Prediction and Spatiotemporal Transfer of Vegetation Vulnerability in the South African Coastal Zone Under Different Shared Socioeconomic Pathway (SSP) Scenarios
Abstract
1. Introduction
2. Materials and Methods
2.1. Overview of the Study Area
2.2. Research Methods
2.2.1. SSP Scenario Assumptions
2.2.2. Construction of the Vegetation Vulnerability Assessment System
Indicator Selection
Data Standardization
Principal Component Analysis
Vegetation Vulnerability Classification
2.2.3. Comparative Analysis of Spatiotemporal Dynamics
2.2.4. Transfer Feature Quantification Method
2.2.5. Coupling Analysis of Land Use Type and Vegetation Vulnerability Level
2.3. Data Source
3. Results
3.1. Spatial and Temporal Pattern of Vegetation Vulnerability in the Base Period
3.2. Spatiotemporal Evolution of Vegetation Vulnerability Under Different SSP Scenarios
3.3. Analysis of the Characteristics of Vegetation Vulnerability Level Transfer
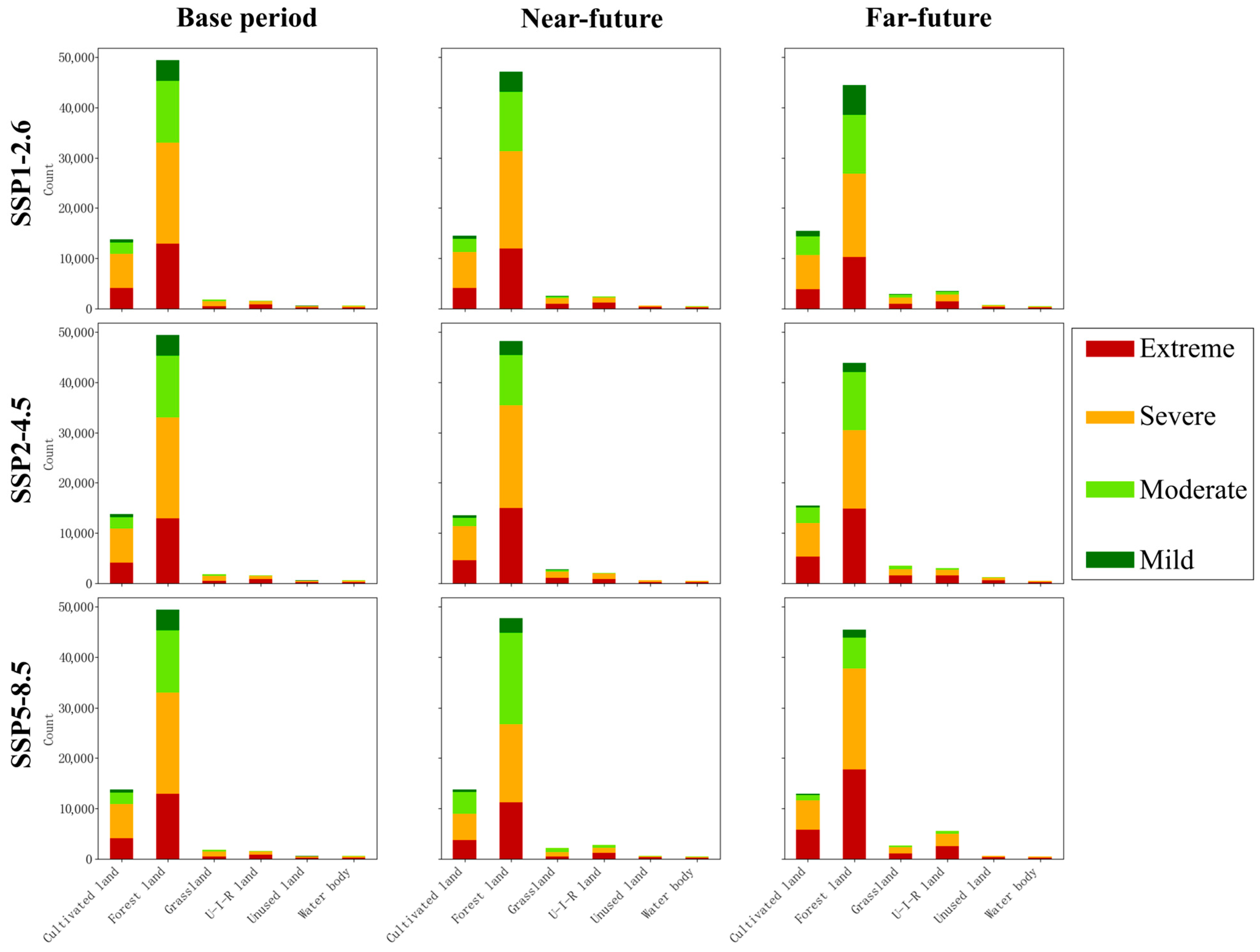
3.4. Analysis of the Coupling Relationship Between Land Use and Vegetation Vulnerability
4. Discussion
4.1. Driving Mechanism of the Spatiotemporal Evolution of Vegetation Vulnerability Under Different SSP Scenarios
4.2. Impact of Land Use Change on Vegetation Vulnerability Shift
4.3. Limitations of the Study and Future Research Directions
5. Conclusions
5.1. Core Findings
5.2. Scientific Contributions
5.3. Practical Implications
5.4. Limitations and Future Directions
Author Contributions
Funding
Data Availability Statement
Conflicts of Interest
References
- IPCC. Climate Change 2013: The Physical Science Basis. Contribution of Working Group I to the Fifth Assessment Report of the Intergovern-mental Panel on Climate Change; Cambridge University Press: Cambridge, UK; New York, NY, USA, 2013. [Google Scholar]
- Pelser, A. Trends and changes in the South African population structure: Some implications for planning and policy-making: Scientific articles. Stads-En Streeksbeplanning Town Reg. Plan. 2005, 2005, 17–25. [Google Scholar]
- Roos, C.; Alberts, R.C.; Retief, F.P.; Cilliers, D.P.; Bond, A.J. Proposing principles towards responsible waste management in South African protected areas. KOEDOE-Afr. Prot. Area Conserv. Sci. 2003, 65, 1753. [Google Scholar] [CrossRef]
- Goble, B.J.; Hill, T.R.; Phillips, M.R. An assessment of integrated coastal management governance and implementation using the DPSIR framework: KwaZulu-Natal, South Africa. Coast. Manag. 2017, 45, 107–124. [Google Scholar] [CrossRef]
- Wu, H.; Liu, B.; Zhang, Z.; Zhu, W.; Jiang, S. Temporal and spatial variation of land development and utilization intensity in coastal zone of South Africa from 2000 to 2020. World Reg. Stud. 2023, 32, 18. [Google Scholar]
- Yang, F.; Zhang, L.; Chen, B.; Li, K.; Liao, J.; Mahmood, R.; Hasan, M.E.; Mamun, M.M.A.A.; Raza, S.A.; Sutrisno, D. Long-term change of coastline length along selected coastal countries of Eurasia and African continents. Remote Sens. 2023, 15, 2344. [Google Scholar] [CrossRef]
- Yang, H.; Zhong, X.; Deng, S.; Xu, H. Assessment of the impact of LUCC on NPP and its influencing factors in the Yangtze River basin, China. Catena 2021, 206, 105542. [Google Scholar] [CrossRef]
- van der Merwe, J.H.; Lohrentz, G. Demarcating coastal vegetation buffers with multicriteria evaluation and GIS at Saldanha Bay, South Africa. AMBIO A J. Hum. Environ. 2001, 30, 89–95. [Google Scholar] [CrossRef]
- Zhu, W.; Zhang, Z.; Feng, S.; Ren, H. Prediction and Transition of Vegetation Vulnerability in the Mara River Basin under Different Shared Socio-Economic Pathways (SSPs). East Afr. For. 2024, 15, 610. [Google Scholar] [CrossRef]
- Nwobi, E.; Reardon, K.; Rohan, F.; Aslam, A.; Mayer, M.; Bryan, T.; Fitzpatrick, S.; Zaheer, L. Rigorous Baseline Data: The Key to Successful Mangrove Conservation and Restoration Projects in West Africa (No. EGU25-9117). In Proceedings of the EGU General Assembly 2025, Vienna, Austria, 27 April–2 May 2025. [Google Scholar]
- Crossland, C.J.; Baird, D.; Ducrotoy, J.-P.; Lindeboom, H.; Buddemeier, R.W.; Dennison, W.C.; Maxwell, B.A.; Smith, S.V.; Swaney, D.P. The coastal zone—A domain of global interactions. In Coastal Fluxes in the Anthropocene: The Land-Ocean Interactions in the Coastal Zone Project of the International Geosphere-Biosphere Programme; Springer: Berlin/Heidelberg, Germany, 2005; pp. 1–37. [Google Scholar]
- Guterres, A. The Sustainable Development Goals Report 2020. In United Nations Publication Issued by the Department of Economic and Social Affairs; United Nations: New York, NY, USA, 2020; p. 64. [Google Scholar]
- van Wilgen, N.J.; Faulkner, K.T.; Robinson, T.B.; South, J.; Beckett, H.; Janion-Scheepers, C.; Measey, J.; Midgley, G.F.; Richardson, D.M. Climate change and biological invasions in South Africa. In Invasive Species and Global Climate Change; CABI: Wallingford, UK, 2022; pp. 158–187. [Google Scholar]
- Zhao, R.; Zhao, P. International comparison and definition of coastal zone concepts and scope. Mar. Econ. 2014, 4, 58–64. [Google Scholar] [CrossRef]
- Huang, R.; Pei, Z. Research on legal issues of coastal ecological environment protection. Mar. Dev. Manag. 2020, 37, 46–51. [Google Scholar]
- Mamathaba, M.P.; Yessoufou, K.; Moteetee, A. What does it take to further our knowledge of plant diversity in the megadiverse South Africa? Diversity 2022, 14, 748. [Google Scholar] [CrossRef]
- Gardner, R.C.; Davidson, N.C. The ramsar convention. In Wetlands: Integrating Multidisciplinary Concepts; Springer: Berlin/Heidelberg, Germany, 2011; pp. 189–203. [Google Scholar]
- Mthembu, S.E.; Chasomeris, M. Revisiting marine services pricing in South Africa’s ports. WMU J. Marit. Aff. 2024, 23, 5–24. [Google Scholar] [CrossRef]
- Twalo, T. Are poverty, inequality and unemployment here to stay in South Africa? J. Dev. Sustain. 2024, 13, 992–1010. [Google Scholar]
- Chilenga-Butao, T.; Holl, W. The Role of The Department of Mineral Resources and Energy. In South Africa’s Just Energy Transition; Presidential Climate Commission: Johannesburg, South Africa, 2024. [Google Scholar]
- Yang, L.; Sun, Z.; Li, J.; Shi, L.; Kong, H.; Yang, Y.; Li, T. Spatiotemporal patterns and driving forces of land-use and land-cover change in the Mu Us Sandy Land, China from 1980 to 2018. Arid. Land Res. Manag. 2022, 36, 109–124. [Google Scholar] [CrossRef]
- Wei, H.; Deng, Y.; Lin, L.; Huang, J.; Wang, J.; Huang, H. Comparative study on the stability of soil aggregates in typical microhabitats in karst ecologically fragile areas. Acta Ecol. Sin. 2022, 42, 2751–2762. [Google Scholar] [CrossRef]
- Zhu, W.; Zhang, Z.; Guo, X. Characteristics and estimation of ecological water demand of vegetation in the Mara River Basin. Acta Ecol. Sin. 2023, 43, 1–13. [Google Scholar]
- Frazee, S.R.; Cowling, R.M.; Pressey, R.L.; Turpie, J.K.; Lindenberg, N. Estimating the costs of conserving a biodiversity hotspot: A case-study of the Cape Floristic Region, South Africa. Biol. Conserv. 2003, 112, 275–290. [Google Scholar] [CrossRef]
- Afuye, G.A.; Kalumba, A.M.; Owolabi, S.T.; Thamaga, K.H.; Ndou, N.; Sibandze, P.; Orimoloye, I.R. Analyzing spatiotemporal variations and dynamics of vegetation over Amathole district municipality in South Africa. In Environment, Development and Sustainability; Springer: Berlin/Heidelberg, Germany, 2024; pp. 1–26. [Google Scholar]
- Opiyo, S.B.; Pienaar, L.; Piketh, S.J.; Burger, R.P.; Chikoore, H.; Havenga, H. Assessment of vegetation density trends in response to long-term climate change impacts in Western South Africa (1962–2022) using SPEI and NDVI time series. Discov. For. 2025, 1, 29. [Google Scholar] [CrossRef]
- Mbuqwa, P.; Magagula, H.B.; Kalumba, A.M.; Afuye, G.A. Interdecadal Variations in Agricultural Drought Monitoring Using Land Surface Temperature and Vegetation Indices: A Case of the Amahlathi Local Municipality in South Africa. Sustainability 2024, 16, 8125. [Google Scholar] [CrossRef]
- He, Q.; Silliman, B.R. Climate change, human impacts, and coastal ecosystems in the Anthropocene. Curr. Biol. 2019, 29, R1021–R1035. [Google Scholar] [CrossRef] [PubMed]
- Mpanyaro, Z.; Kalumba, A.M.; Zhou, L.; Afuye, G.A. Mapping and Assessing Riparian Vegetation Response to Drought along the Buffalo River Catchment in the Eastern Cape Province, South Africa. Climate 2024, 12, 7. [Google Scholar] [CrossRef]
- Suding, K.N.; Hobbs, R.J. Threshold models in restoration and conservation: A developing framework. Trends Ecol. Evol. 2009, 24, 271–279. [Google Scholar] [CrossRef]
- Guo, S.; Li, X.; Cao, N.; Wang, Y. The impact of rural tourism on the poverty vulnerability of aging rural households. Sustainability 2023, 15, 6800. [Google Scholar] [CrossRef]
- Jiang, R.; Fei, L.; Kang, S. Analysis and prediction of urban agglomeration ecological footprint based on improved three-dimensional ecological footprint and shared socioeconomic pathways. Ecol. Indic. 2025, 170, 113079. [Google Scholar] [CrossRef]
- Xiao, H.; Shao, H.; Long, J.; Zhang, S.; He, S.; Wang, D. Spatial-temporal pattern evolution and geological influence factors analysis of ecological vulnerability in Western Sichuan mountain region. Ecol. Indic. 2023, 155, 110980. [Google Scholar] [CrossRef]
- IPCC. Climate Change 2022: Impacts, Adaptation and Vulnerability. Contribution of Working Group II to the Sixth Assessment Report of the Intergovernmental Panel on Climate Change; Cambridge University Press: Cambridge, UK, 2022. [Google Scholar]
- von Maltitz, G.P.; Midgley, G.F.; Veitch, J.; Brümmer, C.; Rötter, R.P.; Viehberg, F.A.; Veste, M. (Eds.) Sustainability of Southern African Ecosystems under Global Change: Science for Management and Policy Interventions; Springer: Cham, Switzerland, 2024. [Google Scholar]
- Du Plessis, S.; van der Merwe, H.; le Roux, A. Projected land use change in Africa under climate warming scenarios. Sci. Rep. 2024, 14, 61035. [Google Scholar]
- Nel, J.L.; Driver, A.; Strydom, W.F. Atlas of Freshwater Ecosystem Priority Areas in South Africa; South African National Biodiversity Institute: Brummeria, Pretoria, 2011. [Google Scholar]
- Zhang, Y.; Wang, L.; Chen, Y. Biodiversity and Wetting of Climate Alleviate Vegetation Vulnerability Under Compound Drought and Heat Extremes. Geophys. Res. Lett. 2024, 51, e2024GL067890. [Google Scholar]
- Miao, X. NDVI Evolution and Ecological Vulnerability Assessment of Vegetation in Ordos City. Master’s Thesis, Northwest Agriculture and Forestry University, Xianyang, China, 2022. [Google Scholar] [CrossRef]
- Guo, Z. Long-Term Land Cover Mapping and Ecological Vulnerability Assessment in Gansu Province. Ph.D. Thesis, Lanzhou University, Lanzhou, China, 2024. [Google Scholar] [CrossRef]
- Jing, C.; Jiang, T.; Su, B.; Wang, Y.; Wang, G.; Huang, J.; Gao, M.; Lin, Q.; Liu, S.; Zhai, J. Application of shared socioeconomic pathways in land use, energy and carbon emissions research. J. Atmos. Sci. 2022, 45, 397–413. [Google Scholar] [CrossRef]
- Estoque, R.C.; Ooba, M.; Avitabile, V.; Hijioka, Y.; DasGupta, R.; Togawa, T.; Murayama, Y. The future of Southeast Asia’s forests. Nat. Commun. 2019, 10, 1829. [Google Scholar] [CrossRef] [PubMed]
- Song, C.; Cheng, C.; Shi, P. The connotation of geographical complexity in the new era. Acta Geogr. Sin. 2018, 73, 1204–1213. [Google Scholar]
- Li, L.; Zhou, G. Response of forest vegetation to scenic activities in Wuyishan National Park. Acta Ecol. Sin. 2020, 40, 7267–7276. [Google Scholar]
- Yang, Y.; Zhou, D.; Yan, Z.; Liu, Z.; Zhang, L. Analysis of ecological vulnerability and its controlling factors in the Loess Plateau based on vegetation productivity. J. Ecol. Environ. 2022, 31, 1951–1958. [Google Scholar] [CrossRef]
- Zhang, J.; Hu, L.; Yang, K. Monitoring desertification in Ordos City using integrated vegetation and soil indicators. J. Arid. Environ. 2025, 229, 105391. [Google Scholar] [CrossRef]










| Aspect Index | Specific Indicators | Unit | Indicator Properties |
|---|---|---|---|
| Natural factors | Annual precipitation | Mm | burden |
| Average annual temperature | °C | burden | |
| Soil type | - | just | |
| Average elevation | M | just | |
| Vegetation ecological Water requirement | m3 | burden | |
| Human Factors | Population density | Person/km2 | just |
| Land use degree | % | just |
| Data Category | Data Source for the Base Period (2011–2020) | Sources of Near-Term and Long-Term Data |
|---|---|---|
| meteorological | Use ERA5-Land monthly average reanalysis data to obtain temperature and precipitation data during this period. The vector boundary of the South African coastline was cut and invalid values of the ocean area were removed and resampled to 1 km resolution using the double linear interpolation method. | With reference to the CMIP6 meteorological data set, the CNRM-CM6-1-HR CMIP6 model data were selected after comprehensively considering the scope of the research area and the required data elements. These data cover key indicators such as net surface radiation, average temperature, and precipitation. Its spatial resolution of 0.5° × 0.5°. Resampled to 1 km resolution using the double linear interpolation method to remain consistent with the base period data. |
| Soil | Relying on the World Soil Database (HSWD), base period soil data is obtained, and the bilinear interpolation method is used to resample to 1 km resolution. | Same base period. |
| Elevation | The data provided by the STRM are used as the source of base period elevation information. | Same base period. |
| Population | The base period population density data comes from the WorldPop population density dataset. | According to the population growth trend given in the World Population Prospects Report, the average population density in the study area in the corresponding period was estimated based on the average natural population growth rate of 2.3%, 1% and 0.384% in Africa in 2020–2030, 2030–2059, and 2070–2099, respectively. |
| Land Use | The ESA land use data from 2011 to 2020 are used to determine the average land use status based on the land type with the largest proportion in each grid. | Using the annual land cover data for 2030–2059 and 2070–2099 under the SSP1-2.6, SSP2-4.5, and SSP5-8.5 shared pathways in the LUH2 dataset, the average land use in the near and long term was obtained using the same data processing logic as the base period. |
| Vegetation ecological water demand | The base period data are cited from [23]. | Combining CMIP6 meteorological data, soil data, and elevation data, the random forest algorithm is used for simulation calculation to obtain the vegetation ecological water demand data in the near and long term. |
| Unit: km2 | Base Period 2011–2020 | ||||
|---|---|---|---|---|---|
| Extreme | Severe | Moderate | Mild | ||
| Near-future SSP1-2.6 | Extreme | 19,540 | 1 | 0 | 0 |
| Severe | 64 | 29,547 | 1 | 0 | |
| Moderate | 0 | 40 | 15,530 | 0 | |
| Mild | 0 | 0 | 11 | 4860 | |
| Near-future SSP2-4.5 | Extreme | 17,672 | 0 | 0 | 0 |
| Severe | 1932 | 25,297 | 0 | 0 | |
| Moderate | 0 | 4291 | 12,918 | 0 | |
| Mild | 0 | 0 | 2624 | 4860 | |
| Near-future SSP5-8.5 | Extreme | 12,177 | 10,441 | 0 | 0 |
| Severe | 7427 | 19,147 | 4337 | 0 | |
| Moderate | 0 | 0 | 11,205 | 1469 | |
| Mild | 0 | 0 | 0 | 3391 | |
| Far-future SSP1-2.6 | Extreme | 19,604 | 5339 | 0 | 0 |
| Severe | 0 | 24,249 | 1748 | 0 | |
| Moderate | 0 | 0 | 13,794 | 2489 | |
| Mild | 0 | 0 | 0 | 2371 | |
| Far-future SSP2-4.5 | Extreme | 17,673 | 0 | 0 | 0 |
| Severe | 1931 | 21,619 | 0 | 0 | |
| Moderate | 0 | 7969 | 15,542 | 1252 | |
| Mild | 0 | 0 | 0 | 3608 | |
| Far-future SSP5-8.5 | Extreme | 18,340 | 10,441 | 0 | 0 |
| Severe | 1264 | 19,147 | 10,255 | 0 | |
| Moderate | 0 | 0 | 5287 | 2934 | |
| Mild | 0 | 0 | 0 | 1926 | |
Disclaimer/Publisher’s Note: The statements, opinions and data contained in all publications are solely those of the individual author(s) and contributor(s) and not of MDPI and/or the editor(s). MDPI and/or the editor(s) disclaim responsibility for any injury to people or property resulting from any ideas, methods, instructions or products referred to in the content. |
© 2025 by the authors. Licensee MDPI, Basel, Switzerland. This article is an open access article distributed under the terms and conditions of the Creative Commons Attribution (CC BY) license (https://creativecommons.org/licenses/by/4.0/).
Share and Cite
Chen, M.; Liu, B.; Zhu, W.; Liang, M.; Hu, Y.; Li, L.; Ouyang, T. Prediction and Spatiotemporal Transfer of Vegetation Vulnerability in the South African Coastal Zone Under Different Shared Socioeconomic Pathway (SSP) Scenarios. Diversity 2025, 17, 753. https://doi.org/10.3390/d17110753
Chen M, Liu B, Zhu W, Liang M, Hu Y, Li L, Ouyang T. Prediction and Spatiotemporal Transfer of Vegetation Vulnerability in the South African Coastal Zone Under Different Shared Socioeconomic Pathway (SSP) Scenarios. Diversity. 2025; 17(11):753. https://doi.org/10.3390/d17110753
Chicago/Turabian StyleChen, Minru, Binglin Liu, Wanyi Zhu, Mingzhi Liang, Yi Hu, Liwen Li, and Tingting Ouyang. 2025. "Prediction and Spatiotemporal Transfer of Vegetation Vulnerability in the South African Coastal Zone Under Different Shared Socioeconomic Pathway (SSP) Scenarios" Diversity 17, no. 11: 753. https://doi.org/10.3390/d17110753
APA StyleChen, M., Liu, B., Zhu, W., Liang, M., Hu, Y., Li, L., & Ouyang, T. (2025). Prediction and Spatiotemporal Transfer of Vegetation Vulnerability in the South African Coastal Zone Under Different Shared Socioeconomic Pathway (SSP) Scenarios. Diversity, 17(11), 753. https://doi.org/10.3390/d17110753

