Exposure of American Black Bears (Ursus americanus) to Ticks, Tick-Borne Diseases, and Intestinal Parasites in Wisconsin
Abstract
1. Introduction
2. Materials and Methods
2.1. Sampling
2.2. Information on Tests Performed: Sensitivity and Specificity
2.3. Statistical Analysis
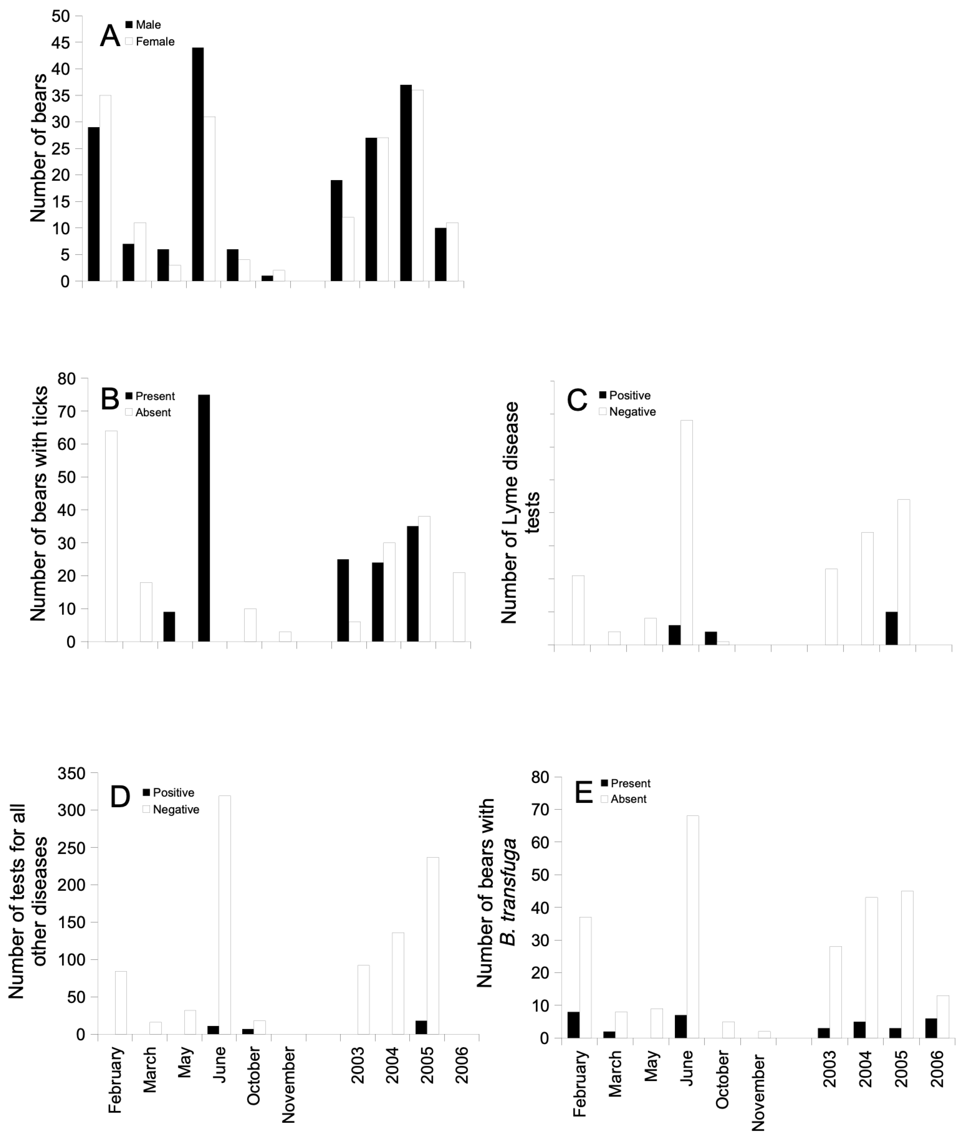
3. Results
4. Discussion
4.1. Tick Presence
4.2. Lyme Disease
4.3. Other Tick-Borne Diseases
4.4. Intestinal Parasites
5. Conclusions
Author Contributions
Funding
Institutional Review Board Statement
Data Availability Statement
Acknowledgments
Conflicts of Interest
References
- Chern, K.; Bird, M.; Frey, K.; Huffman, J.E. Ticks and Tick-Borne Pathogens of Black Bears (Ursus americanus) in New Jersey. J. Pa. Acad. Sci. 2016, 90, 25–30. [Google Scholar] [CrossRef]
- Manville, A.M. Ecto-and endoparasites of the black bear in northern Wisconsin. J. Wildl. Dis. 1978, 14, 97–101. [Google Scholar] [CrossRef]
- Tiffin, H.S.; Skvarla, M.J.; Machtinger, E.T. Tick Abundance and Life-Stage Segregation on the American Black Bear (Ursus Americanus). Int. J. Parasitol. Parasites Wildl. 2021, 16, 208–216. [Google Scholar] [CrossRef]
- Duscher, G.G.; Feiler, A.; Leschnik, M.; Joachim, A. Seasonal and Spatial Distribution of Ixodid Tick Species Feeding on Naturally Infested Dogs from Eastern Austria and the Influence of Acaricides/Repellents on These Parameters. Parasites Vectors 2013, 6, 76. [Google Scholar] [CrossRef]
- Zolnik, C.P.; Makkay, A.M.; Falco, R.C.; Daniels, T.J. American Black Bears as Hosts of Blacklegged Ticks (Acari: Ixodidae) in the Northeastern United States. J. Med. Entomol. 2015, 52, 1103–1110. [Google Scholar] [CrossRef] [PubMed]
- Klein, S.L. Hormonal and Immunological Mechanisms Mediating Sex Differences in Parasite Infection. Parasite Immunol. 2004, 26, 247–264. [Google Scholar] [CrossRef]
- Kazmierczak, J.J.; Amundson, T.E.; Burgess, E.C. Borreliosis in Free-Ranging Black Bears from Wisconsin. J. Wildl. Dis. 1988, 24, 366–368. [Google Scholar] [CrossRef] [PubMed]
- Mortenson, J.A. Serologic Survey of Infectious Disease Agents in Black Bears (Ursus americanus) of California, Oregon, and Washington. Master’s Thesis, Oregon State University, Corvallis, OR, USA, 18 November 1998. [Google Scholar]
- Stephenson, N.; Higley, J.M.; Sajecki, J.L.; Chomel, B.B.; Brown, R.N.; Foley, J.E. Demographic Characteristics and Infectious Diseases of a Population of American Black Bears in Humboldt County, California. Vector-Borne Zoonotic Dis. 2015, 15, 116–123. [Google Scholar] [CrossRef]
- Binninger, C.E.; Beecham, J.J.; Thomas, L.A.; Winward, L.D. A serologic survey for selected infectious diseases of black bears in Idaho. J. Wildl. Dis. 1980, 16, 423–430. [Google Scholar] [CrossRef] [PubMed]
- Bronson, E.; Spiker, H.; Driscoll, C.P. Serosurvey for selected pathogens in free-ranging American black bears (Ursus americanus) in Maryland, USA. J. Wildl. Dis. 2014, 50, 829–836. [Google Scholar] [CrossRef] [PubMed]
- Rogers, L.L. Parasites of black bears of the Lake Superior region. J. Wildl. Dis. 1975, 11, 189–192. [Google Scholar] [CrossRef] [PubMed]
- Bauer, C. Baylisascariosis—Infections of Animals and Humans with ‘Unusual’ Roundworms. Vet. Parasitol. 2013, 193, 404–412. [Google Scholar] [CrossRef] [PubMed]
- Rogers, L.L.; Rogers, S.M. Parasites of Bears: A Review. Bears Their Biol. Manag. 1976, 3, 411. [Google Scholar] [CrossRef]
- Crum, J.M.; Nettles, V.F.; Davidson, W.R. Studies on endoparasites of the black bear (Ursus americanus) in the southeastern United States. J. Wildl. Dis. 1978, 14, 178–186. [Google Scholar] [CrossRef] [PubMed]
- Foster, G.W.; Cunningham, M.W.; Kinsella, J.M.; Forrester, D.J. Parasitic Helminths of Black Bear Cubs (Ursus americanus) from Florida. J. Parasitol. 2004, 90, 173–175. [Google Scholar] [CrossRef] [PubMed]
- Jenness, B. Internal Parasitism in Free-Ranging Black Bears in the Pisgah National Forest. McNair Sch. J. 1997, 1, 23–25. [Google Scholar]
- Pence, D.B.; Crum, J.M.; Conti, J.A. Ecological Analyses of Helminth Populations in the Black Bear, Ursus Americanus, from North America. J. Parasitol. 1983, 69, 933. [Google Scholar] [CrossRef]
- Štrkolcová, G.; Goldová, M.; Šnábel, V.; Špakulová, M.; Orosová, T.; Halán, M.; Mojžišová, J. A Frequent Roundworm Baylisascaris Transfuga in Overpopulated Brown Bears (Ursus Arctos) in Slovakia: A Problem Worthy of Attention. Acta Parasitol. 2018, 63, 167–174. [Google Scholar] [CrossRef] [PubMed]
- Molnár, L.; Königová, A.; Major, P.; Vasilková, Z.; Tomková, M.; Várady, M. Seasonal Pattern of Prevalence and Excretion of Eggs of Baylisascaris Transfuga in the Brown Bear (Ursus Arctos). Animals 2020, 10, 2428. [Google Scholar] [CrossRef]
- Clark, J.D.; Loew, F.M.; Burns, K.F. The Use of Dichlorvos as an Anthelmintic in Naturally Parasitized Bears. J. Am. Vet. Med. Assoc. 1969, 155, 1093–1097. [Google Scholar]
- Kim, M.-K.; Pyo, K.-H.; Hwang, Y.-S.; Park, K.H.; Hwang, I.G.; Chai, J.-Y.; Shin, E.-H. Effect of Temperature on Embryonation of Ascaris Suum Eggs in an Environmental Chamber. Korean J. Parasitol. 2012, 50, 239–242. [Google Scholar] [CrossRef]
- Sikes, A.M.; Katz, C.J.; Hatch, K.A. Exposure of American Black Bears to Various Pathogens in Wisconsin. Ursus 2022, 2022, 1–8. [Google Scholar] [CrossRef]
- Clark, K. Borrelia Species in Host-Seeking Ticks and Small Mammals in Northern Florida. J. Clin. Microbiol. 2004, 42, 5076–5086. [Google Scholar] [CrossRef] [PubMed]
- Piesman, J.; Johnson, B.J.B.; Happ, C.M.; Mayer, L.W. Detection of Borrelia Burgdorferi in Ticks by Species-Specific Amplification of the Flagellin Gene. Am. J. Trop. Med. Hyg. 1992, 47, 730–741. [Google Scholar] [CrossRef]
- Kato, C.Y.; Chung, I.H.; Robinson, L.K.; Austin, A.L.; Dasch, G.A.; Massung, R.F. Assessment of Real-Time PCR Assay for Detection of Rickettsia Spp. and Rickettsia Rickettsii in Banked Clinical Samples. J. Clin. Microbiol. 2013, 51, 314–317. [Google Scholar] [CrossRef] [PubMed]
- Qurollo, B.A.; Riggins, D.; Comyn, A.; Zewde, M.T.; Breitschwerdt, E.B. Development and Validation of a Sensitive and Specific sodB -Based Quantitative PCR Assay for Molecular Detection of Ehrlichia Species. J. Clin. Microbiol. 2014, 52, 4030–4032. [Google Scholar] [CrossRef]
- Dantas-Torres, F. Biology and Ecology of the Brown Dog Tick, Rhipicephalus Sanguineus. Parasites Vectors 2010, 3, 26. [Google Scholar] [CrossRef]
- Beall, M.J.; Alleman, A.R.; Breitschwerdt, E.B.; Cohn, L.A.; Couto, C.G.; Dryden, M.W.; Guptill, L.C.; Iazbik, C.; Kania, S.A.; Lathan, P.; et al. Seroprevalence of Ehrlichia Canis, Ehrlichia Chaffeensis and Ehrlichia Ewingii in Dogs in North America. Parasites Vectors 2012, 5, 29. [Google Scholar] [CrossRef]
- Gray, J.S.; Dautel, H.; Estrada-Peña, A.; Kahl, O.; Lindgren, E. Effects of Climate Change on Ticks and Tick-Borne Diseases in Europe. Interdiscip. Perspect. Infect. Dis. 2009, 2009, 593232. [Google Scholar] [CrossRef]
- Gray, J.; Dantas-Torres, F.; Estrada-Peña, A.; Levin, M. Systematics and Ecology of the Brown Dog Tick, Rhipicephalus Sanguineus. Ticks Tick-Borne Dis. 2013, 4, 171–180. [Google Scholar] [CrossRef]
- Lee, X.; Murphy, D.S.; Hoang Johnson, D.; Paskewitz, S.M. Passive Animal Surveillance to Identify Ticks in Wisconsin, 2011–2017. Insects 2019, 10, 289. [Google Scholar] [CrossRef]
- Bishopp, F.C.; Trembley, H.L. Distribution and Hosts of Certain North American Ticks. J. Parasitol. 1945, 31, 1. [Google Scholar] [CrossRef]
- Raghavan, R.K.; Koestel, Z.L.; Boorgula, G.; Hroobi, A.; Ganta, R.; Harrington, J.; Goodin, D.; Stich, R.W.; Anderson, G. Unexpected Winter Questing Activity of Ticks in the Central Midwestern United States. PLoS ONE 2021, 16, e0259769. [Google Scholar] [CrossRef] [PubMed]
- Rosendale, A.J.; Farrow, D.W.; Dunlevy, M.E.; Fieler, A.M.; Benoit, J.B. Cold Hardiness and Influences of Hibernaculum Conditions on Overwintering Survival of American Dog Tick Larvae. Ticks Tick-Borne Dis. 2016, 7, 1155–1161. [Google Scholar] [CrossRef]
- Burg, J.G. Seasonal Activity and Spatial Distribution of Host-seeking Adults of the Tick Dermacentor Variabilis. Med. Vet. Entomol. 2001, 15, 413–421. [Google Scholar] [CrossRef]
- Fish, D. 2 Population Ecology of Ixodes Dammini. In Ecology and Environmental Management of Lyme Disease; Ginsberg, H., Ed.; Rutgers University Press: New Brunswick, NJ, USA, 1993; pp. 25–42. ISBN 978-0-8135-5603-1. [Google Scholar]
- Duffy, D.C.; Campbell, S.R. Ambient Air Temperature as a Predictor of Activity of Adult Ixodes Scapularis (Acari: Ixodidae). J. Med. Entomol. 1994, 31, 178–180. [Google Scholar] [CrossRef] [PubMed]
- Süss, J.; Klaus, C.; Gerstengarbe, F.; Werner, P.C. What Makes Ticks Tick? Climate Change, Ticks, and Tick-Borne Diseases. J. Travel. Med. 2008, 15, 39–45. [Google Scholar] [CrossRef]
- Foster, E.; Burtis, J.; Sidge, J.L.; Tsao, J.I.; Bjork, J.; Liu, G.; Neitzel, D.F.; Lee, X.; Paskewitz, S.; Caporale, D.; et al. Inter-Annual Variation in Prevalence of Borrelia Burgdorferi Sensu Stricto and Anaplasma Phagocytophilum in Host-Seeking Ixodes Scapularis (Acari: Ixodidae) at Long-Term Surveillance Sites in the Upper Midwestern United States: Implications for Public Health Practice. Ticks Tick-Borne Dis. 2022, 13, 101886. [Google Scholar] [CrossRef] [PubMed]
- Johnson, T.L.; Graham, C.B.; Maes, S.E.; Hojgaard, A.; Fleshman, A.; Boegler, K.A.; Delory, M.J.; Slater, K.S.; Karpathy, S.E.; Bjork, J.K.; et al. Prevalence and Distribution of Seven Human Pathogens in Host-Seeking Ixodes Scapularis (Acari: Ixodidae) Nymphs in Minnesota, USA. Ticks Tick-Borne Dis. 2018, 9, 1499–1507. [Google Scholar] [CrossRef]
- Pepin, K.M.; Eisen, R.J.; Mead, P.S.; Piesman, J.; Fish, D.; Hoen, A.G.; Barbour, A.G.; Hamer, S.; Diuk-Wasser, M.A. Geographic Variation in the Relationship between Human Lyme Disease Incidence and Density of Infected Host-Seeking Ixodes Scapularis Nymphs in the Eastern United States. Am. J. Trop. Med. Hyg. 2012, 86, 1062–1071. [Google Scholar] [CrossRef]
- Steere, A.C.; Strle, F.; Wormser, G.P.; Hu, L.T.; Branda, J.A.; Hovius, J.W.R.; Li, X.; Mead, P.S. Lyme Borreliosis. Nat. Rev. Dis. Primers 2016, 2, 16090. [Google Scholar] [CrossRef] [PubMed]
- Turtinen, L.W.; Kruger, A.N.; Hacker, M.M. Prevalence of Borrelia Burgdorferi in Adult Female Ticks (Ixodes Scapularis), Wisconsin 2010–2013. J. Vector Ecol. 2015, 40, 195–197. [Google Scholar] [CrossRef]
- Stafford, K.C.; Cartter, M.L.; Magnarelli, L.A.; Ertel, S.H.; Mshar, P.A. Temporal Correlations between Tick Abundance and Prevalence of Ticks Infected with Borrelia Burgdorferi and Increasing Incidence of Lyme Disease. J. Clin. Microbiol. 1998, 36, 1240–1244. [Google Scholar] [CrossRef]
- Burtis, J.C.; Bjork, J.; Johnson, T.L.; Schiffman, E.; Neitzel, D.; Eisen, R.J. Seasonal Activity Patterns of Host-Seeking Ixodes Scapularis (Acari: Ixodidae) in Minnesota, 2015–2017. J. Med. Entomol. 2023, 60, 769–777. [Google Scholar] [CrossRef] [PubMed]
- Zajkowska, J. Antibody-Based Techniques for Detection of Lyme Disease: A Challenging Issue. Antib. Technol. J. 2014, 4, 33–44. [Google Scholar] [CrossRef]
- Environmental Public Health Data Tracker. Available online: https://dhsgis.wi.gov/DHS/EPHTracker/#/all/Lyme%20Disease/lymeIndex/NOTRACT/Cases/lymeCtyIndex1 (accessed on 15 April 2024).
- Masters, E.J.; Olson, G.S.; Weiner, S.J.; Paddock, C.D. Rocky Mountain Spotted Fever: A Clinician’s Dilemma. Arch. Intern. Med. 2003, 163, 769. [Google Scholar] [CrossRef]
- André, M.R. Diversity of Anaplasma and Ehrlichia/Neoehrlichia Agents in Terrestrial Wild Carnivores Worldwide: Implications for Human and Domestic Animal Health and Wildlife Conservation. Front. Vet. Sci. 2018, 5, 293. [Google Scholar] [CrossRef]
- Bouza-Mora, L.; Dolz, G.; Solórzano-Morales, A.; Romero-Zuñiga, J.J.; Salazar-Sánchez, L.; Labruna, M.B.; Aguiar, D.M. Novel Genotype of Ehrlichia Canis Detected in Samples of Human Blood Bank Donors in Costa Rica. Ticks Tick-Borne Dis. 2017, 8, 36–40. [Google Scholar] [CrossRef] [PubMed]
- Pritt, B.S.; Sloan, L.M.; Johnson, D.K.H.; Munderloh, U.G.; Paskewitz, S.M.; McElroy, K.M.; McFadden, J.D.; Binnicker, M.J.; Neitzel, D.F.; Liu, G.; et al. Emergence of a New Pathogenic Ehrlichia Species, Wisconsin and Minnesota, 2009. N. Engl. J. Med. 2011, 365, 422–429. [Google Scholar] [CrossRef]
- Skinner, D.; Mitcham, J.R.; Starkey, L.A.; Noden, B.H.; Fairbanks, W.S.; Little, S.E. Prevalence of Babesia spp., Ehrlichia spp., and tick infestations in Oklahoma black bears (Ursus americanus). J. Wildl. Dis. 2017, 53, 781–787. [Google Scholar] [CrossRef]
- Michalski, M.; Rosenfield, C.; Erickson, M.; Selle, R.; Bates, K.; Essar, D.; Massung, R. Anaplasma Phagocytophilum in Central and Western Wisconsin: A Molecular Survey. Parasitol. Res. 2006, 99, 694–699. [Google Scholar] [CrossRef] [PubMed]
- Schultz, S.M.; Nicholson, W.L.; Comer, J.A.; Childs, J.E.; Humphreys, J.G. Serologic evidence of infection with granulocytic ehrlichiae in black bears in Pennsylvania. J. Wildl. Dis. 2002, 38, 47–53. [Google Scholar] [CrossRef]
- Westmoreland, L.S.H.; Stoskopf, M.K.; Maggi, R.G. Prevalence of Anaplasma Phagocytophilum in North Carolina Eastern Black Bears (Ursus americanus). J. Wildl. Dis. 2016, 52, 968–970. [Google Scholar] [CrossRef] [PubMed]
- Stein, E.; Elbadawi, L.I.; Kazmierczak, J.; Davis, J.P. Babesiosis Surveillance—Wisconsin, 2001–2015. MMWR Morb. Mortal. Wkly. Rep. 2017, 66, 687–691. [Google Scholar] [CrossRef]
- Westmoreland, L.S.H.; Stoskopf, M.K.; Sheppard, E.; DePerno, C.S.; Gould, N.P.; Olfenbuttel, C.; Maggi, R.G. Detection and Prevalence of Babesia Spp. in American Black Bears (Ursus Americanus) from Eastern and Western North Carolina, USA. J. Wildl. Dis. 2019, 55, 678. [Google Scholar] [CrossRef] [PubMed]
- Neiland, K.A.; Miller, L.G. Experimental Brucella suis type 4 infections in domestic and wild Alaskan carnivores. J. Wildl. Dis. 1981, 17, 183–189. [Google Scholar] [CrossRef]
- Zarnke, R.L.; Ver Hoef, J.M.; DeLong, R.A. Geographic pattern of serum antibody prevalence for Brucella spp. in caribou, grizzly bears, and wolves from Alaska, 1975–1998. J. Wildl. Dis. 2006, 42, 570–577. [Google Scholar] [CrossRef][Green Version]
- O’Hara, T.M.; Holcomb, D.; Elzer, P.; Estepp, J.; Perry, Q.; Hagius, S.; Kirk, C. Brucella species survey in polar bears (Ursus maritimus) of northern Alaska. J. Wildl. Dis. 2010, 46, 687–694. [Google Scholar] [CrossRef]
- Brower, A.; Okwumabua, O.; Massengill, C.; Muenks, Q.; Vanderloo, P.; Duster, M.; Homb, K.; Kurth, K. Investigation of the Spread of Brucella Canis via the U.S. Interstate Dog Trade. Int. J. Infect. Dis. 2007, 11, 454–458. [Google Scholar] [CrossRef][Green Version]
- Kosoy, M.; Goodrich, I. Comparative Ecology of Bartonella and Brucella Infections in Wild Carnivores. Front. Vet. Sci. 2019, 5, 322. [Google Scholar] [CrossRef] [PubMed]
- Garshelis, D.L.; Noyce, K.V.; Ditmer, M.A.; Coy, P.L.; Tri, A.N.; Laske, T.G.; Iaizzo, P.A. Remarkable Adaptations of the American Black Bear Help Explain Why It Is the Most Common Bear: A Long-Term Study from the Center of Its Range. In Bears of the World; Penteriani, V., Melletti, M., Eds.; Cambridge University Press: Cambridge, UK, 2020; pp. 53–62. ISBN 978-1-108-69257-1. [Google Scholar]
- Iaizzo, P.A.; Laske, T.G.; Harlow, H.J.; McCLAY, C.B.; Garshelis, D.L. Wound Healing during Hibernation by Black Bears (Ursus Americanus) in the Wild: Elicitation of Reduced Scar Formation. Integr. Zool. 2012, 7, 48–60. [Google Scholar] [CrossRef] [PubMed]
- Borka-Vitális, L.; Domokos, C.; Földvári, G.; Majoros, G. Endoparasites of Brown Bears in Eastern Transylvania, Romania. Ursus 2017, 28, 20–30. [Google Scholar] [CrossRef]

| Month | No. of Male Bears | No. of Female Bears | No. of Bears with at Least One D. variabilis Tick Present | No. of Bears with Only One or More R. sanguineus Ticks Present | No. of Bears with at Least One Each of D. variabilis and R. sanguineus Tick Present |
|---|---|---|---|---|---|
| February | 29 | 35 | 0 | 0 | 0 |
| March | 7 | 11 | 0 | 0 | 0 |
| May | 6 | 3 | 9 | 0 | 0 |
| June | 44 | 31 | 73 | 0 | 2 |
| October | 6 | 4 | 0 | 0 | 0 |
| November | 1 | 2 | 0 | 0 | 0 |
| Year | |||||
| 2003 | 19 | 12 | 25 | 0 | 0 |
| 2004 | 27 | 27 | 24 | 0 | 0 |
| 2005 | 37 | 36 | 33 | 0 | 2 |
| 2006 | 10 | 11 | 0 | 0 | 0 |
| Total | 93 | 86 | 82 | 0 | 2 |
| B. burgdorferi | Ehrlichia spp. | A. phagocytophilum | E. canis | B. canis | R. rickettsii | Babesia spp. | ||||||||
|---|---|---|---|---|---|---|---|---|---|---|---|---|---|---|
| Month | Total No. of Bears Tested | No. of Bears Testing Positive | Total No. of Bears Tested | No. of Bears Testing Positive | Total No. of Bears Tested | No. of Bears Testing Positive | Total No. of Bears Tested | No. of Bears Testing Positive | Total No. of Bears Tested | No. of Bears Testing Positive | Total No. of Bears Tested | No. of Bears Testing Positive | Total No. of Bears Tested | No. of Bears Testing Positive |
| Feb. | 21 | 0 | 21 | 0 | NT | NT | NT | NT | NT | NT | 21 | 0 | 21 | 0 |
| March | 4 | 0 | 4 | 0 | NT | NT | NT | NT | NT | NT | 4 | 0 | 4 | 0 |
| May | 8 | 0 | 8 | 0 | NT | NT | NT | NT | NT | NT | 8 | 0 | 8 | 0 |
| June | 74 | 6 | 40 | 0 | 34 | 1 | 34 | 1 | 34 | 0 | 74 | 3 | 40 | 0 |
| Oct. | 5 | 4 | NT | NT | 5 | 0 | 5 | 3 | 5 | 0 | 5 | 0 | NT | NT |
| Year | ||||||||||||||
| 2003 | 24 | 0 | 24 | 0 | NT | NT | NT | NT | NT | NT | 24 | 0 | 24 | 0 |
| 2004 | 34 | 0 | 34 | 0 | NT | NT | NT | NT | NT | NT | 34 | 0 | 34 | 0 |
| 2005 | 54 | 10 | 15 | 0 | 39 | 1 | 39 | 4 | 39 | 0 | 54 | 3 | 15 | 0 |
| Total | 112 | 10 | 73 | 0 | 39 | 1 | 39 | 4 | 39 | 0 | 112 | 3 | 73 | 0 |
| Month | Total Number of Bears Tested | No. of Bears with B. transfuga Present |
|---|---|---|
| February | 45 | 8 |
| March | 10 | 2 |
| May | 9 | 0 |
| June | 75 | 7 |
| October | 5 | 0 |
| November | 2 | 0 |
| Year | ||
| 2003 | 31 | 3 |
| 2004 | 48 | 5 |
| 2005 | 48 | 3 |
| 2006 | 19 | 6 |
| Total | 146 | 17 |
Disclaimer/Publisher’s Note: The statements, opinions and data contained in all publications are solely those of the individual author(s) and contributor(s) and not of MDPI and/or the editor(s). MDPI and/or the editor(s) disclaim responsibility for any injury to people or property resulting from any ideas, methods, instructions or products referred to in the content. |
© 2024 by the authors. Licensee MDPI, Basel, Switzerland. This article is an open access article distributed under the terms and conditions of the Creative Commons Attribution (CC BY) license (https://creativecommons.org/licenses/by/4.0/).
Share and Cite
Reichert, N.S.; Mathieu, D.; Katz, C.J.; Hatch, K.A. Exposure of American Black Bears (Ursus americanus) to Ticks, Tick-Borne Diseases, and Intestinal Parasites in Wisconsin. Diversity 2024, 16, 537. https://doi.org/10.3390/d16090537
Reichert NS, Mathieu D, Katz CJ, Hatch KA. Exposure of American Black Bears (Ursus americanus) to Ticks, Tick-Borne Diseases, and Intestinal Parasites in Wisconsin. Diversity. 2024; 16(9):537. https://doi.org/10.3390/d16090537
Chicago/Turabian StyleReichert, Nika S., Daniela Mathieu, Christopher J. Katz, and Kent A. Hatch. 2024. "Exposure of American Black Bears (Ursus americanus) to Ticks, Tick-Borne Diseases, and Intestinal Parasites in Wisconsin" Diversity 16, no. 9: 537. https://doi.org/10.3390/d16090537
APA StyleReichert, N. S., Mathieu, D., Katz, C. J., & Hatch, K. A. (2024). Exposure of American Black Bears (Ursus americanus) to Ticks, Tick-Borne Diseases, and Intestinal Parasites in Wisconsin. Diversity, 16(9), 537. https://doi.org/10.3390/d16090537

