurer, K.; Spehn, E.M. A global inventory of mountains for bio-geographical applications. Alp Bot. 2017, 127, 1–15. [Google Scholar] [CrossRef]
- Barthlott, W.; Mutke, J.; Rafiqpoor, D.; Kier, G.; Kreft, H. Global centers of vascular plant diversity. Nova Acta Leopold. 2005, 92, 61–83. [Google Scholar]
- Wang, X.P.; Wang, Z.H.; Fang, J.Y. Mountain ranges and peaks in China. Biodivers. Sci. 2004, 12, 206–212. [Google Scholar]
- Aldasoro, J.J.; Cabezas, F.; Aedo, C. Diversity and distribution of ferns in sub-Saharan African, Madagascar and some islands of the South Atlantic. J. Biogeogr. 2004, 31, 1579–1604. [Google Scholar] [CrossRef]
- IPCC. Climate Change 2007: The Physical Science Basis; Summary for policy makers; Contribution of Working Group 1 to the Fourth Assessment Report of the Intergovernmental Panel on Climate Change; Cambridge University Press: Cambridge, UK, 2007. [Google Scholar]
- Noss, R.F. Beyond Kyoto: Forest management in a time of rapid climate change. Conserv. Biol. 2001, 15, 578–590. [Google Scholar] [CrossRef]
- Hu, Z.J.; Zhang, Y.L.; Liu, L.S.; Yu, H.B. Refugia and their identification methods: A review. Chin. J. Ecol. 2013, 32, 3397–3406. [Google Scholar]
- Badgley, C.; Smiley, T.M.; Terry, R.; Davis, E.B.; DeSantis, L.R.G.; Fox, D.L.; Hopkins, S.S.B.; Jezkova, T.; Matocq, M.D.; Matzke, N.; et al. Biodiversity and topographic complexity: Modern and geohistorical perspectives. Trends Ecol. Evol. 2017, 32, 211–226. [Google Scholar] [CrossRef]
- Wu, Z.Y. Chinese Vegetation; Science Press: Beijing, China, 1980. [Google Scholar]
- Provan, J.; Bennett, K.D. Phylogeographic insights into cryptic glacial refugia. Trends Ecol. Evol. 2008, 23, 564–571. [Google Scholar] [CrossRef]
- Keppel, G.; van Niel, K.P.; Wardell-Johnson, G.W.; Yates, C.J.; Byrne, M.; Mucina, L.; Schut, A.G.T.; Hopper, S.D.; Franklin, S.E. Refugia: Identifying and understanding safe havens for biodiversity under climate change. Glob. Ecol. Biogeogr. 2012, 21, 393–404. [Google Scholar] [CrossRef]
- Chen, D.M.; Kang, H.Z.; Liu, C.J. An overview on the potential quaternary glacial refugia of plants in China mainland. Bull. Bot. Res. 2011, 31, 623–632. [Google Scholar]




| Family | No. of Genus | No. of Species | Family | No. of Genus | No. of Species | Family | No. of Genus | No. of Species |
|---|---|---|---|---|---|---|---|---|
| Dryopteridaceae | 4 | 20 | Aspleniaceae | 1 | 9 | Osmundaceae | 3 | 3 |
| Athyriaceae | 3 | 16 | Pteridaceae | 4 | 9 | Salviniaceae | 2 | 2 |
| Lycopodiaceae * | 5 | 13 | Polypodiaceae | 5 | 7 | Davalliaceae | 1 | 1 |
| Equisetaceae | 1 | 11 | Thelypteridaceae | 4 | 6 | Hymenophyllaceae | 1 | 1 |
| Selaginellaceae * | 1 | 11 | Cystopteridaceae | 2 | 5 | Marsileaceae | 1 | 1 |
| Woodsiaceae | 1 | 11 | Onocleaceae | 3 | 4 | |||
| Ophioglossaceae | 4 | 10 | Dennstaedtiaceae | 2 | 3 |
| Genus | No. of Species | Genus | No. of Species | Genus | No. of Species |
|---|---|---|---|---|---|
| Dryopteris | 15 | Botrypus | 2 | Davallia | 1 |
| Equisetum | 11 | Coniogramme | 2 | Dendrolycopodium * | 1 |
| Selaginella * | 11 | Cystopteris | 2 | Lepisorus | 1 |
| Woodsia | 11 | Dennstaedtia | 2 | Marsilea | 1 |
| Athyrium | 10 | Diphasiastrum * | 2 | Onoclea | 1 |
| Asplenium | 9 | Diplazium | 2 | Oreopteris | 1 |
| Huperzia * | 5 | Matteuccia | 2 | Osmunda | 1 |
| Deparia | 4 | Ophioglossum | 2 | Osmundastrum | 1 |
| Adiantum | 3 | Parathelypteris | 2 | Paragymnopteris | 1 |
| Aleuritopteris | 3 | Spinulum * | 2 | Pentarhizidium | 1 |
| Botrychium | 3 | Thelypteris | 2 | Phegopteris | 1 |
| Gymnocarpium | 3 | Arachniodes | 1 | Pleurosoriopsis | 1 |
| Lycopodium * | 3 | Azolla | 1 | Polypodium | 1 |
| Polystichum | 3 | Claytosmunda | 1 | Pteridium | 1 |
| Pyrrosia | 3 | Crepidomanes | 1 | Salvinia | 1 |
| Sceptridium | 3 | Cyrtomium | 1 | Selliguea | 1 |
Disclaimer/Publisher’s Note: The statements, opinions and data contained in all publications are solely those of the individual author(s) and contributor(s) and not of MDPI and/or the editor(s). MDPI and/or the editor(s) disclaim responsibility for any injury to people or property resulting from any ideas, methods, instructions or products referred to in the content. |
© 2025 by the authors. Licensee MDPI, Basel, Switzerland. This article is an open access article distributed under the terms and conditions of the Creative Commons Attribution (CC BY) license (https://creativecommons.org/licenses/by/4.0/).
Share and Cite
Li, Y.; Yu, S.; Xu, S.; Jia, L.; He, X. Understanding the Diversity and Distribution of Lycophytes and Ferns in Northeast China Based on Historical Records. Diversity 2025, 17, 204. https://doi.org/10.3390/d17030204
Li Y, Yu S, Xu S, Jia L, He X. Understanding the Diversity and Distribution of Lycophytes and Ferns in Northeast China Based on Historical Records. Diversity. 2025; 17(3):204. https://doi.org/10.3390/d17030204
Chicago/Turabian StyleLi, Yan, Shuai Yu, Sheng Xu, Lian Jia, and Xingyuan He. 2025. "Understanding the Diversity and Distribution of Lycophytes and Ferns in Northeast China Based on Historical Records" Diversity 17, no. 3: 204. https://doi.org/10.3390/d17030204
APA StyleLi, Y., Yu, S., Xu, S., Jia, L., & He, X. (2025). Understanding the Diversity and Distribution of Lycophytes and Ferns in Northeast China Based on Historical Records. Diversity, 17(3), 204. https://doi.org/10.3390/d17030204
