Successional Patterns of Plant and Animal Diversity Under Contrasting Restoration Modes in Typical Coal-Mine Wastelands of Southwestern China
Abstract
1. Introduction
2. Materials and Methods
2.1. Study Area
2.2. Survey Design and Field Sampling
2.3. Data Analysis
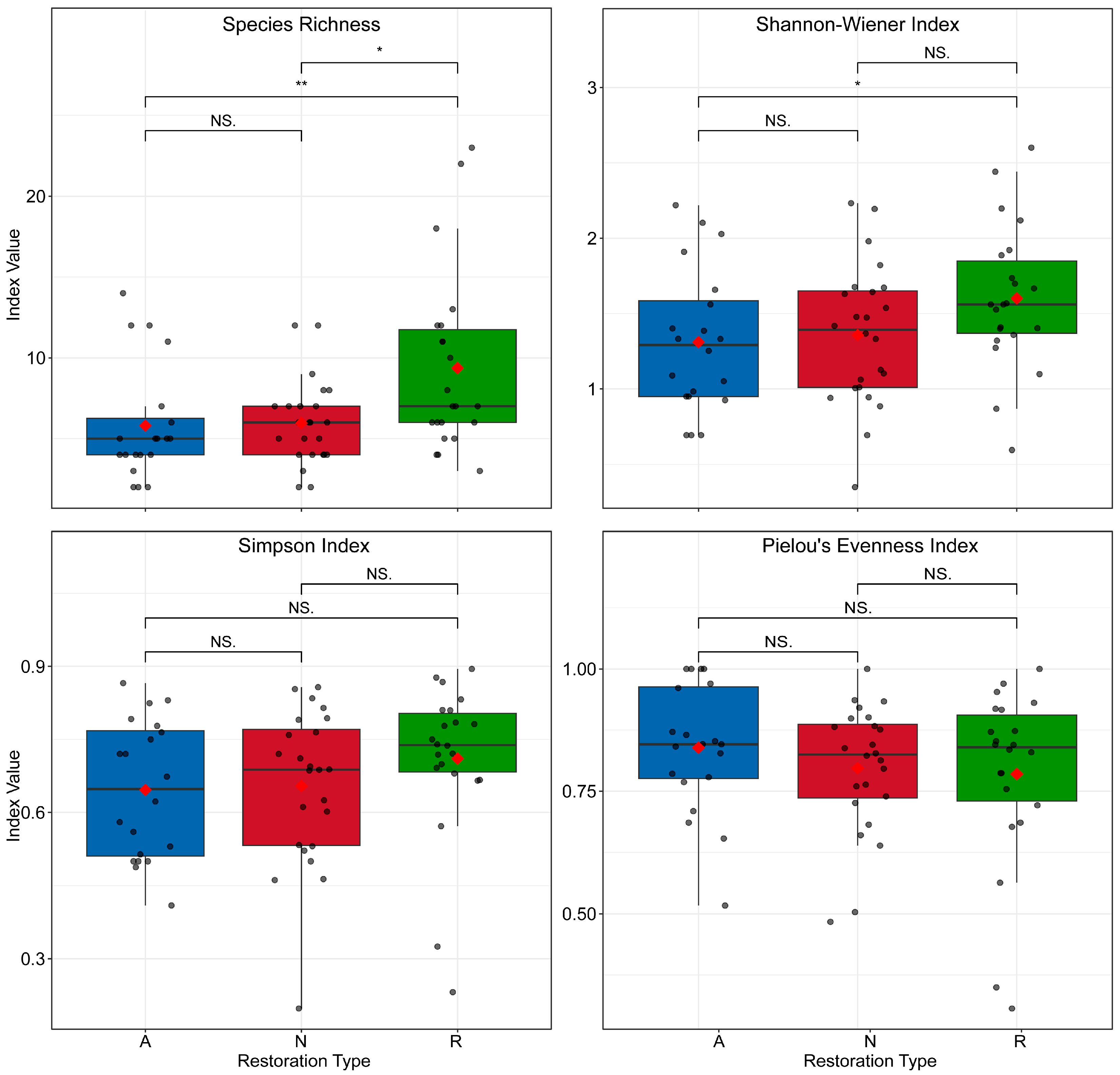
3. Results
3.1. Species Composition of Plants and Animals in a Typical Coal-Mine Wasteland of Eastern Yunnan
3.2. α-Diversity Progression Under Contrasting Restoration Modes
3.3. β-Diversity Patterns Under Contrasting Restoration Modes
4. Discussion
4.1. Synthesis of Key Findings
4.2. Limitations and Mitigation
5. Conclusions
Author Contributions
Funding
Institutional Review Board Statement
Data Availability Statement
Acknowledgments
Conflicts of Interest
References
- International Energy Agency (IEA). Coal 2023: Analysis and Forecast to 2026; IEA Publications: Paris, France, 2023; Available online: www.iea.org/reports/coal-2023 (accessed on 22 September 2025).
- Xu, J.X.; Zhao, H.; Yin, P.C.; Wu, L.X.; Li, G. Landscape ecological quality assessment and its dynamic change in coal mining area: A case study of Peixian. Environ. Earth. Sci. 2019, 78, 708. [Google Scholar] [CrossRef]
- Moreno-Mateos, D.; Alberdi, A.; Morriën, E.; van der Putten, W.H.; Rodríguez-Uña, A.; Montoya, D. The long-term restoration of ecosystem complexity. Nat. Ecol. Evol. 2020, 4, 676–685. [Google Scholar] [CrossRef] [PubMed]
- Fischer, J.; Riechers, M.; Loos, J.; Martin-Lopez, B.; Temperton, V.M. Making the UN Decade on Ecosystem Restoration a Social-Ecological Endeavour. Trends Ecol. Evol. 2021, 36, 20–28. [Google Scholar] [CrossRef]
- Connell, J.H.; Slatyer, R.O. Mechanisms of succession in natural communities and their role in community stability and organization. Am. Nat. 1977, 111, 1119–1144. [Google Scholar] [CrossRef]
- Pickett, S.T.A.; Collins, S.L.; Armesto, J.J. Models, mechanisms and pathways of succession. Bot. Rev. 1987, 53, 335–371. [Google Scholar] [CrossRef]
- Craven, D.; Eisenhauer, N.; Pearse, W.D.; Hautier, Y.; Isbell, F.; Roscher, C.; Bahn, M.; Beierkuhnlein, C.; Bönisch, G.; Buchmann, N.; et al. Multiple facets of biodiversity drive the diversity–stability relationship. Nat. Ecol. Evol. 2018, 2, 1579–1587. [Google Scholar] [CrossRef] [PubMed]
- Poorter, L.; Craven, D.; Jakovac, C.C.; Van der Sande, M.T.; Amissah, L.; Bongers, F.; Chazdon, R.L.; Farrior, C.E.; Kambach, S.; Meave, J.A.; et al. Multidimensional tropical forest recovery. Science 2021, 374, 1370–1376. [Google Scholar] [CrossRef] [PubMed]
- Zhang, L.; Lu, Z.H.; Tang, S.Y.; Zhang, M.; Zhang, R.T.; Huang, Y.K.; Shang, Z. Slope vegetation characteristics and community stability at different restoration years of open-pit coal mine waste dump. Acta Ecol. Sin. 2021, 41, 5764–5774. (In Chinese) [Google Scholar] [CrossRef]
- Jin, W.J.; Bian, Z.X.; Wei, Z.Y.; Dong, Z.C. Damage mechanisms of small-to-medium-scale mines on ecological networks at watershed scale and systematic nature-based mine restoration pathways. Ecol. Eng. 2025, 216, 107638. [Google Scholar] [CrossRef]
- Kreyling, J. Space-for-time substitution misleads projections of plant community and stand-structure development after disturbance in a slow-growing environment. J. Ecol. 2024, 112, 2197–2208. [Google Scholar] [CrossRef]
- Abreu, R.C.R.; Hoffmann, W.A.; Vasconcelos, H.L.; Pilon, N.A.; Rossatto, D.R.; Durigan, G. The biodiversity cost of carbon sequestration in tropical savanna. Sci. Adv. 2017, 3, e1701284. [Google Scholar] [CrossRef]
- Jeltsch, F.; Bonte, D.; Pe’er, G.; Reineking, B.; Leimgruber, P.; Balkenhol, N.; Schröder, B.; Buchmann, C.M.; Mueller, T.; Blaum, N.; et al. Integrating movement ecology with biodiversity research—Exploring new avenues to address spatiotemporal biodiversity dynamics. Mov. Ecol. 2013, 1, 6. [Google Scholar] [CrossRef] [PubMed]
- Xu, H.L.; Xu, F.J.; Lin, T.; Xu, Q.; Yu, P.J.; Wang, C.H.; Aili, A.S.J.; Zhao, X.F.; Zhao, W.Y.; Zhang, P.; et al. A systematic review and comprehensive analysis on ecological restoration of mining areas in the arid region of China: Challenge, capability and reconsideration. Ecol. Indic. 2023, 154, 110630. [Google Scholar] [CrossRef]
- Wrensford, K.C.; Angert, A.L.; Gaynor, K.M. Linking individual animal behavior to species range shifts under climate change. Trends Ecol. Evol. 2025, 40, 805–817. [Google Scholar] [CrossRef] [PubMed]
- Wang, X.Y.; Yang, C.; Qiao, H.J.; Hu, J.H. More than two-fifths of the protected land in a global biodiversity hotspot in southwest China is under intense human pressure. Sci. Total Environ. 2024, 906, 167283. [Google Scholar] [CrossRef]
- Chen, Y.; Cheng, C.; Xiong, K.N.; Rong, L.; Zhang, S.H. Quantifying the biodiversity and ecosystem service outcomes of karst ecological restoration: A meta-analysis of South China Karst. Catena 2024, 245, 108278. [Google Scholar] [CrossRef]
- Yang, H.; Gao, X.; Wu, J.H.; Thompson, J.R.; Flower, R.J. Ecological restoration for China’s mines. Science 2024, 385, 1052–1053. [Google Scholar] [CrossRef]
- Xu, H.L.; Waheed, A.; Kuerban, A.; Muhammad, M.; Ailishiang, A. Dynamic approaches to ecological restoration in China’s mining regions: A scientific review. Ecol. Eng. 2025, 214, 107577. [Google Scholar] [CrossRef]
- Wang, Y.F.; Zhao, S.; Zuo, H.T.; Hu, X.; Guo, Y.; Han, D.; Chang, Y.J. Tracking the Vegetation Change Trajectory over Large-Surface Coal Mines in the Jungar Coalfield Using Landsat Time-Series Data. Remote Sens. 2023, 15, 5667. [Google Scholar] [CrossRef]
- Xu, Y.L.; Guo, L.; Li, J.; Zhang, C.Y.; Ran, W.Y.; Hu, J.Y.; Mao, H.T. Automatically identifying the vegetation destruction and restoration of various open-pit mines utilizing remotely sensed images: Auto-VDR. J. Clean. Prod. 2023, 414, 137490. [Google Scholar] [CrossRef]
- Shi, X.Z.; Zhang, W.Q. Characteristics of an underground stope channel supplied by atmospheric precipitation and its water disaster prevention in the karst mining areas of Guizhou. Sci. Rep. 2023, 13, 15892. [Google Scholar] [CrossRef]
- Huang, G.C.; Dong, J.H.; Xi, W.F.; Zhao, Z.L.; Li, S.F.; Kuang, Z.; An, Q.; Wei, J.; Zhu, Y.H. Study on surface deformation pattern in mine closure area of complex karst mountainous region based on SBAS-InSAR technology. Front. Earth Sci. 2024, 11, 1353593. [Google Scholar] [CrossRef]
- Tian, X.W.; Yao, X.; Zhou, Z.K.; Tao, T. Surface Multi-Hazard Effects of Underground Coal Mining in Mountainous Regions. Remote Sens. 2025, 17, 122. [Google Scholar] [CrossRef]
- Tanwar, K.S.; Sadhu, A.; Jhala, Y.V. Camera trap placement for evaluating species richness, abundance, and activity. Sci. Rep. 2021, 11, 23050. [Google Scholar] [CrossRef]
- Hsieh, T.C.; Ma, K.H.; Chao, A.N. iNEXT: An R package for interpolation and extrapolation of species diversity (Hill numbers). Methods Ecol. Evol. 2016, 7, 1451–1456. [Google Scholar] [CrossRef]
- Li, H.; Chen, W.B.; Lin, J.T.; Zhang, C.; Liang, H.F. Coupling relationship between soil properties and plant diversity under different ecological restoration patterns in the abandoned coal mine area of southern China. Ecol. Evol. 2024, 14, e70686. [Google Scholar] [CrossRef] [PubMed]
- O’Brien, T.G.; Kinnaird, M.F.; Wibisono, H.T. Crouching tigers, hidden prey: Sumatran tiger and prey populations in a tropical forest landscape. Anim. Conserv. 2003, 6, 131–139. [Google Scholar] [CrossRef]
- Zhao, X.; Ma, Y.; Xie, H.Y.; Du, C.; Zhan, A.B.; Xu, J.; Giesy, J.P.; Wu, F.C.; Jin, X.W. Spatial distribution of benthic taxonomic and functional diversity in the Yellow River Basin: From ecological processes to associated determinant factors. Environ. Int. 2024, 188, 108745. [Google Scholar] [CrossRef]
- Becsei, Á.; Fuschi, A.; Otani, S.; Kant, R.; Weinstein, I.; Alba, P.; Stéger, J.; Visontai, D.; Brinch, C.; de Graaf, M.; et al. Time-series sewage metagenomics distinguishes seasonal, human-derived and environmental microbial communities potentially allowing source-attributed surveillance. Nat. Commun. 2024, 15, 7551. [Google Scholar] [CrossRef] [PubMed]
- Kremer, K.N.; Promis, Á.; Bauhus, J. Natural Advance Regeneration of Native Tree Species in Pinus radiata Plantations of South-Central Chile Suggests Potential for a Passive Restoration Approach. Ecosystems 2021, 24, 1215–1229. [Google Scholar] [CrossRef]
- De Almeida, C.; Reid, J.L.; Lima, R.A.F.; Pinto, L.F.G.; Viani, R.A.G. High-diversity Atlantic Forest restoration plantings fail to represent local floras. Perspect. Ecol. Conserv. 2024, 23, 6–11. [Google Scholar] [CrossRef]
- Zhu, H.L.; Zhang, J.L.; Cheuk, M.L.; Hau, B.C.H.; Fischer, G.A.; Gale, S.W. Monoculture plantations impede forest recovery: Evidence from the regeneration of lowland subtropical forest in Hong Kong. Front. For. Glob. Change 2023, 6, 1098666. [Google Scholar] [CrossRef]
- Zhang, Y.K.; Liu, X.H.; Lv, Z.X.; Zhao, X.Y.; Yang, X.Z.; Jia, X.D.; Sun, W.L.; He, X.B.; He, B.S.; Cai, Q.; et al. Animal diversity responding to different forest restoration schemes in the Qinling Mountains, China. Ecol. Eng. 2019, 136, 23–29. [Google Scholar] [CrossRef]
- Burton, A.C.; Beirne, C.; Gaynor, K.M.; Sun, C.; Granados, A.; Allen, M.L.; Alston, J.M.; Alvarenga, G.C.; Calderón, F.S.Á.; Amir, Z.; et al. Mammal Responses to Global Changes in Human Activity Vary by Trophic Group and Landscape. Nat. Ecol. Evol. 2024, 8, 924–935. [Google Scholar] [CrossRef]
- Zivec, P.; Johnston-Bates, J. Seed rain as a propagule source for restoration of semi-arid floodplain old fields. Appl. Veg. Sci. 2024, 27, e70001. [Google Scholar] [CrossRef]
- Chen, S.B.; Hua, J.G.; Liu, W.T.; Yang, S.Y.; Wang, X.Q.; Ji, W.L. Effects of Artificial Restoration and Natural Recovery on Plant Communities and Soil Properties across Different Temporal Gradients after Landslides. Forests 2023, 14, 1974. [Google Scholar] [CrossRef]
- Houehanou, B.; Gaoue, O.G. Proximity to forests, fire and plantation characteristics influence understory plant species richness more than phylogenetic diversity in African mahogany plantations. Sci. Rep. 2025, 15, 12345. [Google Scholar] [CrossRef]
- Van der Sande, M.T.; Craven, D.; Ramirez, J.A.; Herrera, D.; Santini, L.; Chazdon, R.L.; Wright, S.J.; Finegan, B.; Martínez-Ramos, M.; Powers, J.S.; et al. Tropical forest succession increases tree taxonomic and functional richness but decreases evenness. Glob. Ecol. Biogeogr. 2024, 33, e13856. [Google Scholar] [CrossRef]
- Zheng, L.T.; Chen, H.Y.H.; Hautier, Y.; Bao, D.F.; Xu, M.S.; Yang, B.Y.; Zhao, Z.; Zhang, L.; Yan, E.R. Functionally diverse tree stands reduce herbaceous diversity and productivity via canopy packing. Funct. Ecol. 2022, 36, 950–961. [Google Scholar] [CrossRef]
- Chazdon, R.L.; Norden, N.; Colwell, R.K.; Chao, A.N. Monitoring recovery of tree diversity during tropical forest restoration: Lessons from long-term trajectories of natural regeneration. Philos. Trans. R. Soc. B Biol. Sci. 2023, 378, 20210069. [Google Scholar] [CrossRef]
- Zaplata, M.K.; Dullau, S. Applying ecological succession theory to birds in Solar Parks: An approach to address protection and planning. Land 2022, 11, 718. [Google Scholar] [CrossRef]
- Velasco, N.; Soto-Agurto, C.; Carbone, L.; Massi, C.; Bustamante, R.; Smit, C. Large-scale facilitative effects for a single nurse shrub: Impact of the rainfall gradient, plant community and distribution across a geographical barrier. J. Ecol. 2024, 112, 233–245. [Google Scholar] [CrossRef]
- Hua, F.Y.; Bruijnzeel, L.A.; Meli, P.; Martin, P.A.; Zhang, J.; Nakagawa, S.; Miao, X.R.; Wang, W.Y.; McEvoy, C.; Peña-Arancibia, J.L.; et al. The biodiversity and ecosystem service contributions and trade-offs of forest restoration approaches. Science 2022, 376, eabl4649. [Google Scholar] [CrossRef]
- Egler, F.E. Vegetation science concepts I. Initial floristic composition, a factor in old-field vegetation development. Vegetatio 1954, 4, 412–417. [Google Scholar] [CrossRef]
- Martínez-Penados, A.L.; Arroyo-Rodríguez, V.; Morante-Filho, J.C.; Pinel-Ramos, E.J.; Schondube, J. Old-growth forests are critical to safeguard tropical birds in complex landscape mosaics exposed to slash-and-burn agriculture. Landsc. Ecol. 2024, 39, 118. [Google Scholar] [CrossRef]
- Mosanghini, D.; Oriolo, G.; Boscutti, F. Different ways to success: Plant community trajectories over time and a soil moisture gradient in restored wetlands. J. Appl. Ecol. 2023, 60, 29–40. [Google Scholar] [CrossRef]
- Weeks, J.M.; Miller, J.E.D.; Steel, Z.L.; Batzer, E.E.; Safford, H.D. High-severity fire drives persistent floristic homogenization in human-altered forests. Ecosphere 2023, 14, e4409. [Google Scholar] [CrossRef]
- Shaw, T.; Scherer-Lorenzen, M.; Müller, S. Forest structural heterogeneity positively affects bird richness and acoustic diversity in a temperate, central European forest. Front. Ecol. Evol. 2024, 12, 1387879. [Google Scholar] [CrossRef]
- Zhang, D.X.; Mao, R.R.; Liu, M.X.; Zhou, Q.; Wang, Y.Z.; Si, X.F.; Zhao, C.M.; Zhang, L.X. Impacts of forest restoration on multifaceted bird diversity and community assembly in the Loess Plateau of China. For. Ecol. Manag. 2024, 573, 122350. [Google Scholar] [CrossRef]
- Kortmann, M.; Chao, A.N.; Schaefer, H.M.; Blüthgen, N.; Gelis, R.; Tremlett, C.J.; Busse, A.; Püls, M.; Seibold, S.; Kriegel, P.; et al. Sample coverage affects diversity measures of bird communities along a natural recovery gradient of abandoned agriculture in tropical lowland forests. J. Appl. Ecol. 2025, 62, 480–491. [Google Scholar] [CrossRef]
- Guclu, C.; Luk, C.; Ashton, L.A.; Abbas, S.; Boyle, M.J. Beta diversity subcomponents of plant species turnover and nestedness reveal drivers of community assembly in a regenerating subtropical forest. Ecol. Evol. 2024, 14, e70233. [Google Scholar] [CrossRef]
- Joyce, F.H.; Rosales, J.A.; Holl, K.D.; Zahawi, R.A.; Bui, A.; Reid, J.L. Active restoration accelerates recovery of tropical forest bird assemblages over two decades. Biol. Conserv. 2024, 293, 110593. [Google Scholar] [CrossRef]
- Montes-Rojas, A.; Delgado-Morales, N.A.J.; Escucha, R.S.; Siabatto, L.C.; Link, A. Recovering connectivity through restoration corridors in a fragmented landscape in the magdalena river’s valley in Colombia. Biodivers. Conserv. 2024, 33, 3171–3185. [Google Scholar] [CrossRef]
- Noe, E.E.; Innes, J.; Barnes, A.D.; Joshi, C.; Clarkson, B.D. Habitat provision is a major driver of native bird communities in restored urban forests. J. Anim. Ecol. 2022, 91, 1444–1457. [Google Scholar] [CrossRef] [PubMed]
- Haslem, A.; Clarke, R.H.; Maisey, A.C.; Stewart, A.; Radford, J.Q.; Bennett, A.F. Temporal dynamics in the composition of bird communities along a gradient of farmland restoration. Ecol. Appl. 2024, 34, e2947. [Google Scholar] [CrossRef] [PubMed]
- van ‘t Veen, H.; Kuipers, K.; Schipper, A.; Marques, A.; Schelhaas, M.J.; Alkemade, R. A global assessment of plant and animal community responses to forest management over time. Glob. Change Biol. 2025, 31, e70279. [Google Scholar] [CrossRef] [PubMed]
- Zaplata, M.K.; Winter, S.; Fischer, A.; Kollmann, J.; Ulrich, W. Species-driven phases and increasing structure in early-successional plant communities. Am. Nat. 2013, 181, E17–E27. [Google Scholar] [CrossRef]







| Type | Index | Formula | Meaning |
|---|---|---|---|
| Relative abundance | Relative abundance index (RAI) | RAI = (Ai/N) ×100 | Ai = independent photographs of species i; N = total independent photographs at the site. |
| Species richness | Species richness (S) | S = number of species | S is the total number of species in a community or region. |
| Alpha diversity | Shannon–Wiener (H) | H = − | is the proportion of individuals of species i relative to the total number of individuals of all species. |
| Simpson’s diversity (D) | D = 1 | ||
| Pielou evenness (J) | Hmax = lnS. | ||
| Beta diversity | Bray–Curtis (BCd) | BCd = | xi and yi represent the abundance of species i in plot x and plot y, respectively. |
| Category | Type | Restoration Mode | Dominant Species 1 | Dominant Species 2 | Dominant Species 3 |
|---|---|---|---|---|---|
| Plants | Trees | Active restoration | Juniperus chinensis Roxb. (IV = 0.75) | Cryptomeria japonica (Thunb. ex L.) D.Don (IV = 0.42) | Juniperus rigida Siebold & Zucc. (IV = 0.33) |
| Natural regeneration | Pinus armandii Franch. (IV = 0.80) | Pinus yunnanensis Franch. (IV = 0.29) | Alnus nepalensis D.Don (IV = 0.11) | ||
| Reference forest | Pinus armandii Franch. (IV = 0.98) | Pinus yunnanensis Franch. (IV = 0.02) | Cerasus serrulata (Lindl.) Loudon (IV = 0.00) | ||
| Shrubs | Active restoration | Hypericum monogynum Linn. (IV = 0.37) | Morella rubra Lour. (IV = 0.25) | Rhododendron myrsinifolium Ching ex Fang & M. Y. He (IV = 0.25) | |
| Natural regeneration | Hypericum monogynum Linn. (IV = 0.37) | Rhododendron myrsinifolium Ching ex Fang & M. Y. He (IV = 0.36) | Morella rubra Lour. (IV = 0.31) | ||
| Reference forest | Eurya japonica Thunb. (IV = 0.52) | Rhododendron myrsinifolium Ching ex Fang & M. Y. He (IV = 0.44) | Morella rubra Lour. (IV = 0.41) | ||
| Herbs | Active restoration | Miscanthus sinensis Anderss. (IV = 0.35) | Imperata cylindrica (Linn.) Raeusch. (IV = 0.28) | Bidens pilosa Linn. (IV = 0.23) | |
| Natural regeneration | Pteridium aquilinum (Linn.) Kuhn (IV = 0.30) | Miscanthus sinensis Anderss. (IV = 0.28) | Imperata cylindrica (Linn.) Raeusch. (IV = 0.20) | ||
| Reference forest | Lophatherum gracile Brongn. (IV = 0.66) | Cibotium barometz (Linn.) J.Sm. (IV = 0.42) | Viola philippica Cav. (IV = 0.18) | ||
| Animals | Mammals | Active restoration | Tupaia belangeri Wagner, 1841 (RAI = 12.35) | Sciurotamias davidianus Milne-Edwards, 1867 (RAI = 11.32) | Melogale moschata Gray, 1831 (RAI = 8.92) |
| Natural regeneration | Tupaia belangeri Wagner, 1841 (RAI = 27.52) | Rattus tanezumi Temminck, 1845 (RAI = 14.26) | Melogale moschata Gray, 1831 (RAI = 10.24) | ||
| Reference forest | Rattus tanezumi Temminck, 1845 (RAI = 21.45) | Melogale moschata Gray, 1831 (RAI = 18.66) | Tupaia belangeri Wagner, 1841 (RAI = 9.04) | ||
| Birds | Active restoration | Chrysolophus amherstiae Leadbeater, 1829 (RAI = 13.89) | Turdus dissimilis Blyth, 1847 (RAI = 12.52) | Turdus mupinensis Laubmann, 1920 (RAI = 5.83) | |
| Natural regeneration | Chrysolophus amherstiae Leadbeater, 1829 (RAI = 17.07) | Alcippe dubia Hume, 1874 (RAI = 3.41) | Garrulax sannio Swinhoe, 1867 (RAI = 2.41) | ||
| Reference forest | Chrysolophus amherstiae Leadbeater, 1829 (RAI = 9.40) | Streptopelia orientalis Latham, 1790 (RAI = 6.98) | Turdus dissimilis Blyth, 1847 (RAI = 4.34) |
Disclaimer/Publisher’s Note: The statements, opinions and data contained in all publications are solely those of the individual author(s) and contributor(s) and not of MDPI and/or the editor(s). MDPI and/or the editor(s) disclaim responsibility for any injury to people or property resulting from any ideas, methods, instructions or products referred to in the content. |
© 2025 by the authors. Licensee MDPI, Basel, Switzerland. This article is an open access article distributed under the terms and conditions of the Creative Commons Attribution (CC BY) license (https://creativecommons.org/licenses/by/4.0/).
Share and Cite
Wang, H.; Han, D.; Li, Q.; Xu, L.; Cheng, H.; Cao, Y.; Zhu, X.; Pan, Z. Successional Patterns of Plant and Animal Diversity Under Contrasting Restoration Modes in Typical Coal-Mine Wastelands of Southwestern China. Diversity 2025, 17, 752. https://doi.org/10.3390/d17110752
Wang H, Han D, Li Q, Xu L, Cheng H, Cao Y, Zhu X, Pan Z. Successional Patterns of Plant and Animal Diversity Under Contrasting Restoration Modes in Typical Coal-Mine Wastelands of Southwestern China. Diversity. 2025; 17(11):752. https://doi.org/10.3390/d17110752
Chicago/Turabian StyleWang, Haohan, Daoming Han, Qiang Li, Luyan Xu, Haixing Cheng, Yindi Cao, Xiaoxue Zhu, and Zhaohui Pan. 2025. "Successional Patterns of Plant and Animal Diversity Under Contrasting Restoration Modes in Typical Coal-Mine Wastelands of Southwestern China" Diversity 17, no. 11: 752. https://doi.org/10.3390/d17110752
APA StyleWang, H., Han, D., Li, Q., Xu, L., Cheng, H., Cao, Y., Zhu, X., & Pan, Z. (2025). Successional Patterns of Plant and Animal Diversity Under Contrasting Restoration Modes in Typical Coal-Mine Wastelands of Southwestern China. Diversity, 17(11), 752. https://doi.org/10.3390/d17110752

