Alert and Flight Initiation Distances of the Coot in Response to Drones
Abstract
1. Introduction
2. Methods
2.1. Study Area
2.2. Drone
2.3. Measurement of Response
2.4. Classification of Factors Influencing Tolerance Distance
2.5. Analysis
3. Results
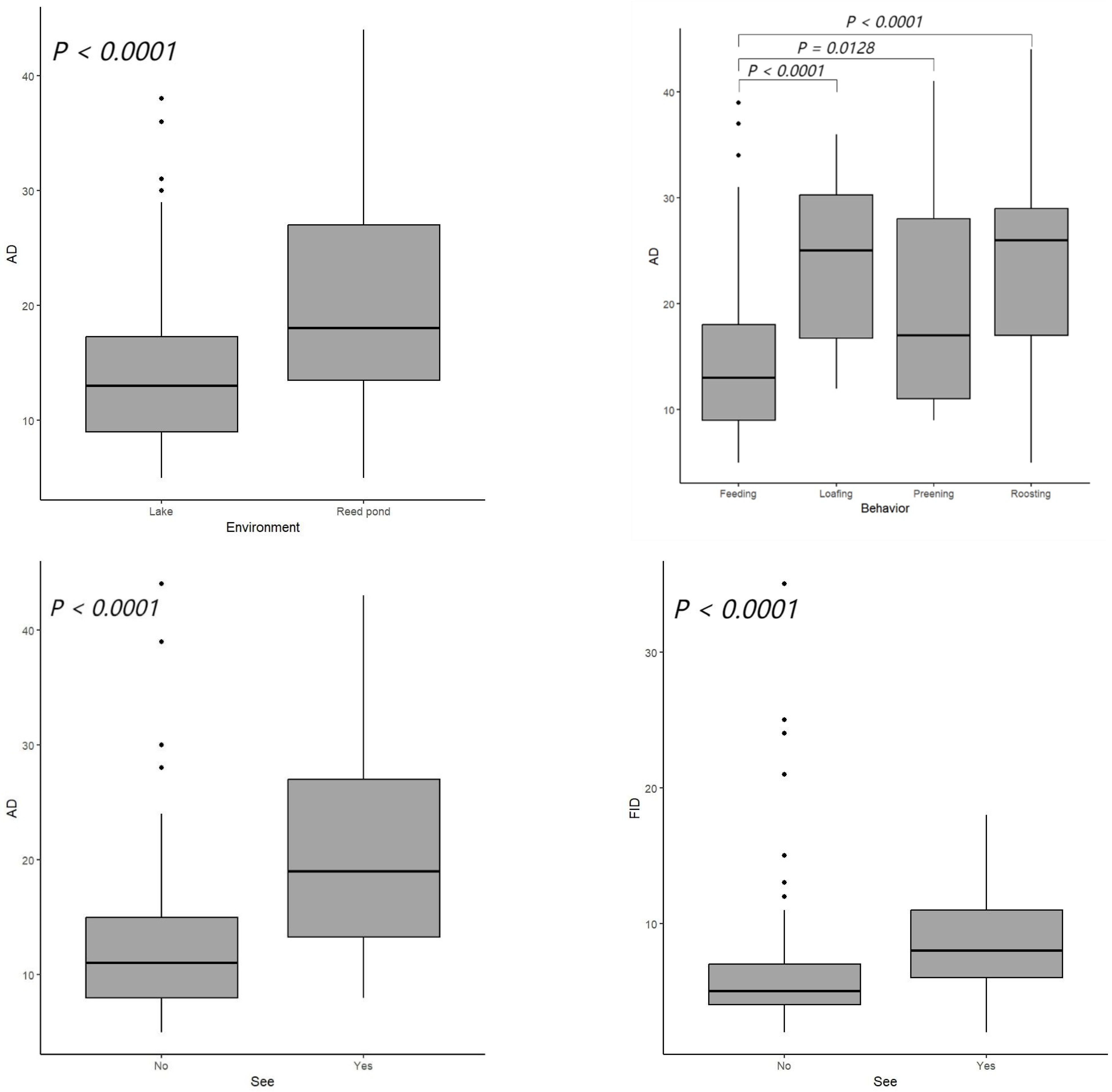
3.1. Influences of Different Factors on Tolerance Distance
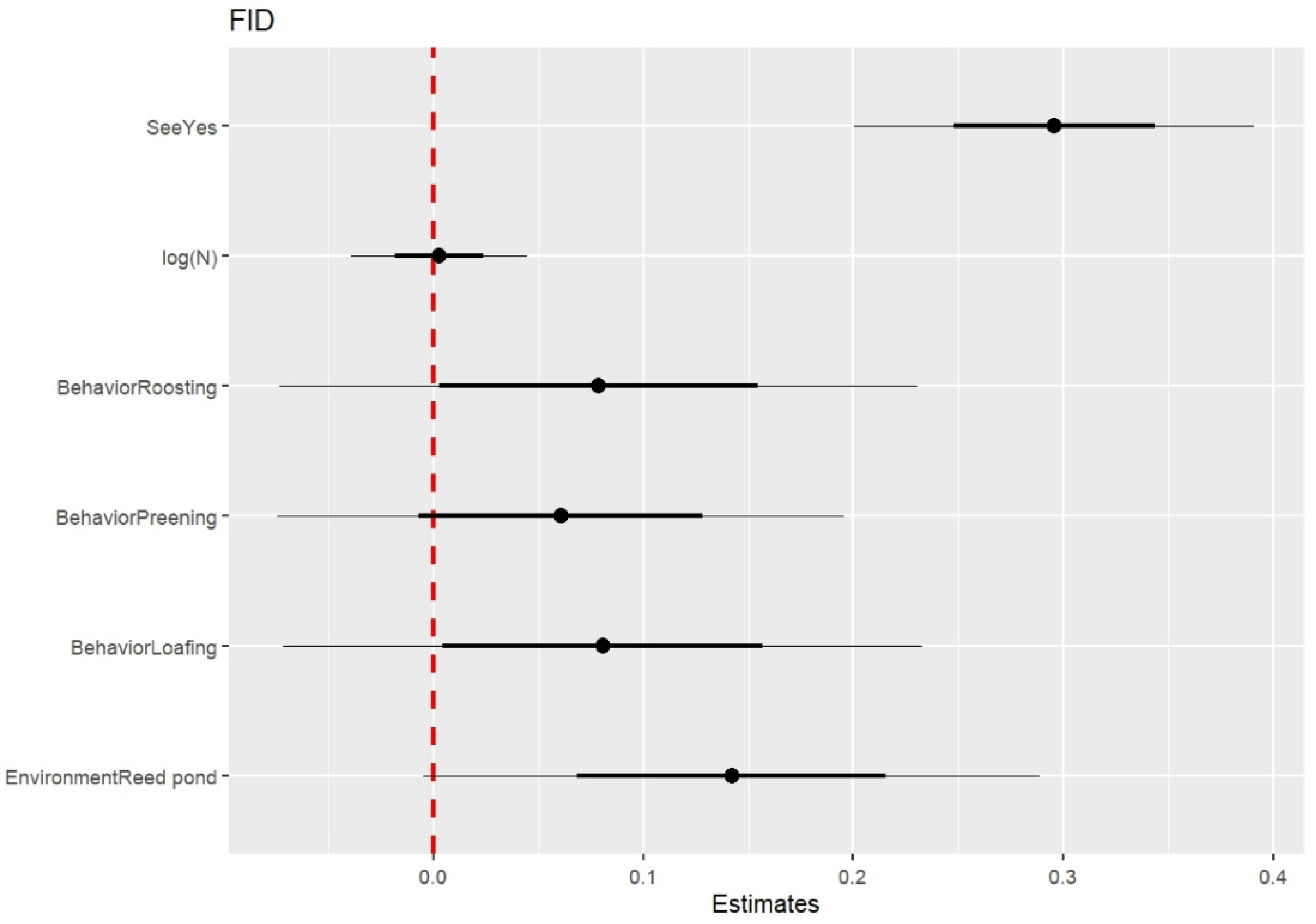
3.1.1. Influence of Related Factors on Alert Distance (AD)
3.1.2. Influence of Related Factors on Flight Initiation Distance (FID)
4. Discussion
Author Contributions
Funding
Institutional Review Board Statement
Data Availability Statement
Acknowledgments
Conflicts of Interest
Appendix A

| Site | N | Mean (m) | SD (m) | Median (m) | |
|---|---|---|---|---|---|
| AD | 1 | 12 | 17.92 | 9.67 | 15.5 | 
| 2 | 13 | 16.31 | 7.74 | 14.0 | |
| 3 | 18 | 20.50 | 7.14 | 22.0 | |
| 4 | 21 | 18.81 | 9.20 | 17.0 | |
| 5 | 22 | 22.77 | 11.75 | 24.5 | |
| 6 | 20 | 23.20 | 7.29 | 24.5 | |
| 7 | 43 | 11.33 | 5.18 | 10.0 | |
| 8 | 10 | 17.60 | 6.11 | 16.5 | |
| FID | 1 | 29 | 7.83 | 3.90 | 6.0 | 
| 2 | 26 | 8.69 | 6.73 | 6.5 | |
| 3 | 25 | 7.16 | 2.87 | 7.0 | |
| 4 | 28 | 8.96 | 4.88 | 7.0 | |
| 5 | 33 | 7.88 | 3.50 | 7.0 | |
| 6 | 29 | 7.66 | 2.51 | 8 | |
| 7 | 86 | 5.77 | 3.44 | 5 | |
| 8 | 18 | 9.44 | 3.93 | 9.5 | 
| Estimate | Std. Error | z-Value | p | ||
|---|---|---|---|---|---|
| AD | (Intercept) | 2.479 | 0.112 | 22.044 | <0.001 | 
| Environment Reed pond | 0.212 | 0.052 | 4.064 | <0.001 | |
| Behavior Preening | 0.171 | 0.056 | 3.036 | 0.002 | |
| Behavior Roosting | 0.291 | 0.059 | 4.922 | <0.001 | |
| Behavior Loafing | 0.290 | 0.060 | 4.835 | <0.001 | |
| Log (N) | −0.020 | 0.018 | −1.089 | 0.276 | |
| See (Yes) | 0.355 | 0.047 | 7.487 | <0.001 | |
| Site | −0.007 | 0.018 | −0.375 | 0.708 | 
| Estimate | Std. Error | z-Value | p | ||
|---|---|---|---|---|---|
| FID | (Intercept) | 1.836 | 0.103 | 17.851 | <0.001 | 
| Environment Reed pond | 0.122 | 0.075 | 1.629 | 0.103 | |
| Behavior Preening | 0.052 | 0.068 | 0.761 | 0.447 | |
| Behavior Roosting | 0.073 | 0.076 | 0.957 | 0.339 | |
| Behavior Loafing | 0.052 | 0.077 | 0.672 | 0.501 | |
| Log (N) | 0.0004 | 0.021 | 0.018 | 0.985 | |
| See (Yes) | 0.293 | 0.048 | 6.102 | <0.001 | |
| Site | −0.009 | 0.016 | −0.562 | 0.574 | 
References
- Linchant, J.; Lisein, J.; Semeki, J.; Lejeune, P.; Vermeulen, C. Are unmanned aircraft systems (UASs) the future of wildlife monitoring? A review of accomplishments and challenges. Mammal Rev. 2015, 45, 239–252. [Google Scholar] [CrossRef]
 - Pagano, A.M.; Amundson, C.L.; Pieron, M.R.; Arnold, T.W.; Kimmel, T.C. Using sightability-adjusted brood-pair ratios to estimate waterfowl productivity. Wildl. Soc. Bull. 2014, 28, 566–573. [Google Scholar] [CrossRef]
 - Christie, K.S.; Gilbert, S.L.; Brown, C.L.; Hatfield, M.; Hanson, L. Unmanned aircraft systems in wildlife research: Current and future applications of a transformative technology. Front. Ecol. Environ. 2016, 14, 241–251. [Google Scholar] [CrossRef]
 - Valle, R.G.; Scarton, F. Drones Improve Effectiveness and Reduce Disturbance of Censusing Common Redshanks Tringa totanus Breeding on Salt Marshes. Ardea 2020, 107, 275–282. [Google Scholar] [CrossRef]
 - Valle, R.G.; Scarton, F. Monitoring the Hatching Success of Gulls Laridae and Terns Sternidae: A Comparison of Ground and Drone Methods. Acta Ornithol. 2021, 56, 241–254. [Google Scholar] [CrossRef]
 - Scarton, F.; Valle, R.G. Comparison of drone vs. ground survey monitoring of hatching success in the black-headed gull (Chroicocephalus ridibundus). Ornithol. Res. 2022, 30, 271–280. [Google Scholar] [CrossRef]
 - Sikora, A.; Marchowski, D. The use of drones to study the breeding productivity of Whooper Swan Cygnus cygnus. Eur. Zool. J. 2023, 90, 193–200. [Google Scholar] [CrossRef]
 - Valle, R.G.; Scarton, F. Rapid Assessment of Productivity of Purple Herons Ardea purpurea by Drone Conducted Monitoring. Ardeola-Int. J. Ornithol. 2022, 69, 231–248. [Google Scholar] [CrossRef]
 - Mulero-Pázmány, M.; Jenni-Eiermann, S.; Strebel, N.; Sattler, T.; Negro, J.J.; Tablado, Z. Unmanned aircraft systems as a new source of disturbance for wildlife: A systematic review. PLoS ONE 2017, 12, e0178448. [Google Scholar] [CrossRef]
 - Weston, M.A.; O’Brien, C.; Kostoglou, K.N.; Symonds, M.R.E.; McKenzie, A. Escape responses of terrestrial and aquatic birds to drones: Towards a code of practice to minimize disturbance. J. Appl. Ecol. 2020, 57, 777–785. [Google Scholar] [CrossRef]
 - Jarrett, D.; Calladine, J.; Cotton, A.; Wilson, M.W.; Humphreys, E. Behavioural responses of non-breeding waterbirds to drone approach are associated with flock size and habitat. Bird Study 2020, 67, 190–196. [Google Scholar] [CrossRef]
 - Burton, N.H.K.; Rehfisch, M.M.; Clark, N.A. Impacts of Disturbance from Construction Work on the Densities and Feeding Behavior of Waterbirds Using the Intertidal Mudflats of Cardiff Bay, UK. Environ. Manag. 2002, 30, 865–871. [Google Scholar] [CrossRef]
 - Burton, N.H.; Rehfisch, M.M.; Clark, N.A.; Dodd, S.G. Impacts of sudden winter habitat loss on the body condition and survival of redshank Tringa tetanus. J. Appl. Ecol. 2006, 43, 464–473. [Google Scholar] [CrossRef]
 - Wilson, J.P.; Amano, T.; Fuller, R.A. Drone-induced flight initiation distances for shorebirds in mixed-species flocks. J. Appl. Ecol. 2023, 60, 1816–1827. [Google Scholar] [CrossRef]
 - Livezey, K.B.; Fernández-Juricic, E.; Blumstein, D.T. Database of bird flight initiation distances to assist in estimating effects from human disturbance and delineating buffer areas. J. Fish Wildl. Manag. 2016, 7, 181–191. [Google Scholar] [CrossRef]
 - Weston, M.; Mcleod, E.M.; Blumstein, D.; Guay, P.J. A review of flight-initiation distances and their application to managing disturbance to Australian birds. Emu-Austral Ornithol. 2012, 112, 269–286. [Google Scholar] [CrossRef]
 - De Villiers, M.S.; Cooper, J.; Ryan, P.J. Individual variability of behavioural responses by Wandering Albatrosses (Diomedea exulans) to human disturbance. Polar Biol. 2004, 28, 255–260. [Google Scholar] [CrossRef]
 - Wheeler, M.; de Villiers, M.S.; Majiedt, P.A. The effect of frequency and nature of pedestrian approaches on the behaviour of wandering albatrosses at sub-Antarctic Marion Island. Polar Biol. 2008, 32, 197–205. [Google Scholar] [CrossRef]
 - Bellefleur, D.; Lee, P.; Ronconi, R.A. The impact of recreational boat traffic on Marbled Murrelets (Brachyramphus marmoratus). J. Environ. Manag. 2009, 90, 531–538. [Google Scholar] [CrossRef]
 - Sueur, C.; McLeod, E.M.; Guay, P.J.; Taysom, A.J.; Robinson, R.W.; Weston, M.A. Buses, Cars, Bicycles and Walkers: The Influence of the Type of Human Transport on the Flight Responses of Waterbirds. PLoS ONE 2013, 8, e82008. [Google Scholar] [CrossRef]
 - Vas, E.; Lescroël, A.; Duriez, O.; Boguszewski, G.; Grémillet, D. Approaching birds with drones: First experiments and ethical guidelines. Biol. Lett. 2015, 11, 20140754. [Google Scholar] [CrossRef]
 - Irigoin-Lovera, C.; Luna, D.M.; Acosta, D.A.; Zavalaga, C.B. Response of colonial Peruvian guano birds to flying UAVs: Effects and feasibility for implementing new population monitoring methods. PeerJ 2019, 7, e8129. [Google Scholar] [CrossRef] [PubMed]
 - Tätte, K.; Møller, A.P.; Mänd, R. Towards an integrated view of escape decisions in birds: Relation between flight initiation distance and distance fled. Anim. Behav. 2018, 136, 75–86. [Google Scholar] [CrossRef]
 - Blumstein, D.T. Flush early and avoid the rush: A general rule of antipredator behavior? Behav. Ecol. 2010, 21, 440–442. [Google Scholar] [CrossRef]
 - Samia, D.S.M.; Nomura, F.; Blumstein, D.T. Do animals generally flush early and avoid the rush? A meta-analysis. Biol. Lett. 2013, 9, 20130016. [Google Scholar] [CrossRef] [PubMed]
 - Russo, D.; Samia, D.S.M.; Blumstein, D.T. Phi Index: A New Metric to Test the Flush Early and Avoid the Rush Hypothesis. PLoS ONE 2014, 9, e113134. [Google Scholar] [CrossRef][Green Version]
 - Hemmi, J.M.; Samia, D.S.M.; Blumstein, D.T. Birds Flush Early and Avoid the Rush: An Interspecific Study. PLoS ONE 2015, 10, e0119906. [Google Scholar] [CrossRef]
 - Yan, S.; Wang, X.; Zhang, Y.; Liu, D.; Yi, Y.; Li, C.; Liu, Q.; Yang, Z. A hybrid PCA-GAM model for investigating the spatiotemporal impacts of water level fluctuations on the diversity of benthic macroinvertebrates in Baiyangdian Lake, North China. Ecol. Indic. 2020, 116, 106459. [Google Scholar] [CrossRef]
 - Barr, J.R.; Green, M.C.; DeMaso, S.J.; Hardy, T.B. Drone Surveys Do Not Increase Colony-wide Flight Behaviour at Waterbird Nesting Sites, But Sensitivity Varies Among Species. Sci. Rep. 2020, 10, 3781. [Google Scholar] [CrossRef]
 - R Core Team. R: A Language and Environment for Statistical Computing; R Foundation for Statistical Computing: Vienna, Austria, 2023. [Google Scholar]
 - Bevan, E.; Whiting, S.; Tucker, T.; Guinea, M.; Raith, A.; Douglas, R. Measuring behavioral responses of sea turtles, saltwater crocodiles, and crested terns to drone disturbance to define ethical operating thresholds. PLoS ONE 2018, 13, e0194460. [Google Scholar] [CrossRef]
 - Morelli, F.; Mikula, P.; Benedetti, Y.; Bussiere, R.; Jerzak, L.; Tryjanowski, P. Escape behaviour of birds in urban parks and cemeteries across Europe: Evidence of behavioural adaptation to human activity. Sci. Total Environ. 2018, 631, 803–810. [Google Scholar] [CrossRef]
 - Lethlean, H.; van Dongen, W.F.D.; Kostoglou, K.; Guay, P.J.; Weston, M.A. Joggers cause greater avian disturbance than walkers. Landsc. Urban Plan. 2017, 159, 42–47. [Google Scholar] [CrossRef]
 - Jiang, Y.; Møller, A.P. Escape from predators and genetic variance in birds. J. Evol. Biol. 2017, 30, 2059–2067. [Google Scholar] [CrossRef]
 - Lima, S.L.; Dill, L.M. Behavioral decisions made under the risk of predation: A review and prospectus. Can. J. Zool. 1990, 68, 619–640. [Google Scholar] [CrossRef]
 - Collins, S.A.; Giffin, G.J.; Strong, W.T. Using flight initiation distance to evaluate responses of colonial-nesting Great Egrets to the approach of an unmanned aerial vehicle. J. Field Ornithol. 2019, 90, 382–390. [Google Scholar] [CrossRef]
 





| H (m) | 5 | 10 | 15 | 20 | 25 | 30 | 35 | 40 | 45 | 50 | 
|---|---|---|---|---|---|---|---|---|---|---|
| dB | 64.5 | 57.4 | 54.6 | 53.2 | 51.3 | 48.5 | 47.8 | 46.1 | 45.0 | 44.2 | 
| AD (N = 159) | FID (N = 274) | ||
|---|---|---|---|
| Factor | Type | Sample Size | Sample Size | 
| Environment | Lake | 80 | 153 | 
| Reed pond | 79 | 121 | |
| Behavior | Feeding | 101 | 185 | 
| Preening | 25 | 37 | |
| Roosting | 17 | 25 | |
| Loafing | 16 | 27 | |
| See | Yes | 98 | 127 | 
| No | 61 | 147 | 
Disclaimer/Publisher’s Note: The statements, opinions and data contained in all publications are solely those of the individual author(s) and contributor(s) and not of MDPI and/or the editor(s). MDPI and/or the editor(s) disclaim responsibility for any injury to people or property resulting from any ideas, methods, instructions or products referred to in the content.  | 
© 2024 by the authors. Licensee MDPI, Basel, Switzerland. This article is an open access article distributed under the terms and conditions of the Creative Commons Attribution (CC BY) license (https://creativecommons.org/licenses/by/4.0/).
Share and Cite
Lu, Z.; Li, J.; Tian, Z.; Wang, J.; Hou, J. Alert and Flight Initiation Distances of the Coot in Response to Drones. Diversity 2024, 16, 518. https://doi.org/10.3390/d16090518
Lu Z, Li J, Tian Z, Wang J, Hou J. Alert and Flight Initiation Distances of the Coot in Response to Drones. Diversity. 2024; 16(9):518. https://doi.org/10.3390/d16090518
Chicago/Turabian StyleLu, Zhenguang, Jiarong Li, Zengrui Tian, Jiaojiao Wang, and Jianhua Hou. 2024. "Alert and Flight Initiation Distances of the Coot in Response to Drones" Diversity 16, no. 9: 518. https://doi.org/10.3390/d16090518
APA StyleLu, Z., Li, J., Tian, Z., Wang, J., & Hou, J. (2024). Alert and Flight Initiation Distances of the Coot in Response to Drones. Diversity, 16(9), 518. https://doi.org/10.3390/d16090518
        
