1. Introduction
1.1. Botanical Description and Diffusion
Sweet cherry (
Prunus avium L.) belongs to the
Rosaceae family, subfamily
Prunoideae, and is widespread mainly in the European continent, up to the southern regions of the former Soviet Union and Asia, mainly in the area between the Caspian Sea and the Black Sea [
1]. The wild species was most likely one of the food sources of prehistoric humans [
2], and the history of its domestication is still unclear today, although it is conceivable that multiple events in the process occurred accompanied by intense and progressive gene flow between the progenitor species and the cultivated one, which would explain the current genetic structure of populations of
Prunus avium [
3].
According to FAO data [
4], sweet cherry-growing areas were estimated to be about 451,064 ha and sweet cherry production was about 2,732,413 tons worldwide in 2021. Europe and Asia were the continents with the largest number of hectares under cultivation in 2021, with approximately 172,423 ha and 178,084 ha, respectively. However, the highest production was recorded in Asian countries, with about 1,239,025, compared to the 740,947 t in European countries. Turkey holds the largest world production, with about 693,000 t, followed by the United States of America, with about 319,330 t, and Chile with 290,350 t. As far as Italy is concerned, the data from 2021 indicate a cultivation area of 28,727 ha, with a production of about 97,020 tons of cherries, mostly concentrated in southern Italy [
5]. According to Bargioni [
6], the crop has been maintained, with slight increases, in areas where the experience and technical expertise of producers are high and good environmental conditions prevail, especially soil characteristics, allowing the use of
Prunus mahaleb rootstock, which avoids excessive plant vigor.
Production is mainly concentrated in five regions of Italy, which account for 91% of the total area and 87% of the Italian production volume. The region with the largest cultivated area (18,749 ha) and the largest production (33,289 t) is Apulia, with 65% of the cultivated area and 34% of the total yield. The other five regions follow by distance from the main region: Campania (with 2712 ha and 28,327 t), Emilia Romagna (1986 ha and 11,104 t), Veneto (1971 ha and 9327 t), and Latium (857 ha and 2678 t) (
Table 1). Comparing these data to those of a few decades ago, it is possible to note a shifting trend toward cherry cultivation from central and northern Italian regions to southern regions. This shift was partially stimulated by the development and selection of new varieties with low cold requirements, but above all it is due to the prevalence of optimal pedoclimatic conditions to reach high-quality standards and more favorable socio-economic conditions for agricultural activities in southern regions.
Soil, climatic conditions, and cultural management of cherry orchards in Southern Italy are able to ensure high-quality standards. However, cherry tree cultivation in such environments requires appropriate cropping systems, and irrigation management is particularly challenging during all production stages. The difficulty in transferring innovative cropping processes to southern regions is leading to a certain disaffection of farmers toward this species. Climate change, namely the occurrence of extreme events such as intense rainfall during the cherry-ripening period, is giving rise to new criticism for the crop’s success [
7,
8]. In order to face such risks, great technical-agronomic expertise in plant protection systems is required, together with further capital investment to purchase, maintain, or renew such systems. Therefore, in low-density and low-yielding plantations, protection systems struggle to take off while extreme weather events become more frequent. A reasonable and long-term solution could be based on the use of genetically improved or more acclimated varieties, supported by the immense gene pool conserved in native biodiversity. Indeed, the identification and breeding of local varieties allows for conserving a gene base to feed breeding and select cherry varieties with more adequate tree and fruit characteristics (e.g., water and heat stress tolerance, higher fruit cracking resistance, and/or longer fruit shelf-life). Such resources may help in providing low-cost alternatives for the use of protection systems that are limiting cultivation in southern areas, therefore contributing to reduced land abandonment and the maintenance of economic and ecological sustainable land-use systems [
9,
10].
1.2. The Cherry Tree in Sardinia
In Sardinia, cherry farming has never played an important role in the island’s economy, which is more oriented toward extensive cereal farming in lowland areas and sheep farming in hillside areas [
11]. Cherry cultivation, in the past relegated to the margins of vineyards or to the enclosed areas of the Gennargentu mountain [
12], began to find success in the 1980s in restricted hilly areas of Sardinia where cherry tree cultivation could represent a supplementary agricultural income in addition to viticulture and olive tree cultivation [
11].
The most important cherry diffusion areas in Sardinia are located in the following municipalities: Usini, with the cherry ‘Usinesa’; Bonnanaro, with ‘Carrufale di Bonnanaro’; Tempio and Bonacardo where the most widespread variety is ‘Furistera’; Aritzo, where we found ‘Bianca di Aritzo’, which typically has yellow skin and pulp, as well as ‘Amarena’ and ‘Duroni’; Belvì, with ‘Addosa’ and Cordada Niedda; Desulo, with ‘Barracocco bianco’, ‘Barracocco de ispiritu’, and ‘Pisanisca’’; and Villacidro with ‘Barracocca’ [
13] (
Table 2).
The genetic heritage of cherry trees in Sardinia up until the 1980s included more than 26 cultivars, but many of them did not have productive traits interesting enough to justify agronomic validity, although in several cases, excellent peculiar characteristics have been found [
13]. For instance, ‘Usinesa’ and ‘Maggiolina’ are interesting for their early ripening, whereas ‘Tenalgi gulza’ has easy stalk detachment. Another interesting and distinctive trait is the yellow coloration of the skin and cream coloration of the flesh found in ‘Bianca di Aritzo’ and ‘Bianca di Nuchis’. Overall, among the best cultivars, ‘Furistera’, ‘‘E Spiritu’, ‘Duroni’, ‘Confetto’, and ‘Barracocco de ispiritu’ [
13] are the most valuable for their yield, size, and fruit flavor.
At the end of the 1980s, new sweet cherry local varieties were found all around Sardinia. The purpose of this study is both to characterize this new source of Sardinia cherry biodiversity and identify the new local varieties most suitable for crop growing and productive purposes in arid and semi-arid environments, thus allowing an important slice of local biodiversity to move from ex situ collection fields to professional productive fruit growing.
2. Materials and Methods
2.1. Morphological Characterization
The study was carried out during two growing seasons (2016–2017) in the collection field planted in 1993 in one of the farms of the AGRIS Sardegna—Agricultural Research Agency of Sardinia—located in Sassari (alt. m 70 a.s.l.; 40°47′38.61′′ N; 8°28′27.91′′ E). The collection field included 27 varieties, 22 of which were found in the area of Bonnanaro (North Sardinia), and therefore attributable to the “Bonnanaro” population variety; 5 were gathered in the Gallura area (North-west) and Ogliastra (southeastern Sardinia).
For each variety grafted onto franc rootstock, there were 3 replicate plants grown in a classic free vase with 3–4 branches at 80 cm from the soil, arranged in a quincunx row design, with a planting distance of 5 m between rows and 5 m along the row.
The varieties were surveyed weekly to allow for a detailed description of morphological traits. Vegetative and productive parameters were determined according to the characterization guidelines provided by the Italian Cherry Descriptor List [
14] and the Passport and Priority Descriptors For Cherry [
15]. The production obtained was weighed, and the main carpological parameters of fruit and pulp were evaluated on samples of 100 fruits per plant. The organoleptic properties (namely texture and flavor), as well as the main chemical parameters of the juice, were measured.
2.2. Chemical Characterization
Analytical measurements were carried out on fruit samples (3 samples each replicated 3 times), following classic analytical methodologies. Specifically, fruit titratable acidity, expressed as meq/L malic acid, was determined in 25 mL of juice collected from a sample of 100 homogenized drupes, filled to a volume of 50 mL with distilled water, and brought to pH 7.0 with NaOH 1N. Total soluble solids were determined on each juice sample and replicated three times with the DBR 95 digital refractometer. Total anthocyanins were determined by modifying the extraction method developed for myrtle [
16] and performing the spectrometric readings at 525 nm with a VARIAN Cary 50 scan spectrophotometer. The analysis of total polyphenol content was performed according to the method of Folin Ciocalteau [
17], taking the reading at 750 nm using a VARIAN Cary 50 scan spectrophotometer. Finally, the anthocyanin profile was determined by liquid chromatography (HPLC) using a column: Water Spherisorb, an ODS—2–5 µm, Length 250 mm, ID 4.6 mm, and a temperature of 25 °C, with a flow rate of 1.0 mL/min.
2.3. DNA Extraction and PCR Amplification Conditions
The DNA was extracted from dormant buds, both for the 27 local varieties and 6 reference cultivars, using the DNeasy Plant Mini Kit (69104, Qiagen, Aarhus, Denmark). DNA concentration and quality were verified by the NanoDrop 2000 Thermo scientific spectrophotometer (Waltham, MA, USA) and DNA was diluted to 5 ng/μL before PCR amplification.
SSR fingerprinting was performed using 8 nuclear SSR markers previously developed in peach and chosen from those indicated in the bibliography on the basis of polymorphism in cherry: UPD96 005 and UPD98 412 [
18], BPPCT 004, BPPCT 005, BPPCT 014, BPPCT 028, BPPCT 039, and BPPCT 040 [
19]. All the forward primers were labeled with the fluorescent dye 6-FAM (InVitrogen) (Waltham, MA, USA). Each 15 µL PCR contained 15 ng of genomic DNA. Reagent protocols and PCR cycling conditions were those from the respective references. To confirm correct amplification, PCR products were checked by electrophoresis using 1% agarose gel and UV illumination with the UVP GelDoc-It 310 Imaging System.
SSR fragment analysis was carried out on an ABI Prism 3100 Genetic analyzer (Applied Biosystems, Woburn, MA, USA) using the POP-7 polymer, GeneScan-LIZ 500 as the size standard, and GeneMapper 4.1 software for allele sizing.
2.4. Sensory Analysis
The descriptive sensory analysis [
20] was applied to 6 cultivars of cherries: 4 local varieties (Stacca di Bonnanaro, Montesantu, GF Petrarca 1, and Santa Maria) and 2 nationally spread cultivars (Lapins and Stella). Among the local varieties, the choice was based on the best agronomical performances; the two national varieties were chosen for their great diffusion and for their simultaneous ripening compared to the 4 local cultivars. The analyses were carried out in the laboratory of AGRIS Sardegna, which is equipped in conformity with specifications reported in the Regulations [
21,
22]. The panel comprised 8 expert judges [
23,
24], 4 females and 4 males aged between 25 and 50 years. The judges are technicians employed by the Department, with particular experience in sensory profile development. They were asked to evaluate the cherry samples and identify sensory attributes related to the visual appearance, taste, and flavor of cherries [
15]. In addition, 2 general attributes were evaluated (overall quality appearance and global quality flavor). The sensory attributes (apart from skin color) were evaluated on a 10 cm unstructured scale (1 = no or very low intensity and 10 = high intensity) using reference standards for each attribute identified.
Table 3 reports the selected attributes with the sensory definition for each attribute and reference standards (
Table 3).
Cherry samples were placed in containers of odorless material and marked with a random three-digit number. They were laid out in a tray containing the sample and some palate cleansers between samples (a cracker biscuit, a glass of water, and cucumber slices) and tested inside the tasting booths (UNI-ISO 8589). After acclimatization to room temperature of 20 °C, the samples were submitted to the judges in a randomized and balanced block design [
20] for the analysis. All samples were replicated three times.
The expert judges identified and quantified the intensity of 8 attributes: 2 of which belong to the visual-tactile characteristics (skin color and firmness tactile by hand), 5 belonging to the flavor/texture characteristics (firmness in the mouth, juiciness, sweetness, sourness, and flavor intensity); and 2 general attributes (global quality appearance and global quality flavor).
The acceptability test (Consumer test) was used to estimate the liking of a consumer panel made up of 40 female and 40 male judges aged between 25 and 60 years. Consumers were asked to rate their liking of the cherries measured on an unstructured scale of 10 cm (1 no or little liked, 10 very liked). As for the sensory attribute evaluation, the samples were coded with a three-digit code and presented to consumers according to a complete block design [
21,
22].
2.5. Statistical Analyses
All morphological and agronomical data collected, including fruit composition traits, were subjected to a one-way ANOVA and least significant difference (LSD) test using the software Statgraphics Centurion 18 (Statgraphics Technologies, Inc., The Plains, VA, USA), in order to compare means and detect significant differences among cultivars at the 95% confidence level.
As far as genetic data are concerned, the 27 8-SSR Sardinian profiles were reduced to 15 single profiles after a comparison through an Excel matrix; for those 15 profiles, descriptive frequency-based statistics were computed using GenAlEx 6.503 [
25]: allele number (Na), observed heterozygosity (H
o), and expected heterozygosity (H
e), according to Nei 1978 [
26]; Fis and
p value associated with the Hardy–Weinberg equilibrium test [
27]. Genetic distances among the 15 single profiles plus the 6 reference cultivar profiles were estimated using Cluster analysis and Principal coordinates analysis (PCoA). Cluster analysis used Treecon 1.3 b software [
28] to provide a UPGMA tree based on Nei and Li’s [
29] similarity matrix, with 1000 bootstraps over loci shown as a percentage value. The PCoA was carried out using GenAlEx 6.503 with a covariance matrix and data standardization to calculate the genetic distances among varieties.
Sensory panel performance was assessed using a three-way ANOVA model (assessor, samples, and replicate). Moreover, a two-way analysis of variance with interactions was used to evaluate the reliability of the panel’s judgments for each descriptor in terms of reproducibility and discriminant ability [
24]. A two-way ANOVA (assessor and samples) was used to define the sensory profile and the acceptability test of the cherry samples. If the ANOVA detected significant variations, the LSD test was applied to detect significant differences among the cherries. Data analysis was carried out using Statgraphics Plus 5.1 and XLSTAT Sensory. Sensory data acquisition was carried out using a special computer application (Smart Sensory box v2.2.39).
3. Results
3.1. Morphological and Productive Characterization
Analyses of the data collected during the two growing seasons allowed us to carry out a complete morphological and agronomic characterization of the 27 cherry varieties. Most of their growth habits [
15] were semi-upright: ‘Montesantu’ and ‘Conca Niedda 4’ had upright growth, whereas a few varieties like ‘Carta Tueddu 1’ and ‘Carriadogia’ showed a spreading canopy growth habit (
Table 4). Almost all varieties had medium to small tree sizes, except for ’Montesantu’, ‘Santa Maria’, and ‘GF Tola’ varieties, which had a small tree size, and ‘Stacca di Bonnanaro’, which was the only variety with a very large tree size. The majority of the studied varieties showed weak to medium vigor, with a few exceptionally strong and very strong varieties, including ‘Montesantu’, ‘ Di Santa Maria’, ‘Stacca di Bonnanaro’, and ‘Carta Tueddu 1’ which had high vigor. Tree branching density was mostly medium or low, except for four varieties that showed a high density of branches in the canopy (‘Montesantu’, ‘Stacca di Bonnanaro’, ‘Spargola di Bonnanaro’, and ‘Carta Tueddu 1’), whereas suckering aptitude was absent in all varieties observed.
Most varieties (
Table 5) showed medium elliptic-shaped leaves, with the maximum width at the central or central-apical position, a narrow apical angle, and a medium to wide basal angle. The leaf color was dark green on the upper leaf blade with the exception of ‘GF Petrarch 2’ and ‘SF Giagu’, which showed a light green color. The leaf margins were serrated, and the typical anthocyanin coloration of the petiole was of medium intensity in most varieties and highly red-colored in ‘San Francesco’, ‘Ghisu’, ‘Barore Ghisu’, ‘Antica di Bonnanaro’, and ‘Nera of Tempio’. Leaf stipules had small to medium sizes, with the exception of ‘Carta Tueddu 1’, with large stipules (
Table 6).
Table 7 shows the flower descriptions of all varieties studied. The flower diameter was small in all of them, with medium corolla width, except for that of San Francesco flowers, where it was tight. The shape of the petal was medium obovate in the following varieties: ‘Di San Francesco’, ‘SF Giagu’, ‘Cariasa di Bidda’, ‘Marracocca’, ‘Di Osini’, ‘Carta Tueddu 1’, ‘Carta Tueddu 2’, ‘Antica di Bonnanaro’,’ Carriadogia’, and ‘Nera di Tempio’. In the remaining varieties, the shape was circular. The position of the petals was mainly overlapping, but in seven varieties, it was intermediate, and in the other five, the petals were freely positioned. Finally, the petal margin was considered entire in all varieties.
The fruit morphological characteristics are shown in
Table 8 and
Figure 1. The skin color epidermis was predominantly red-yellow, excluding ‘Conca Niedda 4’ and ‘Stacca di Bonnanaro’, which presented an intense red color; ‘Ghisu’, ‘Di Osini’, and ‘Antica di Bonnanaro’, with dark red-colored fruits; and ‘Bianca di Bonnanaro’, with a typical yellow color. The fruit flesh was cream for almost all varieties except for ‘Ghisu’, ‘di Osini’, and ‘Antica di Bonnanaro’, which had a dark-red color, and ‘Bianca di Bonnanaro’, which had yellow pulp.
The average weight of the fruit varied from a minimum of 3.05 g for ‘Antica di Bonnanaro’ to a maximum value of 8.26 g for ‘Bianca di Nuchis’, but larger values have also been observed in these varieties. The fruit shape was spherical, except for that of ‘San Francesco’ and ‘Antica di Bonnanaro’, which had ovoid fruit shapes, ‘Burcei’ with spherical-flattened fruits, and ‘Nera di Tempio’ with cordate-shaped cherry.
Most of those 27 Sardinian varieties had early ripening, and only six of them had intermediate ripening dates (
Table 9). As far as flavor characteristics are concerned, the best overall characteristics were found in ‘Stacca di Bonnanaro’ and ‘Bianca di Nuchis’, which were globally rated as excellent according to the tasting panel. Nine varieties were classified as good quality, and the remaining had mediocre quality. In general, fruit consistency was classified as soft or intermediate, and only ‘Bianca di Nuchis’ presented a firm texture.
As far as stone characteristics are concerned,
Table 10 reports that the cherry stone was of small–medium size in all varieties, with medium elliptic or broad elliptic shapes. The tips were straight in most varieties, but were absent in ‘Stacca di Bonnanaro’, ‘Efisio Piras 88’, and ‘Alvera’.
3.2. Fruit Chemical Characteristics
The yield per plant during the first year of observations was particularly low: seventeen varieties produced less than 5 kg per plant, and the yield exceeded that threshold in only 10 varieties. The most productive varieties were ‘Ghisu’ with 5.0 kg, followed by ‘Carriadogia’ with 5 kg. During the second year, the low productivity of most of the varieties under observation was confirmed, partly as a result of drastic pruning in the previous year. The highest productions (
Figure 2) were obtained in ‘Stacca di Bonnanaro’ (33.30 kg/plant), ‘Ciliegia di Santa Maria’ (19.73 kg/plant), and ‘GF Petrarca 1’ (19.33 kg/plant), which were confirmed to be among the most productive Sardinian varieties.
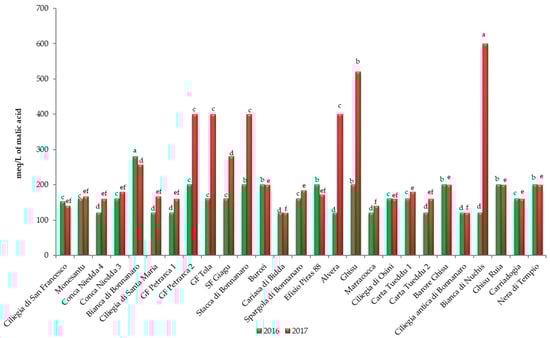
As far as titratable acidity is concerned (
Figure 3), in 2016, ten varieties had a malic acid content between 50 and 200 meq/L, with the highest content (280 meq/L) being found in the fruit of the Bianca di Bonnanaro variety, which had yellow skin and flesh.
In 2017, these results were not confirmed, and the malic acid content tended to be higher in all varieties, with the majority having a content between 100 and 400 meq/L. The varieties with the highest values were Ghisu (520 meq/L) and Bianca di Nuchis (600 meq/L).
The total soluble solids content (
Figure 4) in 2016 showed that the values ranged between 12° and 16 °Brix, with the exception of the varieties Bianca di Nuchis, Stacca di Bonnanaro, and Bianca di Bonnanaro, which presented values of 21.9, 18.0, and 16.6 °Brix, respectively.
In 2017, the trend was the same as in 2016, with the Bianca di Nuchis, Stacca di Bonnanaro, and Bianca di Bonnanaro varieties also presenting the highest values for this year.
The total anthocyanins content (
Figure 5) in 2016 showed that, overall, the varieties did not differ significantly concerning this trait. The total contents ranged from a minimum of 98.35 mg/L in ‘Santa Maria’ to a maximum of 465.97 mg/L in ‘GF Petrarca 2’. However, very high values were measured in ’Ghisu’, with about 1700 mg/L. These results were also confirmed in 2017, with ‘Ghisu’ having an even higher total anthocyanin content of about 2161 mg/L. During the second year, the anthocyanin concentration in the fruit tended to be smoother. The most represented anthocyanins were Peonidin-3-glucoside and malvidin-3-glucoside.
The variety with the lowest content of total phenols during the first year of fruit sampling was ‘Carta Tueddu 2’, with about 1179.44 mg kg
−1, while ‘Ghisu’ was the variety with the highest contents of ca. 5043.38 mg kg
−1, which was also confirmed in the following year (about 6251.23 mg kg
−1) (
Figure 6).
Figure 7 shows that, except for ‘Ghisu’ with 1139 mg kg
−1, there was no significant difference among the varieties regarding the Peonidin-3-glucoside content, and this trend was also confirmed in the second year.
As far as the Malvidin-3-glucoside content is concerned, very high values were found in ‘Ghisu’ in both years of trial (
Figure 8). However, the Malvidin-3-glucoside total content of Ghisu was much higher in the second year compared to the others.
3.3. Molecular Characterization of Cultivar Genetic Differences
Among the fifteen single profiles resulting from the 8-SSR fingerprinting, three of them identified three groups of local varieties, as reported in
Table 11.
The descriptive statistics for the 15-profile germplasm set and the range in fragment size detected for each SSR amplicon are given in
Table 12. UDP96005 had the highest number of alleles among the local Sardinian cherry varieties. BPPCT05, BPPCT39, and BPPCT40 in our Sardinian germplasm set confirmed the same level of polymorphism as other investigations on sweet cherry [
19,
30,
31]. On the other hand, both BPPCT04 and UDP98409 showed lower polymorphism (four alleles). BBPCT14 was the least informative SSR as it showed only two alleles in this Sardinian cherry germplasm set. Among the total of 45 alleles, UDP98409, BPPCT04, and BPPCT39 showed a private allele each, belonging to the “Ghisu” variety. H
o ranged between 0.933 (BPPCT05) and 0.067 (for BBPCT14, due to the presence of only two alleles), with an average of 0.71, which is greater than the average H
e (0.627). This was also confirmed by the mean Fis (fixation index), which, being negative (−0.123), indicates an excess of observed heterozygosity compared to that expected. Moreover, there was a significant deviation (
p < 0.01) from the Hardy–Weinberg equilibrium in two of the eight loci considered.
In the dendrogram obtained from the cluster analysis (
Figure 9), the local varieties sampled in the Bonnanaro area are shown in black, while those sampled in other areas of Sardinia are represented by blue and the reference cultivar is shown in red. The dendrogram of the genetic distance separated three main branches. The first branch strongly represents the Sardinian germplasm and does not comprise any reference variety. It contains 10 unique profiles (including those belonging to the three groups of
Table 11), referring mainly to the local varieties sampled in the Bonnanaro area. In particular, Group 2 refers to 10 local varieties belonging to the cultivar population called “Comune di Bonnanaro”, which constitutes the typical Bonnanaro cherry. The second branch of the dendrogram, on the other hand, included all 6 reference cultivars and 4 local varieties sampled in Sardinia, which were associated with extra-island germplasm. For example, ‘Bianca di Bonnanaro’ was connected to cv. ‘Giulietta’, even if it was with a fair genetic distance (about 0.5 on the scale); whereas ‘Bianca di Nuchis’ was quite close to ‘Grace Star’ (distance 0.3). Lastly, the variety called ‘Ghisu’ resulted in being genetically distant from all the others, likely due to the presence of three unique alleles in the UDP98409, BPPCT04, and BPPCT39 markers in its SSR profile.
Cluster analysis (
Figure 9) showed compatible results overall compared to those of PCoA (
Figure 10).
The varieties belonging to the second branch of the dendrogram fell into the left quadrants. Conversely, the local varieties belonging to the first branch of the dendrogram fell into the two opposite quadrants, on the right, except for ‘Bianca di Bonnanaro’, located in the upper left quadrant, confirming its distance from the main group of Bonnanaro varieties. It is interesting to note that, despite remaining isolated in the dendrogram, ‘Ghisu’ in the PCoA approached the subcluster of ‘SF Giagu’, ‘Burcei’, and Groups 2 and 3, for which the topology within the dendrogram was determined by 98% bootstrapping.
3.4. Sensory Characterization of Cherry Fruits
The results of the sensory profile of the cherry fruit samples are shown in
Table 13 e
Figure 11. The table shows that many attributes were statistically different. Among them, three were related to the visual and tactile appearance, including skin color and tactile firmness, and four involved flavor/texture characteristics, such as firmness inside the mouth, sourness, and flavor intensity. The global quality, as expressed by the overall quality appearance and overall quality flavor, was also statistically different.
Figure 12 shows the results of the PCA, in which the hedonic data of the acceptability test are correlated with the data from the sensory profile. The cherry samples were separated along the first principal component (PC1 = 63.39%) into two large groups: the Sardinian cherries, ‘Stacca di Bonnanaro’ (Bst), ‘Montesantu’, ‘GF Petrarca 1’, and ‘Santa Maria’ to the left; and the two national cherries, ‘Stella’ and ‘Lapins’, to the right of the figure. The national cherries evidenced a greater intensity for the attributes of skin color, tactile firmness, and flavor intensity, whereas the regional cherries had a higher intensity of sourness. Along the second principal component (PC2 = 16.61), ‘Stella’ samples were separated from ‘Lapins’ samples due to the difference in juiciness and flavor intensity; likewise, on the left, ‘Stacca di Bonnanaro’ was positioned along PC2, separate from the ‘Montesantu’, ‘GF Petrarca 1’, and ‘Santa Maria’ cultivars, due to a greater intensity of juiciness. It is important to note that sensorial traits such as color intensity, firmness, and greater flavor intensity have quite important positive impacts on cherry quality and sensory evaluation, whereas sourness has a mainly negative effect.
The results of the acceptability test (
Figure 13) showed that all cherry cultivars were positively appreciated by consumers, but higher approval ratings were ascribed to the ‘Montesantu’ and ‘Stella’ cultivars.
4. Discussion
In this study, a detailed characterization of 27 Sardinian cherry varieties was performed based on the evaluation of the tree and fruit variables that determine a plant’s agronomical and commercial value. Furthermore, the genetic distance between the local and reference varieties located in the field-grown collection was analyzed and the fruit sensory attributes were described. The study highlighted that several of the local varieties may play an important agronomic and commercial role. For instance, the varieties ‘di Santa Maria’, ‘GF Petrarca I’, and ‘Montesantu’ (and in the first year, ‘Stacca di Bonnanaro’) were the most productive.
In terms of morphological and organoleptic characteristics, ‘Bianca di Nuchis’ showed the best results. This variety presented a fruit with red skin and cream flesh, excellent flavor, and high sugar and malic acid contents. Moreover, the fruit evidenced a bigger size compared to the other varieties. Unfortunately, it also showed a lower yield per plant. Another interesting variety regarding fruit traits was ‘Stacca di Bonnanaro’, with high sugar content and good organoleptic characteristics. Yet, this variety showed inconsistent productivity over the years. ‘Ghisu’ is one of the most significant varieties for phenolic content and total anthocyanin content (Malvidin 3-glucoside and Peonidin 3-glucoside). However, the fruit had a low percentage of pulp, and the drupes were very small and had poor flavor.
From SSR fingerprinting data, Ho being higher than He highlights that the plant material studied is of paramount importance for sweet cherry germplasm and diversity. Even though Ghisu does not have a good flavor, it could be interesting because of its other unique characteristics. It could be worth including it in future sensory characterization to verify if such genetic distance and outstanding nutraceutical characteristics could reflect a particular sensory profile. ‘Bianca di Bonnanaro’ is a singular variety with yellow fruit, both in the epidermis and in the flesh. For this reason, the fruit chemical analysis showed the absence of anthocyanins and a low presence of total phenols. Nevertheless, it showed a high sugar content and an interesting flavor, but it had a very low and inconsistent productivity.
Therefore, we established that local cherry varieties are able to produce fruits with high sensory, taste, and nutraceutical qualities and are capable of providing an interesting productive alternative for fruit tree cropping in Sardinia. Moreover, important strengths of these varieties include their great traditional integration within the areas of origin and their high adaptation to soil and climatic conditions of the territory thanks to an acclimation process that started centuries ago. The characterization and protection of this heritage of local cherry varieties is of great importance as it mitigates the push toward the homogenization of cultivated varieties whose sole purpose is to maximize and standardize the production achieved. This phenomenon, which leads to the supplanting of local varieties to make room for selected varieties from other areas, has the inevitable consequence of a loss of agrarian biodiversity, as well as a loss of plants’ ability to adapt to climate change.
As far as fruit quality is concerned, the Sardinian cherry heritage includes some excellent varieties that could conquer wider commercial and consumer acceptance. These varieties have interesting agronomical and quality characteristics for profitable and sustainable crop growing in the southern areas of the Mediterranean basin and therefore are capable of providing a productive alternative to the most widespread national and international sweet cherry varieties.
The richness of the local cherry heritage of Sardinia is very broad; indeed, it includes 64 local varieties, and in Italy, it follows regions where the cherry tree is widespread and has always been cultivated, such as Campania, Tuscany, Piedmont, and Emilia Romagna [
32].
Genetic analyses have aptly separated the most representative varieties of Sardinia (the Bonnanaro area) from the international cultivars and the four Sardinian varieties. However, further characterization with a larger number of SSR markers would allow for discriminating among the local varieties within the population of the “Comune di Bonnanaro” (group 2), which showed important phenotypic differences.
5. Conclusions
The studies conducted during the two-year season on local varieties of sweet cherry allowed for a detailed bio-agronomic characterization of the sweet cherry varieties present in the collection field.
This study helped to identify varieties that may play an interesting role in the local production and market and, therefore, justify the shift to conservation and protection from field dissemination and commercial planting. The cerasiculture in Sardinia, although not widespread, is strongly and historically integrated into the territory and constitutes a solid foundation thanks to its productive aspects, but above all to the cultural, ethnographic, and social roots of sweet cherry cultivation. For these reasons, the protection of Sardinian biodiversity is fundamental to preserving a large gene pool that could be used in future breeding programs, but also to ensure the conservation of the territory and its traditions.
Author Contributions
Conceptualization, L.D.P. and D.S.; methodology, L.D.P., D.S., M.P.R. and R.D.S.; validation, L.D.P., M.P.R. and R.D.S.; formal analysis, L.D.P., A.F.d.O., A.F.F.; M.P.R., G.S., R.D.S. and D.S.; investigation, L.D.P., M.P.R., R.D.S., G.S. and D.S.; data curation, L.D.P., A.F.d.O., M.P.R., G.S., R.D.S. and D.S.; writing—original draft preparation, L.D.P., A.F.d.O., M.P.R., G.S., R.D.S. and D.S.; writing—review and editing, L.D.P., A.F.d.O., M.P.R., R.D.S. and D.S. All authors have read and agreed to the published version of the manuscript.
Funding
This research received no external funding.
Institutional Review Board Statement
Not applicable.
Data Availability Statement
The data presented in this study are available upon request from the corresponding author due to legal and ethical reasons.
Conflicts of Interest
The authors declare no conflicts of interest.
References
- Watkins, R. Cherry, plum, peach, apricot and almond. Prunus ssp. In Evolution of Crop Plants; Simmonds, N.W., Ed.; Longman: London, UK, 1976. [Google Scholar]
- Zohary, D.; Hopf, M. Fruit trees and nuts. In Domestication of Plants in the Old World: The Origin and Spread of Cultivated Plants in West Asia, Europe and the Nile Valley; OUP: Oxford, UK, 2000; Volume 3, pp. 142–191. [Google Scholar]
- Mariette, S.; Tavaud, M.; Arunyawat, U.; Capdeville, G.; Millan, M.; Salin, F. Population structure and genetic bottleneck in sweet cherry estimated with SSRs and the gametophytic self-incompatibility locus. BMC Genet. 2010, 11, 77. [Google Scholar] [CrossRef]
- Fao Data. Available online: www.fao.org/faostat/en/#home (accessed on 5 November 2024).
- Istat Data. Available online: https://www.istat.it/en/data/ (accessed on 5 November 2024).
- Bargioni, G. Storia, problemi attuali e prospettive della coltura del ciliegio. In Atti Accademia dei Georgofili di Firenze; Ed. Società Editrice Fiorentina: Firenze, Italy, 1997; Volume XLIV, pp. 135–160. [Google Scholar]
- Giovannini, A. The Challenges of Italy’s Sweet Cherry Season: A Complex Year Amid Rains and Decreasing Consumption. Cherry Times. 2024. Available online: https://cherrytimes.it/en/news/The-challenges-of-Italys-sweet-cherry-season-a-complex-year-amid-rains-and-decreasing-consumption (accessed on 5 November 2024).
- Macaya, C. Climate change: A Challenge for the Cherry Production. Smart Cherry World. 2023. Available online: https://smartcherry.world/news/climate-change-a-challenge-for-the-cherry-production/ (accessed on 5 November 2024).
- Monteforte, A. Coltivazione Del Ciliegio: Come Innovarla. Fruit J. 2020. Available online: www.fruitjournal.com/coltivazione-del-ciliegio-come-innovarla/ (accessed on 5 November 2024).
- Perpiña Castillo, C.; Kavalov, B.; Diogo, V.; Jacobs-Crisioni, C.; Batista e Silva, F.; Lavalle, C. JRC113718; European Commission: Brussels, Belgium, 2018. [Google Scholar]
- Falqui, A.; Fiori, P.P. La popolazione clonale del ciliegio di Bonnanaro: Analisi delle principali tipologie. In Proceedings of the Germoplasma Frutticolo, Alghero, Italy, 21–25 September 1992; pp. 383–388. [Google Scholar]
- Camarda, L.; D’hallewin, G. Alberi monumentali, colture arboree e paesaggio. In Frutti Dimenticati e Biodiversità Recuperata, 1st ed.; Forconi, V., Guidi, S., Bianco, P.M., Eds.; ISPRA, Quaderni Natura e Biodiversità: Sassari, Italy, 2015; pp. 147–184. [Google Scholar]
- Agabbio, M. Patrimonio Genetico di Vecchie Specie Arboree da Frutto: Le Vecchie Varietà della Sardegna, 1st ed.; Agabbio, M., Ed.; Carlo Delfino Editore: Sassari, Italy, 1994. [Google Scholar]
- Bellini, E.; Giordani, E.; Giannelli, G.; Picardi, E. Liste dei caratteri descrittivi Ciliegio dolce e acido. In Le Specie Legnose da Frutto, 1st ed.; Bellini, E., Ed.; Arsia Regione Toscana: Firenze, Italy, 2008; pp. 177–201. [Google Scholar]
- Passport and Priority Descriptors For Cherry. Available online: https://www.ecpgr.org/fileadmin/templates/ecpgr.org/upload/WG_UPLOADS_PHASE_IX/PRUNUS/EuCherry_descriptors_GUIDELINESv1_FINAL__corr_28_08_2018.pdf (accessed on 5 November 2024).
- Fadda, A.; Mulas, M. Chemical changes during myrtle (Myrtus communis L.) fruit development and ripening. Sci. Hortic. 2010, 125, 477–485. [Google Scholar] [CrossRef]
- Singleton, V.L.; Rossi, J.A. Colorimetry of Total Phenolics with Phosphomolybdic-Phosphotungstic Acid Reagents. Am. J. Enol. Vitic. 1965, 16, 144–158. [Google Scholar] [CrossRef]
- Testolin, R.; Marrazzo, T.; Cipriani, G.; Quarta, R. Microsatellite DNA in peach and its use in fingerprinting and testing the genetic origin of cultivars. Genome 2000, 43, 512–520. [Google Scholar] [CrossRef] [PubMed]
- Dirlewanger, E.; Cosson, P.; Tavaud, M.; Aranzana, M.J.; Poizat, C.; Zanetto, A.; Arús, P.; Laigret, F. Development of microsatellite markers in peach [Prunus persica (L.) Batsch] and their use in genetic diversity analysis in peach and sweet cherry (Prunus avium L.). Theor. Appl. Genet. 2002, 105, 127–138. [Google Scholar] [CrossRef]
- Lawless, H.T.; Heymann, H. Sensory Evaluation of Food: Principles and Practices; Chapman & Hall: NewYork, NY, USA, 1998; pp. 341–356. [Google Scholar]
- ISO 8589; Sensory Analysis: General Guidance for the Design of Test Rooms. The International Organization for Standardization: Geneva, Switzerland, 1989.
- ISO 8586; Sensory Analysis: General Guidance for the Selection, Training and Monitoring of Assessors—Part 2: Experts. The International Organization for Standardization: Geneva, Switzerland, 2005.
- Macfie, H.J.H.; Bratchell, N.; Greenhoff, K.; Vallis, L.V. Designs to balance the effect of order of presentation and first–order carry–over effects in hall tests. J. Sens. Stud. 1989, 4, 129–148. [Google Scholar] [CrossRef]
- Pagliarini, E. Valutazione Sensoriale. Aspetti Teorici, Pratici E Metodologici; Ulrico Hoepli Editore S.p.A.: Milano, Italy, 2002; pp. 83–96. [Google Scholar]
- Peakall, R.; Smouse, P.E. GenAlEx 6.5: Genetic analysis in Excel. Population genetic software for teaching and research. Bioinformatics 2012, 28, 2537–2539. [Google Scholar] [CrossRef] [PubMed]
- Nei, M. Estimation of average heterozygosity and genetic distance from a small number of individuals. Genetics 1978, 89, 583–590. [Google Scholar] [CrossRef] [PubMed]
- Wright, S. Variability Within and Among Natural Populations; The University of Chicago Press: Chicago, IL, USA, 1978; Volume 4. [Google Scholar]
- Van De Peer, Y.; De Wachter, R. TREECON for Windows: A software package for the construction and drawing of evolutionary trees for the Microsoft Windows environment. Comput. Appl. Biosci. 1994, 10, 569–570. [Google Scholar] [CrossRef] [PubMed]
- Nei, M.; Li, W.H. Mathematical model for studying genetic variation in terms of restriction endonucleases. Proc. Natl. Acad. Sci. USA 1979, 76, 5269–5273. [Google Scholar] [CrossRef]
- Clarke, J.B.; Tobutt, K.R. A standard set of accessions, microsatellites and genotypes for harmonising the fingerprinting of cherry collections for the ECPGR. Acta Hort. 2009, 814, 615–618. [Google Scholar] [CrossRef]
- Krmpot, T.; Radoš, L.; Vokurka, A. Genetic characterisation of autochthonous sweet cherry genotypes (Prunus avium L.) using SSR markers. Genetika 2020, 52, 43–53. [Google Scholar] [CrossRef]
- Bassi, G.; Buscaroli, C.; Busconi, M.; Cristofori, V.; Dalla Ragione, I.; D’Hallewin, G.; De Pau, L.; Della Strada, G.; Engel, P.; Giacalone, G.; et al. Il Ciliegio. Atlante Dei Fruttiferi Autoct. Ital. 2016, II, 693–884. [Google Scholar]
Figure 1.
Tree canopy aspect and fruit characteristics of some Sardinian cherry varieties.
Figure 1.
Tree canopy aspect and fruit characteristics of some Sardinian cherry varieties.
Figure 2.
Yield per plant during the 2016 and 2017 seasons. Different letters indicate significant differences at ANOVA (LSD) for p ≤ 0.05.
Figure 2.
Yield per plant during the 2016 and 2017 seasons. Different letters indicate significant differences at ANOVA (LSD) for p ≤ 0.05.
Figure 3.
Titratable acidity in 2016 and 2017 seasons. Different letters indicate significant differences at ANOVA (LSD) for p ≤ 0.05.
Figure 3.
Titratable acidity in 2016 and 2017 seasons. Different letters indicate significant differences at ANOVA (LSD) for p ≤ 0.05.
Figure 4.
Total soluble solids in 2016 and 2017 seasons. Different letters indicate significant differences at ANOVA (LSD) for p ≤ 0.05.
Figure 4.
Total soluble solids in 2016 and 2017 seasons. Different letters indicate significant differences at ANOVA (LSD) for p ≤ 0.05.
Figure 5.
Total anthocyanin content in 2016 and 2017 seasons. Different letters indicate significant differences at ANOVA (LSD) for p ≤ 0.05.
Figure 5.
Total anthocyanin content in 2016 and 2017 seasons. Different letters indicate significant differences at ANOVA (LSD) for p ≤ 0.05.
Figure 6.
Total phenol content in 2016 and 2017 seasons. Different letters indicate significant differences at ANOVA (LSD) for p ≤ 0.05.
Figure 6.
Total phenol content in 2016 and 2017 seasons. Different letters indicate significant differences at ANOVA (LSD) for p ≤ 0.05.
Figure 7.
Peonidin-3-glucoside content in 2016 and 2017 seasons. Different letters indicate significant differences at ANOVA (LSD) for p ≤ 0.05.
Figure 7.
Peonidin-3-glucoside content in 2016 and 2017 seasons. Different letters indicate significant differences at ANOVA (LSD) for p ≤ 0.05.
Figure 8.
Malvidin-3-glucoside content in 2016 and 2017 seasons. Different letters indicate significant differences at ANOVA (LSD) for p ≤ 0.05.
Figure 8.
Malvidin-3-glucoside content in 2016 and 2017 seasons. Different letters indicate significant differences at ANOVA (LSD) for p ≤ 0.05.
Figure 9.
Cluster analysis dendrogram of the genetic distance among varieties based on the 8-SSR markers.
Figure 9.
Cluster analysis dendrogram of the genetic distance among varieties based on the 8-SSR markers.
Figure 10.
Principal coordinates analysis (PCoA) of varieties based on the genetic distances among the 15 single profiles and 6 reference cultivar profiles.
Figure 10.
Principal coordinates analysis (PCoA) of varieties based on the genetic distances among the 15 single profiles and 6 reference cultivar profiles.
Figure 11.
Spider chart of the sensory profile of Sardinian and national cherries. Values are the means of sensory attributes assessed with different replicates.
Figure 11.
Spider chart of the sensory profile of Sardinian and national cherries. Values are the means of sensory attributes assessed with different replicates.
Figure 12.
Principal component analysis performed on sensory and hedonic profile of the different fruits (liking + global quality).
Figure 12.
Principal component analysis performed on sensory and hedonic profile of the different fruits (liking + global quality).
Figure 13.
Means and standard deviations of the acceptability test. Different letters indicate significant differences among the samples.
Figure 13.
Means and standard deviations of the acceptability test. Different letters indicate significant differences among the samples.
Table 1.
Cultivated area and production in different Italian regions in 2021 (
http://dati.istat.it/ accessed on 5 November 2024).
Table 1.
Cultivated area and production in different Italian regions in 2021 (
http://dati.istat.it/ accessed on 5 November 2024).
| Geographical Breakdown | Region | Cultivated Area (ha) | Production (t) | Total Cultivated Area (ha) | Total Production (t) |
|---|
| North | Emilia Romagna | 1986 | 11,104 | 4995 | 25,973 |
| Veneto | 1971 | 9327 | | |
| Trentino alto Adige | 413 | 3575 | | |
| Piedmont | 391 | 1094 | | |
| Lombardy | 197 | 717 | | |
| Friuli Venetia Giulia | 27 | 101 | | |
| Liguria | 10 | 55 | | |
| Valle d’Aosta | - | - | | |
| Center | | | | | |
| | Latium | 857 | 2.678 | 1013 | 3143 |
| Tuscany | 136 | 381 | | |
| Umbria | 20 | 84 | | |
| Abruzzo | - | - | | |
| Marche | - | - | | |
| South | | | | | |
| | Apulia | 18.749 | 33.289 | 21,832 | 64,374 |
| Campania | 2.712 | 28.327 | | |
| Calabria | 297 | 2.307 | | |
| Basilicata | 66 | 375 | | |
| Molise | 8 | 76 | | |
| Islands | | | | | |
| Sicily | 625 | 2.043 | 887 | 3530 |
| Sardinia | 262 | 1.487 | | |
| | | | | | |
| Italy | | 28,727 | 97,020 | 28,727 | 97,020 |
| | | | | | |
Table 2.
Cultivars of cherry trees in Sardinia in the 1980s [
13].
Table 2.
Cultivars of cherry trees in Sardinia in the 1980s [
13].
| Cultivar | Location (Province) |
|---|
| Addosa | Belvì (NU) |
| Amarena | Aritzo (NU) |
| Barracocco bianco | Desulo (NU) |
| Barracocco de ispiritu | Desulo (NU) |
| Bianca di Aritzo | Aritzo (NU) |
| Bianca di Nuchis | Nuchis (SS) |
| Carrufale Bonnanaro | Bonnanaro (SS) |
| Carrufale di Nuchis | Nuchis (SS) |
| Comune | Sardegna |
| Confetto | Tempio (SS) |
| Confetto clone | - |
| Cordada Niedda | Belvì (NU) |
| Corittu | Vari comuni della Sardegna |
| Dinga | Desulo, Tempio (NU e SS) |
| Duroni | Aritzo (NU) |
| ‘E Spiritu | Villagrande Strisaili (NU) |
| Furistera | Bonacardo (OR) |
| Istiddi | Belvì (NU) |
| Maggiolina | Aritzo (NU) |
| Meurredda | Aritzo (NU) |
| Moddedda | Belvì (NU) |
| Nera | Tempio (SS) |
| Olpina | Aritzo e Desulo (NU) |
| Pisanisca | Desulo (NU) |
| Tenalgi Gulza | Aritzo (NU) |
| Usinesa | Usini (SS) |
Table 3.
Sensory attributes’ definitions and reference standards used for Sardinian and National cherries.
Table 3.
Sensory attributes’ definitions and reference standards used for Sardinian and National cherries.
| Attributes | Definition | Reference Standards |
|---|
| Skin color | Degree of color intensity from light to dark | 1-3-4-5-7-9 [15] |
| Tactile firmness | Mechanical attributes detected by stimulation of the tactile receptors | 2 = Banana 8 = ‘Datterino’ tomato |
| Global quality appearance | Overall appearance evaluation | 2 = low 8 = high |
| Firmness in the mouth | Mechanical attributes detected by stimulation of the receptors in the mouth | 2 = Banana 8 = ‘Datterino’ tomato |
| Juiciness | Sensation of amount of juice in the mouth | 2 = Cucumber 5 = Mushroom 8 = Orange |
| Sweetness | Primary taste produced by dilute aqueous solutions of natural substances such as sucrose | 3 = 4.2 g sucrose/100 mL water 8 = 8.4 g sucrose/100 mL water |
| Sourness | Gustatory complex sensation, generally due to the presence of organic acids | 2 = 0.08 g citric acid/100 mL water 8 = Granny Smith apple |
| Flavor intensity | Complex combination of the olfactory, gustatory, and trigeminal sensation perceived during tasting | 2 = low 8 = high |
| Global quality flavor | Overall flavor evaluation | 2 = low 8 = high |
Table 4.
Tree canopy architecture, size, vegetative growth, and branching characteristics.
Table 4.
Tree canopy architecture, size, vegetative growth, and branching characteristics.
| Variety | Habit | Size | Vigor | Branching Density | Suckering Aptitude |
|---|
| Di San Francesco | Semi-upright | Medium | Medium | Medium | Absent |
| Montesantu | Upright | Large | Strong | High | Absent |
| Conca Niedda 4 | Upright | Small | Very weak | Low | Absent |
| Conca Niedda 3 | Semi-upright | Medium | Weak | Low | Absent |
| Bianca di Bonnanaro | Semi-upright | Small | Weak | Low | Absent |
| Di Santa Maria | Semi-upright | Large | Strong | Medium | Absent |
| GF Petrarca 1 | Semi-upright | Medium | Medium | Medium | Absent |
| GF Petrarca 2 | Semi-upright | Medium | Medium | Medium | Absent |
| GF Tola | Semi-upright | Large | Medium | Low | Absent |
| SF Giagu | Semi-upright | Medium | Medium | Medium | Absent |
| Stacca di Bonnanaro | Semi-upright | Very Large | Very strong | High | Absent |
| Burcei | Semi-upright | Medium | Weak | Low | Absent |
| Cariasa di Bidda | Semi-upright | Medium | Weak | Medium | Absent |
| Spargola di Bonnanaro | Semi-upright | Medium | Medium | High | Absent |
| Efisio Piras 88 | Semi-upright | Medium | Medium | Medium | Absent |
| Alvera | Semi-upright | Medium | Medium | Medium | Absent |
| Ghisu | Semi-upright | Small | Weak | Low | Absent |
| Marracocca | Semi-upright | Small | Weak | Low | Absent |
| Di Osini | Semi-upright | Medium | Medium | Low | Absent |
| Carta Tueddu 1 | Spreading | Medium | Medium | High | Absent |
| Carta Tueddu 2 | Semi-upright | Medium | Medium | Medium | Absent |
| Barore Ghisu | Semi-upright | Medium | Medium | Low | Absent |
| Antica di Bonnanaro | Semi-upright | Medium | Weak | Low | Absent |
| Bianca di Nuchis | Semi-upright | Medium | Weak | Low | Absent |
| Ghisu Ruia | Semi-upright | Medium | Medium | Medium | Absent |
| Carriadogia | Spreading | Medium | Medium | Medium | Absent |
| Nera di Tempio | Semi-upright | Medium | Strong | Medium | Absent |
Table 5.
Leaf morphological characteristics.
Table 5.
Leaf morphological characteristics.
| Variety | Shape | Maximum Width Position | Apical Angle | Basal Angle | Leaf Blade Glossiness | Green Intensity of the Upper Leaf Blade |
|---|
| Di San Francesco | medium elliptic | central | narrow | wide | medium | dark |
| Montesantu | broad elliptic | central-apical | narrow | medium | medium | dark |
| Conca Niedda 4 | broad elliptic | central-apical | narrow | wide | medium | dark |
| Conca Niedda 3 | medium elliptic | central | narrow | medium | medium | dark |
| Bianca di Bonnanaro | broad elliptic | central-apical | narrow | medium | medium | dark |
| Ciliegia di Santa Maria | broad elliptic | central-apical | narrow | wide | medium | medium |
| GF Petrarca 1 | medium elliptic | central | narrow | wide | medium | medium |
| GF Petrarca 2 | medium elliptic | central | narrow | wide | low | light |
| GF Tola | medium elliptic | central-apical | narrow | wide | low | medium |
| SF Giagu | medium elliptic | central | narrow | wide | low | light |
| Stacca di Bonnanaro | broad elliptic | central-apical | narrow | wide | low | Medium |
| Burcei | medium elliptic | central | narrow | wide | medium | medium |
| Cariasa di Bidda | broad elliptic | central | narrow | medium | medium | dark |
| Spargola di Bonnanaro | medium elliptic | central | narrow | medium | medium | medium |
| Efisio Piras 88 | broad elliptic | central-apical | narrow | medium | medium | dark |
| Alvera | broad elliptic | central-apical | narrow | wide | low | dark |
| Ghisu | broad elliptic | central-apical | narrow | wide | medium | dark |
| Marracocca | broad elliptic | central | narrow | wide | medium | medium |
| Ciliegia di Osini | broad elliptic | central | narrow | wide | medium | dark |
| Carta Tueddu 1 | medium elliptic | central | narrow | medium | high | dark |
| Carta Tueddu 2 | medium elliptic | central | narrow | medium | high | dark |
| Barore Ghisu | medium elliptic | central | narrow | wide | medium | dark |
| Antica di Bonnanaro | broad elliptic | central-apical | narrow | wide | high | dark |
| Bianca di Nuchis | broad elliptic | central | narrow | wide | medium | dark |
| Ghisu Ruia | medium elliptic | central | narrow | medium | low | medium |
| Carriadogia | broad elliptic | central-apical | narrow | medium | high | dark |
| Nera di Tempio | broad elliptic | central-apical | narrow | wide | high | dark |
Table 6.
Leaf margin, petiole, and stipules.
Table 6.
Leaf margin, petiole, and stipules.
| Variety | Leaf Blade Margin | Petiole Anthocyanin Staining | Stipule Size | Stipule Shape | Stipule Position |
|---|
| Di San Francesco | serrated | high | medium | triangular with laciniated lobes | appressed to the branch |
| Montesantu | serrated | low | small | triangular with laciniated lobes | between petiole and branch |
| Conca Niedda 4 | serrated | low | small | triangular with irregular margin | appressed to the branch |
| Conca Niedda 3 | serrated | low | media | triangular with laciniated lobes | between petiole and branch |
| Bianca di Bonnanaro | serrated | low | small | triangular with irregular margin | between petiole and branch |
| Di Santa Maria | serrated | medium | medium | triangular with laciniated lobes | appressed to the branch |
| GF Petrarca 1 | serrated | medium | small | triangular with laciniated lobes | between petiole and branch |
| GF Petrarca 2 | serrated | medium | small | triangular with irregular margin | between petiole and branch |
| GF Tola | serrated | medium | medium | triangular with laciniated lobes | between petiole and branch |
| SF Giagu | serrated | medium | medium | triangular with irregular margin | between petiole and branch |
| Stacca di Bonnanaro | serrated | medium | medium | triangular with laciniated lobes | appressed to the branch |
| Burcei | serrated | medium | small | triangular with laciniated lobes | appressed to the branch |
| Cariasa di Bidda | serrated | medium | small | triangular with laciniated lobes | appressed to the branch |
| Spargola di Bonnanaro | serrated | medium | small | triangular with laciniated lobes | between petiole and branch |
| Efisio Piras 88 | serrated | medium | small | triangular with laciniated lobes | appressed to the branch |
| Alvera | serrated | medium | medium | triangular with laciniated lobes | between petiole and branch |
| Ghisu | serrated | high | small | triangular with irregular margin | between petiole and branch |
| Marracocca | serrated | medium | small | triangular with irregular margin | between petiole and branch |
| Di Osini | serrated | medium | medium | triangular with laciniated lobes | appressed to the branch |
| Carta Tueddu 1 | serrated | medium | large | triangular with laciniated lobes | appressed to the branch |
| Carta Tueddu 2 | serrated | medium | medium | triangular with laciniated lobes | appressed to the branch |
| Barore Ghisu | serrated | high | medium | triangular with irregular margin | between petiole and branch |
| Antica di Bonnanaro | serrated | high | medium | triangular with laciniated lobes | between petiole and branch |
| Bianca di Nuchis | serrated | medium | medium | triangular with laciniated lobes | appressed to the branch |
| Ghisu Ruia | serrated | medium | medium | triangular with irregular margin | between petiole and branch |
| Carriadogia | serrated | medium | small | triangular with irregular margin | appressed to the branch |
| Nera di Tempio | serrated | high | medium | triangular with laciniated lobes | appressed to the branch |
Table 7.
Flower morphological characteristics.
Table 7.
Flower morphological characteristics.
| Variety | Flower Diameter | Corolla Width | Shape of Petals | Arrangement of Petals | Petal Margin |
|---|
| Di San Francesco | small | tight | medium obovate | intermediate | engraved |
| Montesantu | small | medium | circular | overlapping | entire |
| Conca Niedda 4 | small | medium | circular | overlapping | entire |
| Conca Niedda 3 | small | medium | circular | overlapping | entire |
| Bianca di Bonnanaro | small | medium | circular | overlapping | entire |
| Succhitta di Bonnanaro | small | medium | circular | intermediate | entire |
| Di Santa Maria | small | medium | circular | overlapping | entire |
| GF Petrarca 1 | small | medium | circular | overlapping | entire |
| GF Petrarca 2 | small | medium | circular | overlapping | entire |
| GF Tola | small | medium | circular | overlapping | entire |
| SF Giagu | small | medium | medium obovate | overlapping | entire |
| Stacca di Bonnanaro | small | medium | circular | overlapping | entire |
| Burcei | small | medium | circular | overlapping | entire |
| Cariasa di Bidda | small | medium | medium obovate | intermediate | entire |
| Spargola di Bonnanaro | small | medium | circular | overlapping | entire |
| Efisio Piras 88 | small | medium | circular | overlapping | entire |
| Alvera | small | medium | circular | overlapping | entire |
| Ghisu | small | medium | circular | overlapping | entire |
| Marracocca | small | medium | medium obovate | free | entire |
| Di Osini | small | medium | medium obovate | intermediate | entire |
| Carta Tueddu 1 | small | medium | medium obovate | free | entire |
| Carta Tueddu 2 | small | medium | medium obovate | free | entire |
| Barore Ghisu | small | medium | circular | intermediate | entire |
| Antica di Bonnanaro | small | medium | medium obovate | intermediate | entire |
| Bianca di Nuchis | small | medium | circular | intermediate | entire |
| Ghisu Ruia | small | medium | circular | overlapping | entire |
| Carriadogia | small | medium | medium obovate | free | entire |
| Nera di Tempio | small | medium | medium obovate | free | entire |
Table 8.
Fruit morphological characteristics. Different letters indicate significant differences at ANOVA (LSD) for p ≤ 0.05.
Table 8.
Fruit morphological characteristics. Different letters indicate significant differences at ANOVA (LSD) for p ≤ 0.05.
| Variety | Skin Color | Flesh Color | Fruit Weight (g) | Fruit Width (cm) | Fruit Height (cm) | Fruit Shape |
|---|
| Di San Francesco | red–yellow | cream | 3.49 f | 1.8 c | 1.95 ab | ovoid |
| Montesantu | red–yellow | cream | 6.38 b | 2.5 a | 2.1 a | spherical |
| Conca Niedda 4 | red | cream | 4.1 e | 2.0 b | 1.9 ab | spherical |
| Conca Niedda 3 | light red | cream | 5.08 d | 2.25 ab | 2.0 a | spherical |
| Bianca di Bonnanaro | yellow | yellow | 5.27 cd | 2.15 ab | 1.95 ab | spherical |
| Di Santa Maria | light red | cream | 5.02 d | 2.2 ab | 2.0 a | spherical |
| GF Petrarca 1 | red–yellow | cream | 4.28 e | 2.0 b | 1.8 b | spherical |
| GF Petrarca 2 | red–yellow | cream | 4.55 e | 2.05 b | 1.9 ab | spherical |
| GF Tola | red–yellow | cream | 5.04 d | 2.25 ab | 1.95 ab | spherical |
| SF Giagu | red–yellow | cream | 5.75 c | 2.4 ab | 2.0 a | spherical |
| Stacca di Bonnanaro | red | cream | 5.26 cd | 2.2 ab | 1.9 ab | spherical |
| Burcei | light red | cream | 5.3 d | 2.3 ab | 1.95 ab | spherical |
| Cariasa di Bidda | red–yellow | cream | 3.84 f | 1.7 d | 1.6 c | spherical |
| Spargola di Bonnanaro | red–yellow | cream | 4.18 e | 1.95 c | 1.75 b | spherical |
| Efisio Piras 88 | red–yellow | cream | 4.87 de | 2.1 b | 1.9 ab | spherical |
| Alvera | red–yellow | cream | 5.98 c | 2.4 a | 2.1 a | spherical |
| Ghisu | red | dark red | 3.21 f | 1.7 d | 1.8 b | ovoid |
| Marracocca | red–yellow | cream | 5.74 c | 2.2 ab | 2.1 a | spherical |
| Di Osini | dark red | dark red | 6.1 b | 2.35 ab | 2.1 a | spherical |
| Carta Tueddu 1 | light red | cream | 4.16 e | 1.95 c | 1.85 ab | spherical |
| Carta Tueddu 2 | red–yellow | cream | 4.03 e | 1.8 c | 1.9 ab | spherical |
| Barore Ghisu | red–yellow | cream | 5.01 d | 2.2 ab | 1.9 ab | spherical |
| Antica di Bonnanaro | dark red | dark red | 3.05 f | 1.65 d | 1.8 b | ovoid |
| Bianca di Nuchis | red–yellow | cream | 8.26 a | 2.6 a | 2.3 d | spherical |
| Ghisu Ruia | light red | cream | 5.19 cd | 2.2 ab | 1.9 ab | spherical |
| Carriadogia | red–yellow | cream | 4.08 e | 2.0 b | 1.9 ab | spherical |
| Nera di Tempio | red | pink | 3.35 f | 1.8 c | 1.9 ab | cordate |
Table 9.
Additional fruit characteristics.
Table 9.
Additional fruit characteristics.
| Variety | Ripening Period | Fruit Consistency | Detachment of the Flesh from the Stone |
|---|
| Di San Francesco | early | soft | easy |
| Montesantu | early | soft | easy |
| Conca Niedda 4 | early | intermediate | easy |
| Conca Niedda 3 | early | soft | easy |
| Bianca di Bonnanaro | intermediate | soft | medium |
| Di Santa Maria | early | soft | easy |
| GF Petrarca 1 | early | soft | easy |
| GF Petrarca 2 | early | soft | easy |
| GF Tola | intermediate | intermediate | easy |
| SF Giagu | early | very soft | easy |
| Stacca di Bonnanaro | intermediate | soft | easy |
| Burcei | early | intermediate | easy |
| Cariasa di Bidda | early | very soft | easy |
| Spargola di Bonnanaro | early | Intermediate | easy |
| Efisio Piras 88 | early | intermediate | easy |
| Alvera | early | soft | easy |
| Ghisu | intermediate | intermediate | medium |
| Marracocca | intermediate | intermediate | medium |
| Di Osini | intermediate | intermediate | medium |
| Carta Tueddu 1 | early | very soft | easy |
| Carta Tueddu 2 | early | very soft | easy |
| Barore Ghisu | early | intermediate | medium |
| Antica di Bonnanaro | early | soft | medium |
| Bianca di Nuchis | intermediate | firm | medium |
| Ghisu Ruia | early | soft | easy |
| Carriadogia | early | soft | easy |
| Nera di Tempio | early | soft | medium |
Table 10.
Characteristics of cherry stones. Different letters indicate significant differences at ANOVA (LSD) for p ≤ 0.05.
Table 10.
Characteristics of cherry stones. Different letters indicate significant differences at ANOVA (LSD) for p ≤ 0.05.
| Variety | Weight of 10 Stones (g) | Stone Size | Stone Shape | Stone Tip Shape |
|---|
| Di San Francesco | 3.7 ab | medium | medium elliptic | straight |
| Montesantu | 4.0 a | medium | broad elliptic | straight |
| Conca Niedda 4 | 3.6 ab | medium | broad elliptic | straight |
| Conca Niedda 3 | 3.7 ab | medium | broad elliptic | straight |
| Bianca di Bonnanaro | 3.5 b | medium | medium elliptic | straight |
| Di Santa Maria | 3.8 ab | medium | broad elliptic | straight |
| GF Petrarca 1 | 3.2 b | small | broad elliptic | straight |
| GF Petrarca 2 | 3.5 b | medium | broad elliptic | straight |
| GF Tola | 3.2 b | small | broad elliptic | straight |
| SF Giagu | 3.8 ab | medium | broad elliptic | straight |
| Stacca di Bonnanaro | 3.3 b | small | circular | absent |
| Burcei | 3.2 b | small | broad elliptic | straight |
| Cariasa di Bidda | 3.0 c | small | medium elliptic | straight |
| Spargola di Bonnanaro | 3.0 c | small | broad elliptic | straight |
| Efisio Piras 88 | 4.0 a | medium | circular | absent |
| Alvera | 3.7 ab | medium | circular | absent |
| Ghisu | 4.1 a | medium | broad elliptic | straight |
| Marracocca | 3.4 b | medium | medium elliptic | straight |
| Di Osini | 3.1 c | small | medium elliptic | straight |
| Carta Tueddu 1 | 2.9 c | small | broad elliptic | straight |
| Carta Tueddu 2 | 2.9 c | small | broad elliptic | straight |
| Barore Ghisu | 3.4 b | medium | broad elliptic | straight |
| Antica di Bonnanaro | 2.6 d | small | medium elliptic | straight |
| Bianca di Nuchis | 3.1 c | small | medium elliptic | straight |
| Ghisu Ruia | 4.0 a | medium | broad elliptic | straight |
| Carriadogia | 2.5 d | small | broad elliptic | straight |
| Nera di Tempio | 3.3 b | small | medium elliptic | straight |
Table 11.
Groups of local varieties with the same 8-SSR profiles.
Table 11.
Groups of local varieties with the same 8-SSR profiles.
| Group 1 | Group 2 | Group 3 |
|---|
| 1 | Cariasa di Bidda | 1 | Alvera | 1 | Spargola di Bonnanaro |
| 2 | Carriadogia | 2 | Ciliegia di Santa Maria | 2 | Stacca di Bonnanaro |
| | | 3 | Conca Niedda 3 | | |
| | | 4 | Conca Niedda 4 | | |
| | | 5 | Efisio Piras 88 | | |
| | | 6 | GF Petrarca 1 | | |
| | | 7 | GF Petrarca 2 | | |
| | | 8 | GF Tola | | |
| | | 9 | Ghisu Ruia | | |
| | | 10 | Montesantu | | |
Table 12.
Molecular analysis results.
Table 12.
Molecular analysis results.
| SSR Locus | Range of Fragment Size | Na | Ho | He | FIS | HW eq. | p |
|---|
| UDP96005 | 97–197 | 9 | 0.733 | 0.673 | −0.089 | 0.0037 | <0.01 |
| UDP98409 | 119–137 | 4 | 0.800 | 0.613 | −0.304 | 0.4586 | ns |
| UDP98412 | 112–130 | 6 | 0.867 | 0.716 | −0.211 | 0.7682 | ns |
| BPPCT04 | 179–197 | 4 | 0.733 | 0.691 | −0.061 | 0.0032 | <0.01 |
| BPPCT05 | 138–196 | 6 | 0.933 | 0.804 | −0.160 | 0.2535 | ns |
| BPPCT14 | 187–191 | 2 | 0.067 | 0.064 | −0.034 | 0.8938 | ns |
| BPPCT39 | 130–160 | 8 | 0.800 | 0.789 | −0.014 | 0.2432 | ns |
| BPPCT40 | 120–143 | 6 | 0.733 | 0.662 | −0.107 | 0.7854 | ns |
| | Mean | 5.63 | 0.71 | 0.627 | −0.123 | | |
| | SD | 2.26 | 0.27 | 0.24 | | | |
Table 13.
Means and standard deviations of sensory attributes of Sardinian and national cherry varieties.
Table 13.
Means and standard deviations of sensory attributes of Sardinian and national cherry varieties.
| Attributes (Significance) | Cherry Variety |
|---|
| Stacca di Bonnanaro | GF Petrarca 1 | Lapins | Montesantu | Santa Maria | Stella |
|---|
| Skin color (***) | 6.31 ± 0.75 bc | 6.44 ± 0.8 bc | 7.76 ± 0.81 a | 6.22 ± 0.95 c | 6.68 ± 1.11 b | 8.1 ± 0.85 a |
| Tactile firmness (***) | 5.41 ± 1.17 b | 5.6 ± 1.71 b | 7.84 ± 0.76 a | 5.6 ± 1.7 b | 5.9 ± 1.29 b | 7.59 ± 0.83 a |
| Global quality appearance (***) | 6.84 ± 1.25 c | 7.94 ± 0.92 b | 8.09 ± 1.11 ab | 7.62 ± 1.31 b | 7.63 ± 1.01 b | 8.45 ± 1.21 a |
| Firmness in the mouth (***) | 4.93 ± 0.95 b | 4.52 ± 2.19 b | 7.79 ± 0.65 a | 5.06 ± 1.85 b | 5.01 ± 2.01 b | 7.83 ± 0.51 a |
| Juiciness | 6.97 ± 0.95 | 6.46 ± 1.34 | 6.51 ± 0.99 | 6.57 ± 1.11 | 6.38 ± 1.49 | 6.75 ± 0.89 |
| Sweetness | 6.17 ± 1.09 | 5.98 ± 1.25 | 5.79 ± 1.07 | 5.87 ± 1.37 | 6.3 ± 1.1 | 6.17 ± 1.23 |
| Sourness (***) | 6.06 ± 1.27 b | 6.11 ± 1.31 b | 4.6 ± 1.16 d | 6.93 ± 1.11 a | 5.6 ± 1.49 bc | 5 ± 1.23 cd |
| Flavor intensity (*) | 6.76 ± 1.49 ab | 6.17 ± 1.87 bc | 6.62 ± 1.39 b | 6.24 ± 1.52 bc | 5.7 ± 1.67 c | 7.35 ± 1.29 a |
| Global quality flavor (*) | 6.89 ± 1.56 b | 6.79 ± 1.82 b | 7.1 ± 1.73 ab | 6.94 ± 1.62 b | 6.77 ± 1.54 b | 7.8 ± 1.44 a |
| Disclaimer/Publisher’s Note: The statements, opinions and data contained in all publications are solely those of the individual author(s) and contributor(s) and not of MDPI and/or the editor(s). MDPI and/or the editor(s) disclaim responsibility for any injury to people or property resulting from any ideas, methods, instructions or products referred to in the content. |
© 2024 by the authors. Licensee MDPI, Basel, Switzerland. This article is an open access article distributed under the terms and conditions of the Creative Commons Attribution (CC BY) license (https://creativecommons.org/licenses/by/4.0/).