Syringophilid Quill Mites Obey Harrison’s Rule
Abstract
1. Introduction
“…in general, when a genus is well distributed over a considerable number of nearly related hosts, the size of the parasite is roughly proportional to the size of the host…”
2. Materials and Methods
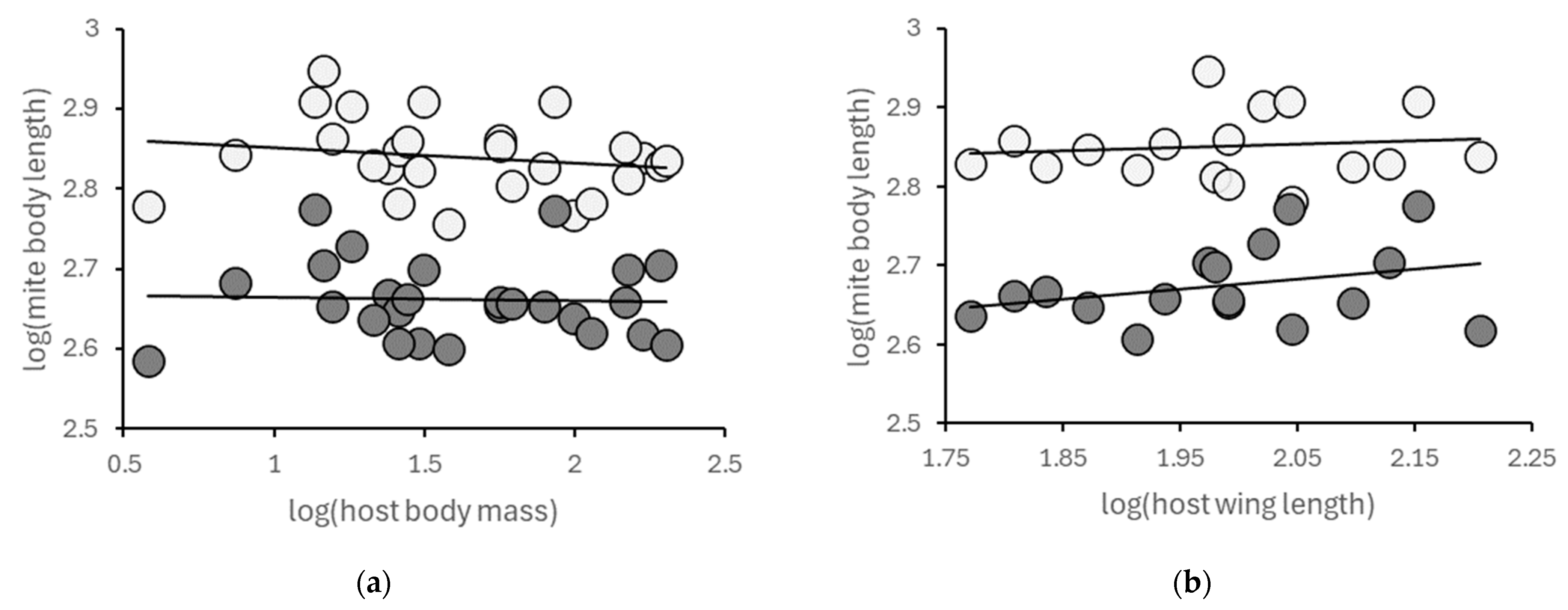
3. Results
4. Discussion
5. Conclusions
Author Contributions
Funding
Institutional Review Board Statement
Data Availability Statement
Acknowledgments
Conflicts of Interest
References
- Fenchel, T. Intrinsic rate of natural increase: The relationship with body size. Oecologia 1974, 14, 317–326. [Google Scholar] [CrossRef] [PubMed]
- Hennemann, W.W. Relationship among body mass, metabolic rate and the intrinsic rate of natural increase in mammals. Oecologia 1983, 56, 104–108. [Google Scholar] [CrossRef] [PubMed]
- Honěk, A. Intraspecific variation in body size and fecundity in insects: A general relationship. Oikos 1993, 66, 483–492. [Google Scholar] [CrossRef]
- Villa, S.M.; Evans, M.D.; Subhani, Y.K.; Altuna, J.C.; Bush, S.E.; Clayton, D.H. Body size and fecundity are correlated in feather lice (Phthiraptera: Ischnocera): Implications for Harrison’s rule. Ecol. Entomol. 2018, 43, 394–396. [Google Scholar] [CrossRef]
- Poulin, R. Evolutionary Ecology of Parasites; Princeton University Press: Princeton, NJ, USA, 2007. [Google Scholar]
- Harrison, L. Mallophaga from Apteryx, and their significance; with a note on the genus Rallicola. Parasitology 1915, 8, 88–100. [Google Scholar] [CrossRef]
- Morand, S.; Legendre, P.; Gardner, S.L.; Hugot, J.P. Body size evolution of oxyurid (Nematoda) parasites: The role of hosts. Oecologia 1996, 107, 274–282. [Google Scholar] [CrossRef]
- Poulin, R.; Hamilton, W.J. Ecological correlates of body size and egg size in parasitic Ascothoracida and Rhizocephala (Crustacea). Acta Oecol. 1997, 18, 621–635. [Google Scholar] [CrossRef]
- Johnson, K.P.; Bush, S.E.; Clayton, D.H. Correlated evolution of host and parasite body size: Tests of Harrison’s rule using birds and lice. Evolution 2005, 59, 1744–1753. [Google Scholar] [CrossRef]
- Harnos, A.; Lang, Z.; Petras, D.; Bush, S.E.; Szabo, K.; Rózsa, L. Size matters for lice on birds: Coevolutionary allometry of host and parasite body size. Evolution 2017, 71, 421–431. [Google Scholar] [CrossRef]
- Maestri, R.; Fiedler, M.S.; Shenbrot, G.I.; Surkova, E.N.; Medvedev, S.G.; Khokhlova, I.S.; Krasnov, B.R. Harrison’s rule scales up to entire parasite assemblages but is determined by environmental factors. J. Anim. Ecol. 2020, 89, 2888–2895. [Google Scholar] [CrossRef]
- Ni, S.; de Angeli Dutra, D. Functional and sex-specific dynamics of ectoparasite size evolution in marine isopod–fish interactions: Harrison’s rule and increasing variance. Oecologia 2023, 201, 213–225. [Google Scholar] [CrossRef] [PubMed]
- Ren, M.; Gustafsson, D.R.; Tian, C.; Grossi, A.A.; Liu, Z.; Zou, F. Coevolutionary analysis of the Philopteroides Mey, 2004 (Phthiraptera: Ischnocera) parasitizing bulbuls (Passeriformes: Pycnonotidae). Front. Ecol. Evol. 2023, 11, 1053820. [Google Scholar] [CrossRef]
- Dabert, M.; Witalinski, W.; Kazmierski, A.; Olszanowski, Z.; Dabert, J. Molecular phylogeny of acariform mites (Acari, Arachnida): Strong conflict between phylogenetic signal and longbranch attraction artifacts. Mol. Phylogenet. Evol. 2010, 56, 222–241. [Google Scholar] [CrossRef] [PubMed]
- Skoracki, M.; Fajfer, M.; Hromada, M.; Hušek, J.; Sikora, B. Tinamiphilopsis temmincki sp. n., a new Quill Mite species from Tataupa Tinamou, and the early history of Syringophilid mites. Animals 2022, 13, 2728. [Google Scholar] [CrossRef]
- Kethley, J.B. Population regulation in quill mites (Acarina: Syringophilidae). Ecology 1971, 52, 1113–1118. [Google Scholar] [CrossRef]
- Skoracki, M.; Bochkov, A.V.; Wauthy, G. Revision of the quill mites of the genus Picobia Haller, 1878 (Acari: Syringophilidae) with notes on their host-parasites relationships. Insect Syst. Evol. 2004, 35, 155–176. [Google Scholar] [CrossRef]
- Skoracki, M. Quill mites (Acari: Syringophilidae) of the Palaearctic region. Zootaxa 2011, 2840, 1–414. [Google Scholar] [CrossRef]
- Skoracki, M.; Sikora, B.; Jerzak, L.; Hromada, M. Tanopicobia gen. nov., a new genus of quill mites, its phylogenetic placement in the subfamily Picobiinae (Acariformes: Syringophilidae) and picobiine relationships with avian hosts. PLoS ONE 2020, 15, e0225982. [Google Scholar] [CrossRef]
- Casto, S.D. Entry and exit of syringophilid mites (Acarina: Syringophilidae) from the lumen of the quill. Wilson Bull. 1974, 86, 272–278. [Google Scholar]
- Skoracki, M.; Bochkov, A.V.; Zabludovskaya, S.A. A review of Prostigmata (Acariformes: Trombidiformes) permanently associated with birds. Acarina 2012, 20, 67–107. [Google Scholar]
- Glowska, E.; Dragun-Damian, A.; Dabert, M.; Gerth, M. New Wolbachia supergroups detected in quill mites (Acari: Syringophilidae). Infect. Genet. Evol. 2015, 30, 140–146. [Google Scholar] [CrossRef]
- Rózsa, L.; Moldovan, E. Relationship between body size and sexual size dimorphism in Syringophilid Quill Mites. Parasit. Res. 2022, 121, 891–898. [Google Scholar] [CrossRef]
- Bochkov, A.V. On the taxonomy of mites of the genus Syringophiloidus Kethley, 1970 (Acari: Syringophilidae) of European part of the Russia. Parasitologya 2001, 35, 149–153. [Google Scholar]
- Bochkov, A.V.; Apanaskevich, D. Two new species of the family Syringophilidae (Acari: Cheyletoidea) from passeriform birds collected in the Altai. Folia Parasit. 2001, 48, 321–325. [Google Scholar] [CrossRef] [PubMed]
- Bochkov, A.V.; Galloway, T.D. Parasitic cheyletoid mites (Acari: Cheyletoidea) associated with passeriform birds (Aves: Passeriformes) in Canada. Can. J. Zool. 2001, 79, 2014–2028. [Google Scholar] [CrossRef]
- Bochkov, A.V.; Galloway, T.D. New species and records of cheyletoid mites (Acari: Cheyletoidea) from birds in Canada. J. Kansas Entomol. Soc. 2004, 77, 26–44. [Google Scholar] [CrossRef]
- Bochkov, A.V.; Mironov, S.V. Quill mites of the family Syringophilidae Lavoipierre, 1953 (Acariformes: Prostigmata) parasitic on birds (Aves) of the fauna of the former USSR. Acarina 1998, 6, 3–16. [Google Scholar]
- Bochkov, A.V.; Mironov, S.V. New quill mite species of the family Syringophilidae (Acari: Cheyletoidea) from the European part of Russia. Acarina 1999, 7, 35–45. [Google Scholar]
- Bochkov, A.V.; Fain, A.; Skoracki, M. New quill mites of the family Syringophilidae (Acari: Cheyletoidea). Syst. Parasitol. 2004, 57, 135–150. [Google Scholar] [CrossRef]
- Bochkov, A.V.; Flannery, M.E.; Spicer, G.S. Mites of the genus Torotrogla (Prostigmata: Syringophilidae) from North American passerines. J. Med. Entomol. 2009, 46, 183–197. [Google Scholar] [CrossRef]
- Bochkov, A.V.; Mironov, S.V.; Kravtsova, T. Two new Syringophilid mites from the Greenfinch Carduelis chloris (Passeriformes: Fringillidae) from Kirghizia (Acari: Syringophilidae). Genus 2000, 11, 351–358. [Google Scholar]
- Bochkov, A.V.; Mironov, S.V.; Skoracki, M. Four new Quill Mite species of the genus Syringophilopsis Kethley, 1970 (Acariformes: Prostigmata). Acarina 2001, 9, 233–239. [Google Scholar]
- Chirov, P.A.; Kravtsova, N.T. A new genus and new species of mites of the family Syringophilidae. Parazitologiya 1995, 29, 370–379. [Google Scholar]
- Fain, A.; Bochkov, A.V.; Mironov, S.V. New genera and species of quill mites of the family Syringophilidae (Acari: Prostigmata). Bull. Inst. Sci. Nat. Belg. Entomol. 2000, 70, 33–70. [Google Scholar]
- Glowska, E. New quill mites (Cheyletoidea: Syringophilidae) parasitizing tyrannid birds (Passeriformes: Tyrannidae) in Peru. Zootaxa 2014, 3814, 139–145. [Google Scholar] [CrossRef] [PubMed]
- Glowska, E.; Skoracki, M. New species of quill mites (Acari, Cheyletoidea, Syringophilidae) and the first record of male for the genus Stibarokris. Zootaxa 2011, 2817, 63–68. [Google Scholar] [CrossRef]
- Glowska, E.; Laniecka, I.; Milensky, C.M. Two new picobiin mite species (Acari: Cheyletoidea: Syringophilidae) parasitizing passerine birds in Guyana. Acta Parasitol. 2015, 60, 488–493. [Google Scholar] [CrossRef] [PubMed]
- Glowska, E.; Romanowska, K.; Schmidt, B.K.; Dabert, M. Combined description (morphology with DNA barcodedata) of a new quill mite Torotrogla paenae n. sp. (Acariformes: Syringophilidae) parasitising the Kalahari scrub-robin Cercotrichas paena (Smith) (Passeriformes: Muscicapidae) in Namibia. Syst. Parasitol. 2018, 95, 863–869. [Google Scholar] [CrossRef]
- Kethley, J.B. A revision of the family Syringophilidae (Prostigmata: Acarina). Contrib. Am. Entomol. Inst. 1970, 5, 1–76. [Google Scholar]
- Klimovičová, M.; Skoracki, M.; Njoroge, P.; Hromada, M. Two new species of the family Syringophilidae (Prostigmata: Syringophilidae) parasitising bushshrikes (Passeriformes: Malaconotidae). J. Parasitol. 2016, 102, 187–192. [Google Scholar] [CrossRef]
- Nattress, B.; Skoracki, M. Quill mites of the family Syringophilidae Lavoipierre, 1953 (Acari: Cheyletoidea) parasitic on birds in England. Genus 2000, 18, 139–145. [Google Scholar]
- Sikora, B.; Fajfer, M.; Skoracki, M. Quill mites (Acari: Syringophilidae) from mimid birds (Aves: Mimidae). Zootaxa 2011, 3027, 29–38. [Google Scholar] [CrossRef]
- Sikora, B.; Kaszewska, K.; Skoracki, M. Two new quill mites of the family Syringophilidae (Acari: Prostigmata) parasitising the tapaculos (Passeriformes: Rhinocriptidae) in South America. Zootaxa 2014, 3895, 419–426. [Google Scholar] [CrossRef]
- Sikora, B.; Unsöld, M.; Skoracki, M. Aulonastus paridus spec. nov.—A parasite of two bird species of the genus Melaniparus in Kenya and Tanzania. Spixiana 2016, 39, 149–152. [Google Scholar]
- Sikora, B.; Mahamoud-Issa, M.; Unsoeld, M.; Hromada, M.; Skoracki, M. Species composition of parasitic mites of the subfamily Picobiinae (Acariformes: Syringophilidae) associated with African Barbets (Piciformes: Lybiidae). Animals 2023, 13, 2007. [Google Scholar] [CrossRef]
- Sikora, B.; Unsoeld, M.; Melzer, R.R.; Friedrich, S.; Skoracki, M. First records of Picobiine mites associated with Birds-of-Paradise: Can interspecific sexual behaviour of hosts play a role in the distribution of Quill Mite parasites? Animals 2023, 13, 1509. [Google Scholar] [CrossRef]
- Skoracki, M.; Sikora, B.; Marciniak, N.; Zmudzinski, M. Syringophiloidus bucerotidus sp. nov. (Acari: Syringophilidae), a new quill mite species parasitizing hornbills (Aves: Bucerotidae) in the Sub-Saharan Africa. Int. J. Acarol. 2017, 43, 39–43. [Google Scholar] [CrossRef]
- Skoracki, M. New genus and species of Syringophilidae from Eurasian reed-warbler, Acrocephalus scirpaceus (Sylviidae: Passeriformes) (Acari: Prostigmata). Genus 1999, 10, 155–162. [Google Scholar]
- Skoracki, M. Three new species of quill mites of the genus Aulonastus Kethley, 1970 (Acari, Prostigmata, Syringophilidae) from passerine birds. Acta Parasitol. 2002, 47, 300–305. [Google Scholar]
- Skoracki, M. Three new species of the ectoparasitic mites of the genus Syringophiloidus Kethley, 1970 (Acari: Syringophilidae) from passeriform birds from Slovakia. Folia Parasit. 2002, 49, 305–313. [Google Scholar] [CrossRef]
- Skoracki, M. A review of quill mites of the genus Syringophiloidus Kethley, 1970 parasitizing quills of passeriform birds, with descriptions of four new species (Acari: Prostigmata: Syringophilidae). Genus 2004, 15, 281–300. [Google Scholar]
- Skoracki, M. Quill mites (Acariformes: Syringophilidae) associated with birds of Mexico. Zootaxa 2017, 4282, 179–191. [Google Scholar] [CrossRef]
- Skoracki, M.; Bochkov, A.V. Syringophilid mites from Kazakhstan. Zootaxa 2010, 2546, 52–68. [Google Scholar] [CrossRef]
- Skoracki, M.; Dabert, M. A new species of the genus Syringophilopsis Kethley, 1970 (Acari: Prostigmata: Syringophilidae) from the tree pipit Anthus trivialis (Passeriformes: Motacillidae). Acarina 1999, 7, 89–92. [Google Scholar]
- Skoracki, M.; Dabert, M. Syringophilopsis albicollisi sp.n., a new species of the quill mite of the family Syringophilidae (Acari: Prostigmata). Acarina 2000, 8, 59–63. [Google Scholar]
- Skoracki, M.; Dabert, M. The quill mites of the genus Syringophilopsis Kethley, 1970 (Acari: Syringophilidae) from African birds. Acarina 2001, 9, 105–112. [Google Scholar] [CrossRef] [PubMed]
- Skoracki, M.; Dabert, M. Two new species of the parasitic mites of the genus Aulobia Kethley, 1970 (Acari, Syringophilidae) from African birds. Acta Parasitol. 2001, 46, 208–215. [Google Scholar]
- Skoracki, M.; Dabert, M. A review of parasitic mites of the family Syringophilidae (Acari, Prostigmata) from African birds, with descriptions of four new species. Acta Parasitol. 2002, 47, 137–146. [Google Scholar]
- Skoracki, M.; Dabert, M.; Ehrnsberger, R. A new quill mite (Acari: Syringophilidae) from the blackbird. Osnabrucker Naturwissenschaftliche Mitteilungen 2000, 26, 191–198. [Google Scholar]
- Skoracki, M.; Flannery, M.E.; Spicer, G.S. Quill mites of the genus Syringophilopsis Kethley, 1970 (Acari: Syringophilidae) from North American birds. Folia Parasit. 2008, 55, 291–300. [Google Scholar] [CrossRef]
- Skoracki, M.; Glowska, E. Two new species of the quill mite genus Aulobia Kethley, 1970 (Acari, Syringophilidae) associated with sunbirds (Passeriformes, Nectariniidae). Acta Parasitol. 2008, 53, 179–185. [Google Scholar] [CrossRef]
- Skoracki, M.; Glowska, E. Two new species of the genus Picobia Haller (Acari: Syringophilidae) from Australian and Indonesian passeriform birds. N. Z. J. Zool. 2008, 35, 281–286. [Google Scholar] [CrossRef]
- Skoracki, M.; Glowska, E.; Sikora, B. Four new species of the quill mite genus Picobia Haller (Acari: Syringophilidae) parasitizing birds in the Australian region. Zootaxa 2008, 1961, 58–68. [Google Scholar] [CrossRef]
- Skoracki, M.; Hendricks, S.; Spicer, G.S. Systematics of the ectoparasitic quill mites of the genus Aulobia Kethley, 1970 (Acari: Syringophilidae) with the description of a new species. Zootaxa 2010, 2399, 31–41. [Google Scholar] [CrossRef]
- Skoracki, M.; Hendricks, S.; Spicer, G.S. Four new species of Aulonastus Kethley, 1970 (Acari: Syringophilidae) from North American passerines. Syst. Parasitol. 2010, 76, 131–144. [Google Scholar] [CrossRef] [PubMed]
- Skoracki, M.; Hendricks, S.; Spicer, G.S. New species of parasitic quill mites of the genus Picobia (Acari: Syringophilidae: Picobiinae) from North American birds. J. Med. Entomol. 2010, 47, 727–742. [Google Scholar] [CrossRef]
- Skoracki, M.; Hendricks, S.; Spicer, G.S. Systematics of the genus Syringophilopsis Kethley, 1970 (Acari: Prostigmata: Syringophilidae) with description of three new species from North American passerines. Zootaxa 2011, 2793, 1–22. [Google Scholar] [CrossRef]
- Skoracki, M.; Hromada, M. A review of picobiine mites (Acari: Syringophilidae: Picobiinae) parasitising African birds. Folia Parasit. 2013, 60, 192–212. [Google Scholar] [CrossRef]
- Skoracki, M.; Hromada, M.; Kuczynski, L. Torotrogla lullulae, a new species of the family Syringophilidae Lavoipierre, 1953 (Acari: Prostigmata: Cheyletoidea). Genus 2001, 12, 87–92. [Google Scholar]
- Skoracki, M.; Hromada, M.; Unsoeld, M. Three new quill mite species of the genus Neoaulonastus Skoracki (Acari: Syringophilidae) parasitizing passerines in Tanzania. Zootaxa 2013, 3616, 367–377. [Google Scholar] [CrossRef]
- Skoracki, M.; Klimovičová, M.; Muchai, M.; Hromada, M. New taxa of the family Syringophilidae (Acari: Prostigmata) from the African barbets and woodpeckers (Piciformes: Lybiidae, Picidae). Zootaxa 2014, 3768, 178–188. [Google Scholar] [CrossRef]
- Skoracki, M.; Magowski, W. Two new species of quill mites of the genus Picobia (Acari: Prostigmata: Syringophilidae) from passerine birds of Poland. Acarina 2001, 9, 113–119. [Google Scholar]
- Skoracki, M.; Mironov, S.V. New species and records of quill mites of the family Syringophilidae (Acari: Prostigmata) from the passerines (Aves: Passeriformes) from the Russian Far East. Zootaxa 2013, 3641, 554–564. [Google Scholar] [CrossRef] [PubMed][Green Version]
- Skoracki, M.; Mironov, S.V.; Unsoeld, M. The first records of quill mites of the family Syringophilidae (Acariformes: Prostigmata: Cheyletoidea) from trogoniform birds (Aves: Trogoniformes). Zootaxa 2013, 3701, 291–297. [Google Scholar] [CrossRef]
- Skoracki, M.; Møller, A.P.; Tryjanowski, P. A new species of parasitic mites of the genus Syringophiloidus Kethley, 1970 (Acari: Syringophilidea) from the barn swallow Hirundo rustica Linnaeus, 1758. Parasite 2003, 10, 17–20. [Google Scholar] [CrossRef][Green Version]
- Skoracki, M.; OConnor, B.M.; Goodman, S.M.; Marciniak, N.; Sikora, B. New species and records of syringophilid mites (Acariformes: Syringophilidae) associated with Malagasy birds. Syst. Appl. Acarol. 2016, 21, 1534–1546. [Google Scholar] [CrossRef]
- Skoracki, M.; O’Connor, B. New taxa of quill mites (Acari: Cheyletoidea: Syringophilidae). Zootaxa 2010, 2341, 1–32. [Google Scholar] [CrossRef]
- Skoracki, M.; Sikora, B. Quill mites (Acari: Prostigmata: Syringophilidae) from African passeriform birds. Zootaxa 2003, 129, 1–10. [Google Scholar] [CrossRef]
- Skoracki, M.; Sikora, B. Two new quill mite species of the family Syringophilidae (Acari: Prostigmata) parasitising the house sparrow Passer domesticus (L.) (Aves: Passeriformes). Zootaxa 2014, 3765, 194–200. [Google Scholar] [CrossRef]
- Skoracki, M.; Sikora, B.; Spicer, G.S. A review of the subfamily Picobiinae Johnston and Kethley, 1973 (Acariformes: Prostigmata: Syringophilidae). Zootaxa 2016, 4113, 1–95. [Google Scholar] [CrossRef]
- Skoracki, M.; Solarczyk, P.; Sikora, B. Three new species of picobiine mites (Acari: Syringophilidae) parasitizing African flycatchers (Aves: Muscicapidae). Syst. Parasitol. 2012, 83, 123–135. [Google Scholar] [CrossRef]
- Skoracki, M.; Spicer, G.S.; OConnor, B.M. A systematic review of the subfamily Syringophilinae (Acari: Syringophilidae) of the Nearctic region. Part 1: Quill mites associated with passerines (Aves: Passeriformes). Zootaxa 2016, 4084, 451–494. [Google Scholar] [CrossRef]
- Skoracki, M.; Tryjanowski, P.; Hromada, M. Two new species of the genus Syringophilopsis Kethley, 1970 (Acari: Syringophilidae) parasitizing quills of true shrikes (Aves: Laniidae). Parasite 2002, 9, 11–16. [Google Scholar] [CrossRef][Green Version]
- Skoracki, M.; Unsoeld, M.; Kavetska, K.; Kaszewska, K. Quill mites of the subfamily Picobiinae (Acari: Syringophilidae) associated with woodpeckers (Aves: Piciformes: Picidae). Acta Parasitol. 2014, 59, 68–79. [Google Scholar] [CrossRef]
- Skoracki, M.; Glowska, E.; Lontkowski, J.; Stawarczyk, T. Picobia ictericus sp. n., an ectoparasite of two icterid bird species from Brazil (Acari: Prostigmata: Syringophilidae). Genus 2010, 21, 143–148. [Google Scholar]
- Skoracki, M.; Hromada, M.; Zmudzinski, M.; Unsoeld, M.; Sikora, B. Parasitic quill mites of the family Syringophilidae (Acariformes: Prostigmata) associated with sub-Saharan sunbirds (Passeriformes: Nectariniidae): Species composition and host-parasite relationships. J. Med. Entomol. 2018, 55, 1464–1477. [Google Scholar] [CrossRef] [PubMed]
- Skoracki, M. New Data on Systematics of the Quill Mites of the genus Torotrogla Kethley, 1970 (Acari, Syringophilidae). Belg. J. Entomol. 2004, 6, 303–314. [Google Scholar]
- Skoracki, M. Quill Mites of the genus Syringophilopsis (Acari, Syringophilidae) from passeriform birds of Poland with descriptions of five new species. Acta Parasitol. 2004, 49, 45–62. [Google Scholar]
- Skoracki, M.; Hromada, M.; Tryjanowski, P. Description of a new species of Quill Mite Syringophiloidus sp. n. (Acari, Prostigmata, Syringophilidae) from Great Grey Shrike Lanius excubitor. Acta Parasitol. 2001, 46, 30–34. [Google Scholar]
- Skoracki, M.; Spicer, G.S.; OConnor, B.M. A review of mites of the subfamily Picobiinae Johnston & Kethley, 1973 (Prostigmata: Syringophilidae) from North American birds. Syst. Parasitol. 2014, 87, 99–110. [Google Scholar] [PubMed]
- Skoracki, M.; Unsoeld, M.; Kosicki, J.Z.; Melzer, R.R.; Friedrich, S.; Sikora, B. Enigmatic host-mite relationships: Unraveling the distribution of quill mites on Birds-of-Paradise. Int. J. Parasitol. 2024, 54, 415–427. [Google Scholar] [CrossRef] [PubMed]
- Skoracki, M.; Unsöld, M.; Sikora, B. Redescription of Syringophilioidus glandarii (Fritsch, 1958) with new records of hosts and localities. Spixiana 2022, 45, 39–44. [Google Scholar]
- Skoracki, M.; Patan, M.; Unsoeld, M.; Hromada, M.; Kwiecinski, Z.; Marcisova, I. Diversity of Quill Mites of the family Syringophilidae (Acariformes: Prostigmata) parasitizing Starlings of the genus Lamprotornis (Passeriformes: Sturnidae). Diversity 2024, 16, 51. [Google Scholar] [CrossRef]
- Dunning, J.B. CRC Handbook of Avian Body Masses, 2nd ed.; CRC Press: Boca Raton, FL, USA, 2008. [Google Scholar]
- Featherbase. Available online: https://www.featherbase.info/en/home (accessed on 30 June 2024).
- Felsenstein, J. Phylogenies and the comparative method. Am. Nat. 1985, 125, 1–15. [Google Scholar] [CrossRef]
- Fahrenholz, H. Ectoparasiten und Abstammungslehre. Zool. Anz. 1913, 41, 371–374. [Google Scholar]
- Page, R.D. (Ed.) Tangled Trees: Phylogeny, Cospeciation, and Coevolution; University of Chicago Press: Chicago, IL, USA, 2003. [Google Scholar]
- Hendricks, S.A.; Flannery, M.E.; Spicer, G.S. Cophylogeny of Quill Mites from the genus Syringophilopsis (Acari: Syringophilidae) and their North American passerine hosts. J. Parasitol. 2013, 99, 827–834. [Google Scholar] [CrossRef] [PubMed]
- Hadfield, J.D.; Krasnov, B.R.; Poulin, R.; Nakagawa, S. A tale of two phylogenies: Comparative analyses of ecological interactions. Am. Nat. 2014, 183, 174–187. [Google Scholar] [CrossRef]
- Poulin, R. Functional biogeography of parasite traits: Hypotheses and evidence. Philos. Trans. R. Soc. B 2021, 376, 20200365. [Google Scholar] [CrossRef]


| Taxon, Sex | N | Slope | Conf. Interval of Slope | R2 | p (Deviation from Horizontal) |
|---|---|---|---|---|---|
| Syringophilidae females | 110 | −0.0405 | −0.1033, 0.0223 | 0.0150 | 0.2031 |
| Syringophilidae males | 110 | −0.0233 | −0.0839, 0.0373 | 0.0054 | 0.4466 |
| Syringophilinae females | 88 | −0.0300 | −0.0994, 0.0394 | 0.0086 | 0.3915 |
| Syringophilinae males | 88 | −0.0233 | −0.0954, 0.0487 | 0.0048 | 0.5207 |
| Picobiinae females | 22 | 0.0764 | −0.0267, 0.1794 | 0.1068 | 0.1377 |
| Picobiinae males | 22 | 0.0877 | 0.0268, 0.1486 | 0.3109 | 0.0070 * |
| Log (Body Mass) | N | Slope | Conf. Interval of Slope | R2 | p (Deviation from Horizontal) |
|---|---|---|---|---|---|
| Aulobia spp. females | 8 | 0.2234 | −0.2456, 0.6925 | 0.1846 | 0.2880 |
| Aulobia spp. males | 8 | 0.5099 | 0.1318, 0.8880 | 0.6447 | 0.0164 * |
| Aulonastus spp. females | 7 | 0.0346 | −0.0213, 0.0904 | 0.3363 | 0.1723 |
| Aulonastus spp. males | 7 | 0.0209 | −0.0550, 0.0968 | 0.0910 | 0.5108 |
| Neoaulonastus spp. females | 6 | 0.0237 | −0.0700, 0.1174 | 0.1097 | 0.5213 |
| Neoaulonastus spp. males | 6 | 0.0316 | −0.1561, 0.2192 | 0.0516 | 0.6650 |
| Picobia spp. females | 15 | 0.0619 | −0.0822, 0.2060 | 0.0621 | 0.3704 |
| Picobia spp. males | 15 | 0.0918 | −0.0042, 0.1879 | 0.2471 | 0.0594 |
| Neopicobia spp. females | 7 | 0.1003 | −0.0616, 0.2623 | 0.3365 | 0.1722 |
| Neopicobia spp. males | 7 | 0.0819 | 0.0176, 0.1461 | 0.6817 | 0.0221 * |
| Syringophiloidus spp. females | 26 | −0.0190 | −0.0627, 0.0246 | 0.0326 | 0.3772 |
| Syringophiloidus spp. males | 26 | −0.0043 | −0.0500, 0.0413 | 0.0016 | 0.8460 |
| Syringophilopsis spp. females | 31 | 0.0671 | 0.0119, 0.1223 | 0.1755 | 0.0190 * |
| Syringophilopsis spp. males | 31 | 0.0607 | 0.0110, 0.1105 | 0.1769 | 0.0185 * |
| Torotrogla spp. females | 10 | 0.0248 | −0.0809, 0.1305 | 0.0353 | 0.6033 |
| Torotrogla spp. males | 10 | 0.0632 | −0.0108, 0.1372 | 0.3267 | 0.0843 |
| log (wing length) | |||||
| Syringophiloidus spp. females | 17 | 0.0423 | −0.1526, 0.2372 | 0.0141 | 0.6503 |
| Syringophiloidus spp. males | 17 | 0.1256 | −0.0875, 0.3387 | 0.0952 | 0.2283 |
| Syringophilopsis spp. females | 17 | 0.0447 | −0.1526, 0.2420 | 0.0153 | 0.6362 |
| Syringophilopsis spp. males | 17 | 0.1383 | −0.0566, 0.3332 | 0.1323 | 0.1512 |
| Torotrogla spp. females | 7 | 0.0711 | −0.3973, 0.5395 | 0.0296 | 0.7124 |
| Torotrogla spp. males | 7 | 0.1740 | −0.0820, 0.4300 | 0.3791 | 0.1410 |
Disclaimer/Publisher’s Note: The statements, opinions and data contained in all publications are solely those of the individual author(s) and contributor(s) and not of MDPI and/or the editor(s). MDPI and/or the editor(s) disclaim responsibility for any injury to people or property resulting from any ideas, methods, instructions or products referred to in the content. |
© 2024 by the authors. Licensee MDPI, Basel, Switzerland. This article is an open access article distributed under the terms and conditions of the Creative Commons Attribution (CC BY) license (https://creativecommons.org/licenses/by/4.0/).
Share and Cite
Rózsa, L.; Ianculescu, M.; Hromada, M. Syringophilid Quill Mites Obey Harrison’s Rule. Diversity 2024, 16, 516. https://doi.org/10.3390/d16090516
Rózsa L, Ianculescu M, Hromada M. Syringophilid Quill Mites Obey Harrison’s Rule. Diversity. 2024; 16(9):516. https://doi.org/10.3390/d16090516
Chicago/Turabian StyleRózsa, Lajos, Mónika Ianculescu, and Martin Hromada. 2024. "Syringophilid Quill Mites Obey Harrison’s Rule" Diversity 16, no. 9: 516. https://doi.org/10.3390/d16090516
APA StyleRózsa, L., Ianculescu, M., & Hromada, M. (2024). Syringophilid Quill Mites Obey Harrison’s Rule. Diversity, 16(9), 516. https://doi.org/10.3390/d16090516

