Length–Weight Relationships of Commercial Species in the Eastern Australian Sea Cucumber Fishery
Abstract
1. Introduction
2. Materials and Methods
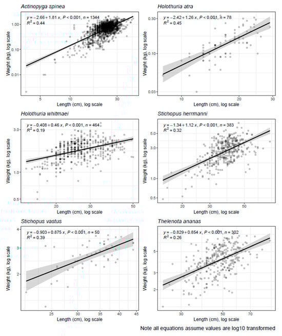
3. Results
4. Discussion
Author Contributions
Funding
Institutional Review Board Statement
Data Availability Statement
Acknowledgments
Conflicts of Interest
References
- Purcell, S.W.; Mercier, A.; Conand, C.; Hamel, J.-F.; Toral-Granda, M.V.; Lovatelli, A.; Uthicke, S. Sea cucumber fisheries: Global analysis of stocks, management measures and drivers of overfishing. Fish Fish. 2013, 14, 34–59. [Google Scholar] [CrossRef]
- Purcell, S.W.; Lovatelli, A.; González-Wangüermert, M.; Solís-Marín, F.A.; Samyn, Y.; Conand, C. Commercially Important Sea Cucumbers of the World, 2nd ed.; Food and Agriculture Organization of the United Nations (FAO): Rome, Italy, 2023. [Google Scholar] [CrossRef]
- Marine Stewardship Council World’s First Sea Cucumber Fishery Proves It’s Sustainable. Available online: https://www.msc.org/en-au/media-centre-anz/media-releases/press-release/worlds-first-sea-cucumber-fishery-proves-its-sustainable (accessed on 19 March 2024).
- Purcell, S.W.; Williamson, D.H.; Ngaluafe, P. Chinese market prices of beche-de-mer: Implications for fisheries and aquaculture. Mar. Policy 2018, 91, 58–65. [Google Scholar] [CrossRef]
- Hammond, A.; Purcell, S. Limited long-term movement and slow growth of the sea cucumber Pearsonothuria graeffei. Mar. Ecol. Prog. Ser. 2023, 704, 1–14. [Google Scholar] [CrossRef]
- Anderson, S.C.; Flemming, J.M.; Watson, R.; Lotze, H.K. Serial exploitation of global sea cucumber fisheries. Fish Fish. 2011, 12, 317–339. [Google Scholar] [CrossRef]
- Friedman, K.; Eriksson, H.; Tardy, E.; Pakoa, K. Management of sea cucumber stocks: Patterns of vulnerability and recovery of sea cucumber stocks impacted by fishing. Fish Fish. 2011, 12, 75–93. [Google Scholar] [CrossRef]
- Ramírez-González, J.; Moity, N.; Andrade-Vera, S.; Reyes, H. Overexploitation and more than a decade of failed management leads to no recovery of the Galápagos sea cucumber fishery. Front. Mar. Sci. 2020, 7, 554314. [Google Scholar] [CrossRef]
- Pauly, D. Some Simple Methods for the Assessment of Tropical Fish Stocks; Food & Agriculture Organization: Rome, Italy, 1983; Volume 234, ISBN 978-92-5-101333-5. [Google Scholar]
- Perry, R.I.; Walters, C.J.; Boutillier, J.A. A framework for providing scientific advice for the management of new and developing invertebrate fisheries. Rev. Fish Biol. Fish. 1999, 9, 125. [Google Scholar] [CrossRef]
- Edgar, G.J.; Bates, A.E.; Krueck, N.C.; Baker, S.C.; Stuart-Smith, R.D.; Brown, C.J. Stock assessment models overstate sustainability of the world’s fisheries. Science 2024, 385, 860–865. [Google Scholar] [CrossRef]
- Froese, R. Cube law, condition factor and weight–length relationships: History, meta-analysis and recommendations. J. Appl. Ichthyol. 2006, 22, 241–253. [Google Scholar] [CrossRef]
- Queensland Department of Agriculture and Fisheries Assessment of the Queensland Sea Cucumber Fishery. November 2021. Available online: https://www.agriculture.gov.au/sites/default/files/documents/qld-sea-cucumber-assessment-2021.pdf (accessed on 24 March 2024).
- Queensland Department of Agriculture and Fisheries Queensland Sea Cucumber Fishery Harvest Strategy: 2021–2026. 2021. Available online: https://www.publications.qld.gov.au/ckan-publications-attachments-prod/resources/77232542-6871-4b16-9b60-c9d3d4883201/sea-cucumber-fishery-harvest-strategy.pdf?ETag=848ee78250de7e433d9427bd4a5af70c (accessed on 24 March 2024).
- Plagányi, É.E.; Skewes, T.; Murphy, N.; Pascual, R.; Fischer, M. Crop rotations in the sea: Increasing returns and reducing risk of collapse in sea cucumber fisheries. Proc. Natl. Acad. Sci. USA 2015, 112, 6760–6765. [Google Scholar] [CrossRef]
- Gray, B.C.T.; Byrne, M.; Clements, M.; Foo, S.A.; Purcell, S.W. Length-weight relationship for the dragonfish, Stichopus cf. monotuberculatus (Holothuroidea). Fish. Res. 2023, 268, 106851. [Google Scholar] [CrossRef]
- Hammond, A.R.; Purcell, S.W. Length–Weight and Body Condition Relationships of the Exploited Sea Cucumber Pearsonothuria graeffei. J. Mar. Sci. Eng. 2024, 12, 371. [Google Scholar] [CrossRef]
- Prescott, J.; Zhou, S.; Prasetyo, A.P. Soft bodies make estimation hard: Correlations among body dimensions and weights of multiple species of sea cucumbers. Mar. Freshw. Res. 2015, 66, 857–865. [Google Scholar] [CrossRef]
- Skewes, T.; Smith, L.; Dennis, D.; Rawlinson, N.; Donovan, A.; Ellis, N. Conversion Ratios for Commercial Beche-De-Mer Species in Torres Strait; Australian Fisheries Management Authority: Canberra, ACT, Australia, 2004.
- Veronika, K.; Edrisinghe, U.; Sivashanthini, K.; Athauda, A.R.S.B. Length-weight relationships of four different sea cucumber species in North-East coastal region of Sri Lanka. Trop. Agric. Res. 2018, 29, 212. [Google Scholar] [CrossRef]
- Purcell, S.W.; Lovatelli, A.; Vasconcellos, M.; Ye, Y. Managing Sea Cucumber Fisheries with an Ecosystem Approach; FAO Fisheries and Aquaculture Technical Paper; Food and Agriculture Organization of the United Nations: Rome, Italy, 2010; ISBN 978-92-5-106489-4. [Google Scholar]
- Smart, J. Comparison of In Situ and Ex Situ Length Measurements of Actinopyga spinea. Personal communication, 18 March 2024. [Google Scholar]
- Gamage, L.; Gamage, T.; Atapaththu, K.; Kondaramage, R.; Senevirathna, D. Diversity, Length-Weight Relations, and Condition Factor of Sea Cucumbers in Three Coastal Areas Along the Southern Coast of Sri Lanka: A Case Study. Turk. J. Fish. Aquat. Sci. 2021, 21, 575–588. [Google Scholar] [CrossRef]
- R Core Team. R: A Language and Environment for Statistical Computing; R Foundation for Statistical Computing: Vienna, Austria, 2024; Available online: https://www.R-project.org/ (accessed on 19 March 2024).
- Conand, C. Reproductive biology of the holothurians from the major communities of the New Caledonian Lagoon. Mar. Biol. 1993, 116, 439–450. [Google Scholar] [CrossRef]
- Setyastuti, A.; Wirawati, I.; Hadiyanto, H.; Nurjamin, N.; Permadi, S.; Hadi, T.A.; Prayudha, B.; Hafizt, M.; Vimono, I.B.; Iswari, M.Y.; et al. New insight into the diversity, biometric distribution, and relationships of commercial sea cucumber species from Indonesia. Fish. Res. 2024, 279, 107124. [Google Scholar] [CrossRef]
- McShane, P.; Knuckey, I. A Review of Size Limits for the Queensland Sea Cucumber Fishery (East Coast); Fishwell Consult: Queenscliff, VIC, Australia, 2022; pp. 4–15. Available online: https://www.daf.qld.gov.au/__data/assets/pdf_file/0009/1875519/sea-cucumber-size-limits-2022.pdf (accessed on 4 April 2024).
- Ramofafia, C.; Byrne, M.; Battaglene, C. Reproduction of the commercial sea cucumber Holothuria scabra (Echinodermata: Holothuroidea) in the Solomon Islands. Mar. Biol. 2003, 142, 281–288. [Google Scholar] [CrossRef]
- Byrne, M. The Morphology of Autotomy Structures in the Sea Cucumber Eupentacta Quinquesemita Before and During Evisceration. J. Exp. Biol. 2001, 204, 849–863. [Google Scholar] [CrossRef]
- San Miguel-Ruiz, J.E.; García-Arrarás, J.E. Common cellular events occur during wound healing and organ regeneration in the sea cucumber Holothuria glaberrima. BMC Dev. Biol. 2007, 7, 115. [Google Scholar] [CrossRef]
- Enberg, K.; Jørgensen, C.; Dunlop, E.S.; Varpe, Ø.; Boukal, D.S.; Baulier, L.; Eliassen, S.; Heino, M. Fishing-induced evolution of growth: Concepts, mechanisms and the empirical evidence. Mar. Ecol. 2012, 33, 1–25. [Google Scholar] [CrossRef]
- Kuparinen, A.; Boit, A.; Valdovinos, F.S.; Lassaux, H.; Martinez, N.D. Fishing-induced life-history changes degrade and destabilize harvested ecosystems. Sci. Rep. 2016, 6, 22245. [Google Scholar] [CrossRef] [PubMed]
- Williamson, J.E.; Duce, S.; Joyce, K.E.; Raoult, V. Putting sea cucumbers on the map: Projected holothurian bioturbation rates on a coral reef scale. Coral Reefs 2021, 40, 559–569. [Google Scholar] [CrossRef]
- Lee, S.; Ferse, S.C.; Ford, A.K.; Wild, C.; Mangubhai, S. Effect of Sea Cucumber Density on the Health of Reef-Flat Sediments; Wildlife Conservation Society: New York, NY, USA, 2017. [Google Scholar]
- Purcell, S.W.; Conand, C.; Byrne, M. Ecological Roles of Exploited Sea Cucumbers. In Oceanography and Marine Biology; CRC Press: Boca Raton, FL, USA, 2016. [Google Scholar]


| Reef | Species | No. Samples | Year |
|---|---|---|---|
| (Big) Broadhurst Reef (No. 1) (18-100a) | Holothuria atra, Holothuria whitmaei, Stichopus herrmanni, Thelenota ananas | 77 | 2023 |
| (Little) Broadhurst Reef (18-106) | Holothuria whitmaei | 9 | 2015 |
| Adelaide Reef (17-042) | Stichopus herrmanni, Stichopus vastus, Thelenota ananas | 22 | 2023 |
| Agincourt Reefs (No. 4) (15-096) | Holothuria whitmaei | 12 | 2015 |
| Andersen Reef (15-090) | Holothuria whitmaei | 8 | 2015 |
| Arlington Reef (16-064) | Stichopus herrmanni, Stichopus vastus, Thelenota ananas | 20 | 2023 |
| Batt Reef (16-029) | Stichopus herrmanni, Stichopus vastus, Thelenota ananas | 15 | 2023 |
| Beaver Reef (17-051) | Holothuria whitmaei | 1 | 2015 |
| Blu-Lion Reef (21-566) | Holothuria whitmaei | 5 | 2021 |
| Bramble Reef (18-029) | Stichopus herrmanni, Stichopus vastus, Thelenota ananas | 10 | 2023 |
| Britomart Reef (18-024) | Holothuria whitmaei, Stichopus herrmanni, Stichopus vastus, Thelenota ananas | 50 | 2023 |
| Bunker Group | Actinopyga spinea | 369 | 2023 |
| Chauvel Reefs (North) (20-307) | Stichopus herrmanni, Stichopus vastus, Thelenota ananas | 6 | 2023 |
| Chauvel Reefs (South) (20-308) | Stichopus herrmanni | 3 | 2023 |
| Chicken Reef (18-086) | Holothuria whitmaei | 10 | 2015 |
| Conder Reef (19-219) | Holothuria whitmaei | 5 | 2021 |
| Darley Reef (19-043) | Holothuria whitmaei, Stichopus herrmanni, Thelenota ananas | 27 | 2023 |
| Davies Reef (18-096) | Holothuria whitmaei | 7 | 2015, 2021 |
| Dingo Reef (No. 1) (19-038a) | Stichopus herrmanni, Thelenota ananas | 8 | 2023 |
| Dingo Reef (No. 3) (19-038c) | Holothuria whitmaei, Stichopus herrmanni | 10 | 2023 |
| Duncan Reef (18-020) | Stichopus herrmanni, Thelenota ananas | 18 | 2023 |
| Elford Reef (16-073) | Stichopus herrmanni, Thelenota ananas | 5 | 2023 |
| Ellison Reef (17-044) | Stichopus herrmanni, Stichopus vastus, Thelenota ananas | 18 | 2023 |
| Endeavour Reef (15-089) | Holothuria whitmaei, Thelenota ananas | 30 | 2023 |
| Eyrie Reef (14-118) | Stichopus herrmanni, Stichopus vastus, Thelenota ananas | 22 | 2023 |
| Gater Reef (22-130) | Stichopus herrmanni, Thelenota ananas | 6 | 2023 |
| Gibson Reef (17-017) | Stichopus herrmanni, Thelenota ananas | 15 | 2023 |
| Gould Reef (No. 2) (19-072b) | Actinopyga spinea, Holothuria whitmaei, Stichopus herrmanni, Thelenota ananas | 405 | 2019, 2023 |
| Half Moon Reef (22-103) | Stichopus herrmanni, Thelenota ananas | 10 | 2023 |
| Hastings Reef (16-057) | Holothuria whitmaei | 6 | 2015 |
| Heart Reef (21-575) | Holothuria whitmaei | 5 | 2021 |
| Hedley Reef (17-014) | Holothuria whitmaei | 3 | 2015 |
| Henderson Reefs (20-129) | Stichopus herrmanni | 16 | 2023 |
| Howse Reef (19-179) | Holothuria whitmaei | 2 | 2021 |
| Jewell Reef (14-079) | Holothuria whitmaei | 11 | 2015 |
| John Brewer Reef (18-075) | Holothuria whitmaei | 38 | 2015 |
| Kangaroo Reef (East) (19-063a) | Holothuria whitmaei, Stichopus herrmanni, Thelenota ananas | 45 | 2023 |
| Lark Reef (15-033) | Holothuria whitmaei, Stichopus herrmanni, Stichopus vastus, Thelenota ananas | 36 | 2023 |
| Lizard Island (14-116a) | Actinopyga spinea, Holothuria atra | 655 | 2022, 2024 |
| Lynchs Reef (18-091) | Holothuria whitmaei | 6 | 2015 |
| Michaelmas Reef (16-060) | Stichopus herrmanni, Thelenota ananas | 7 | 2023 |
| Nathan Reef (17-035) | Holothuria whitmaei, Thelenota ananas | 31 | 2023 |
| Neville Coleman Reef (20-389) | Stichopus herrmanni | 9 | 2023 |
| Opal Reef (16-025) | Holothuria whitmaei, Thelenota ananas | 47 | 2015, 2023 |
| Otter Reef (18-018) | Holothuria whitmaei | 1 | 2015 |
| Paul Reef (21-086) | Stichopus herrmanni | 21 | 2023 |
| Pompey Reef (No. 1) (20-351a) | Stichopus herrmanni | 12 | 2023 |
| Reg Ward Reef (18-017) | Stichopus herrmanni, Thelenota ananas | 30 | 2023 |
| Rib Reef (18-032) | Holothuria whitmaei | 1 | 2015 |
| Ribbon No. 5 Reef (15-038) | Holothuria whitmaei | 10 | 2015 |
| Saville-Kent Reef (18-099) | Holothuria whitmaei | 4 | 2015 |
| Scott Reef (17-004) | Holothuria whitmaei | 5 | 2015 |
| Shrimp Reef (18-118) | Stichopus herrmanni, Thelenota ananas | 7 | 2023 |
| Southampton Reef (20-299c) | Stichopus herrmanni | 15 | 2023 |
| St Crispin Reef (16-019) | Holothuria whitmaei | 9 | 2015 |
| Startle Reefs (15-028) | Stichopus herrmanni, Thelenota ananas | 23 | 2023 |
| Thetford Reef (16-068) | Holothuria whitmaei | 9 | 2015 |
| Tongue Reef (16-026) | Holothuria atra, Holothuria whitmaei, Stichopus herrmanni, Stichopus vastus, Thelenota ananas | 84 | 2023 |
| U/N Reef (14-077a) | Holothuria whitmaei | 12 | 2015 |
| U/N Reef (14-139) | Holothuria whitmaei | 4 | 2015 |
| U/N Reef (14-140) | Holothuria whitmaei | 5 | 2015 |
| U/N Reef (17-065) | Holothuria whitmaei | 4 | 2015 |
| U/N Reef (18-022) | Holothuria whitmaei | 10 | 2015 |
| U/N Reef (19-041) | Stichopus herrmanni, Thelenota ananas | 14 | 2023 |
| U/N Reef (19-042) | Stichopus herrmanni, Thelenota ananas | 8 | 2023 |
| U/N Reef (19-302) | Holothuria whitmaei | 4 | 2021 |
| U/N Reef (20-166) | Holothuria whitmaei | 17 | 2021 |
| U/N Reef (20-194a) | Holothuria whitmaei | 6 | 2021 |
| U/N Reef (20-382) | Stichopus herrmanni, Thelenota ananas | 17 | 2023 |
| U/N Reef (20-392) | Holothuria whitmaei | 5 | 2021 |
| U/N Reef (20-394) | Thelenota ananas | 3 | 2023 |
| U/N Reef (20-398) | Holothuria whitmaei | 6 | 2021 |
| U/N Reef (21-082) | Stichopus herrmanni | 16 | 2023 |
| U/N Reef (21-097) | Holothuria whitmaei | 1 | 2021 |
| U/N Reef (21-141) | Stichopus herrmanni | 26 | 2023 |
| U/N Reef (21-143) | Holothuria whitmaei | 21 | 2021 |
| U/N Reef (21-198) | Holothuria whitmaei | 5 | 2021 |
| U/N Reef (21-200) | Holothuria whitmaei | 6 | 2021 |
| U/N Reef (21-221) | Holothuria whitmaei | 4 | 2021 |
| U/N Reef (21-236) | Stichopus herrmanni | 13 | 2023 |
| U/N Reef (21-239) | Holothuria whitmaei | 7 | 2021 |
| U/N Reef (21-242a) | Holothuria whitmaei | 3 | 2021 |
| U/N Reef (21-265) | Stichopus herrmanni, Thelenota ananas | 10 | 2023 |
| U/N Reef (21-290) | Stichopus herrmanni, Thelenota ananas | 11 | 2023 |
| U/N Reef (21-450) | Stichopus herrmanni, Thelenota ananas | 16 | 2023 |
| U/N Reef (21-461) | Stichopus herrmanni, Thelenota ananas | 12 | 2023 |
| U/N Reef (21-560) | Holothuria whitmaei | 1 | 2021 |
| Yankee Reef (18-074) | Holothuria whitmaei | 3 | 2015 |
| Species and Common Name | n | Mean Length ± SD (cm) | Smallest and Largest (cm) | Mean Weight ± SD (kg) | Range (kg) | Length–Weight Relationship (W = kg, L = cm) |
|---|---|---|---|---|---|---|
| Actinopyga spinea Burrowing Blackfish | 1344 | 22.99 ± 4.95 | 3.6–43.5 | 0.72 ± 0.34 | 0.01–2.15 | W = 0.0022 × L1.81 |
| Holothuria atra Lollyfish | 78 | 17.48 ± 4.30 | 8.0–29.0 | 0.15 ± 0.07 | 0.03–0.33 | W = 0.0038 × L1.26 |
| Holothuria whitmaei Black Teatfish | 464 | 27.38 ± 6.72 | 14.0–50.0 | 1.82 ± 0.43 | 0.50–3.57 | W = 0.3908 × L0.46 |
| Stichopus herrmanni Curryfish herrmanni | 383 | 38.56 ± 7.74 | 15.0–73.0 | 2.85 ± 1.06 | 0.48–7.29 | W = 0.0457 × L1.12 |
| Stichopus vastus Curryfish vastus | 50 | 33.33 ± 5.46 | 21.0–44.0 | 2.73 ± 0.59 | 1.21–3.94 | W = 0.1250 × L0.87 |
| Thelenota ananas Prickly Redfish | 302 | 48.17 ± 9.67 | 24.0–89.0 | 4.21 ± 1.34 | 1.34–8.24 | W = 0.1483 × L0.85 |
Disclaimer/Publisher’s Note: The statements, opinions and data contained in all publications are solely those of the individual author(s) and contributor(s) and not of MDPI and/or the editor(s). MDPI and/or the editor(s) disclaim responsibility for any injury to people or property resulting from any ideas, methods, instructions or products referred to in the content. |
© 2024 by the authors. Licensee MDPI, Basel, Switzerland. This article is an open access article distributed under the terms and conditions of the Creative Commons Attribution (CC BY) license (https://creativecommons.org/licenses/by/4.0/).
Share and Cite
McSpadden, K.L.; Raoult, V.; Koopman, M.; Knuckey, I.A.; Williamson, J.E. Length–Weight Relationships of Commercial Species in the Eastern Australian Sea Cucumber Fishery. Diversity 2024, 16, 770. https://doi.org/10.3390/d16120770
McSpadden KL, Raoult V, Koopman M, Knuckey IA, Williamson JE. Length–Weight Relationships of Commercial Species in the Eastern Australian Sea Cucumber Fishery. Diversity. 2024; 16(12):770. https://doi.org/10.3390/d16120770
Chicago/Turabian StyleMcSpadden, Kristen L., Vincent Raoult, Matthew Koopman, Ian A. Knuckey, and Jane E. Williamson. 2024. "Length–Weight Relationships of Commercial Species in the Eastern Australian Sea Cucumber Fishery" Diversity 16, no. 12: 770. https://doi.org/10.3390/d16120770
APA StyleMcSpadden, K. L., Raoult, V., Koopman, M., Knuckey, I. A., & Williamson, J. E. (2024). Length–Weight Relationships of Commercial Species in the Eastern Australian Sea Cucumber Fishery. Diversity, 16(12), 770. https://doi.org/10.3390/d16120770

