Dominant Species Composition, Environmental Characteristics and Dynamics of Forests with Picea jezoensis Trees in Northeast China
Abstract
1. Introduction
2. Materials and Methods
2.1. Study Area and Data Collection
2.2. Data Analysis
2.2.1. Species Composition of Different Forests Containing P. jezoensis Trees
2.2.2. Environmental Characteristics of Different Forests Containing P. jezoensis Trees
2.2.3. Changes to the Dominance Status of P. jezoensis
3. Results
3.1. Dominant Species Composition of the P. jezoensis Community
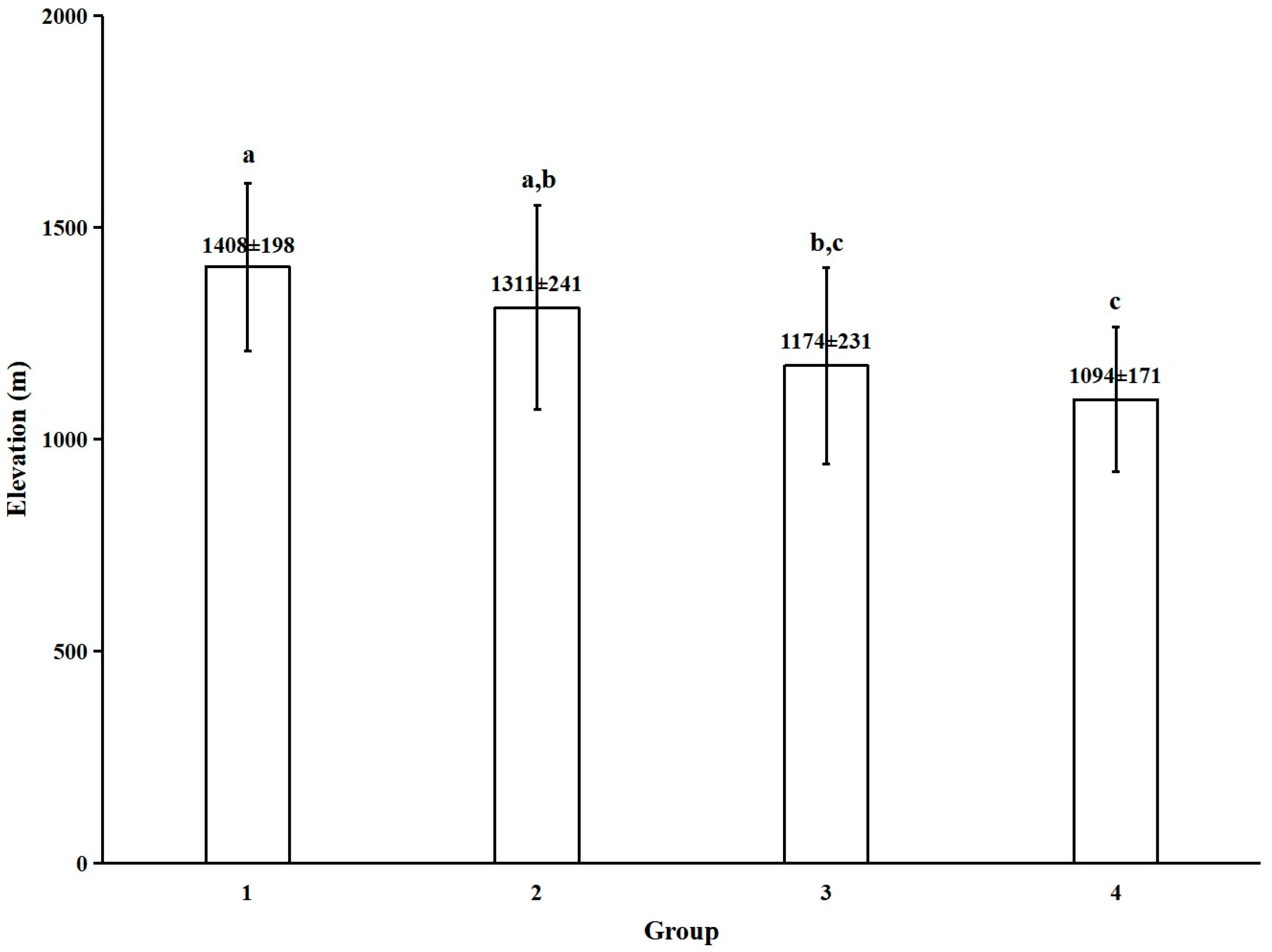
3.2. Distribution of P. jezoensis Community Across Elevation
3.3. Dominance States and Changes of P. jezoensis in the Forest Community
4. Discussion
4.1. P. jezoensis Community and Environmental Characteristics
4.2. P. jezoensis Community Stability and State Change
4.3. Limitations and Implications
5. Conclusions
Supplementary Materials
Author Contributions
Funding
Institutional Review Board Statement
Data Availability Statement
Conflicts of Interest
References
- Shang, Y. General Ecology, 3rd ed.; Peking University Press: Beijing, China, 2010; pp. 338–362. [Google Scholar]
- Li, J.; Niu, S.; Liu, Y. Forest Ecology, 3rd ed.; Higher Education Press: Beijing, China, 2017; pp. 17–32, 95–118, 208–254, 312–351. [Google Scholar]
- Niu, C.; Lou, A.; Sun, R.; Li, Q. Foundations in Ecology, 4th ed.; Higher Education Press: Beijing, China, 2023; pp. 72–100, 160–201. [Google Scholar]
- He, J.N.; Ning, C.W.; Zhang, W.T.; ÜmÜt, H.; Shen, Z.H. Altitudinal patterns of population structure dynamics of Picea schrenkiana in the northern slope of the eastern Tianshan Mountains. Acta Ecol. Sin. 2024, 44, 5389–5398. [Google Scholar]
- Li, J.Y.; Chen, X.X.; Li, M.W.; Zhang, N.N.; Zhou, Z.Q.; Li, X.M.; Ding, J.L.; He, Q.H.; Shi, F.S. Community composition and structure under different restoration pathways in subalpine forest, Sichuan Province, China. Acta Ecol. Sin. 2024, 44, 3471–3482. [Google Scholar]
- Niu, Y.D.; Cai, T.J. Changes in species diversity and influencing factors in secondary forest succession in northern Da Hinggan Mountains. Chin. J. Plant Ecol. 2024, 48, 349–363. [Google Scholar]
- Tian, Z.; Wang, Y.; Duan, W.; Wang, Z.; Yang, W.; Chen, L. Study on spatial structure characteristics of broadleaved Pinus koraiensis forest at different succession stages in the Xiaoxing’an Mountains. J. Southwest For. Univ. (Nat. Sci.) 2024, 44, 130–137. [Google Scholar]
- Sun, Z.; Zhou, D. Ecology Research Methods; Science Press: Beijing, China, 2010; pp. 120–131. [Google Scholar]
- Li, J.; Li, X.Y.; Cao, J.; Tan, L.Z.; Zhao, X.H. Community structure and dynamics of secondary coniferous and broad-leaved mixed forest in Changbai Mountains. Acta Ecol. Sin. 2020, 40, 1195–1206. [Google Scholar]
- Zhang, W.W.; Yin, D.H.; Lei, Y.T.; Han, X.T.; Peng, J.Y.; Zhao, Z. Structural dynamics and succession simulation of the dominant populations in three types of Quercus acutissima community in the southern Loess Plateau. Acta Ecol. Sin. 2024, 44, 2572–2581. [Google Scholar]
- Ouyang, Z.Y.; Li, Z.X.; Liu, J.G.; An, L.; Zhang, H.M.; Tan, Y.C.; Zhou, S.Q. The recovery processes of giant panda habitat in Wolong Nature Reserve, Sichuan, China. Acta Ecol. Sin. 2002, 22, 1840–1849. [Google Scholar]
- Kang, D.; Lv, J.; Li, S.; Chen, X.; Wang, X.; Li, J. Community change characteristics of Abies faxoniana: A case study in the Wanglang Nature Reserve. Ecol. Indic. 2019, 107, 105594. [Google Scholar] [CrossRef]
- Lu, J.Y.; Zhang, C.Y.; Zhao, X.H. Relationship between forest strata structure and topography of confierous and broad-leaved mixed forest in Jiaohe City, Jilin Province. Acta Ecol. Sin. 2021, 41, 6613–6620. [Google Scholar]
- Tong, Y.W.; Qu, L.L.; Fu, Q.X.; Chen, Y.B.; Xiang, X.Y.; Zhu, W.D.; Qi, G.; Dai, L.M. Species diversity of forest plant communities on the southern slope of the Dabie Mountains and its relationship with altitude factors. Acta Ecol. Sin. 2024, 44, 5307–5317. [Google Scholar]
- Jia, Z.; Ge, S.; Li, Y.; Kang, D.; Li, J. Relationship between tree richness and temporary stability of plant communities: A case study of a forest in Northeast China. Forests 2021, 12, 1756. [Google Scholar] [CrossRef]
- Kang, D.; Li, J. Temporary stability characteristics and influencing factors of Abies faxoniana-dominated communities in the Wanglang Nature Reserve. Forests 2022, 13, 1186. [Google Scholar] [CrossRef]
- Liu, Q.; Yin, H.J.; Wu, Y. A study on the structure of Picea asperata comunity of Miyaluo subalpine in Western Sichuan, China. J. Mt. Sci. 2003, 21, 695–701. [Google Scholar]
- Yang, X.; Li, J.; Fan, N.; Wang, Y.; Zhang, Z. Effects of gap size on natural regeneration in Picea asperata forests of Northern China. Forests 2023, 14, 2102. [Google Scholar] [CrossRef]
- Zhao, Z.; Kang, D.; Guo, W.; Zhao, L.; Cui, L.; Li, J. Climate sensitivity of purple cone spruce (Picea purpurea) across an altitudinal gradient on the eastern Tibetan Plateau. Dendrochronologia 2019, 56, 125586. [Google Scholar] [CrossRef]
- Zhao, Y.; Cao, J.; Li, B.; Qi, R.; Liu, T.; Chen, X.; Gao, B.; Zhao, Y.; Liu, J.; Cao, X. Niche of woody plant populations of Picea purpurea community in Dayugou forest area, Taohe Nature Reserve, Gansu Province. Acta Ecol. Sin. 2022, 42, 1865–1875. [Google Scholar]
- He, Z.; Zhao, W.; Liu, H.; Zhang, Z. Successional process of Picea crassifolia forest after logging disturbance in semiarid mountains: A case study in the Qilian Mountains, northwestern China. For. Ecol. Manag. 2010, 260, 396–402. [Google Scholar] [CrossRef]
- Zhao, W.J.; Liu, X.D.; Jing, W.M.; Xu, L.H.; Niu, Y.; Qi, P.; Zhao, Y.H. Spatial heterogeneity of community structure of Picea crassifolia forest in Qilian Mountains, China. Chin. J. Appl. Ecol. 2015, 26, 2591–2599. [Google Scholar]
- Aizawa, M.; Yoshimaru, H.; Saito, H.; Katsuki, T.; Kawahara, T.; Kitamura, K.; Shi, F.; Sabirov, R.; Kaji, M. Range-wide genetic structure in a north-east Asian spruce (Picea jezoensis) determined using nuclear microsatellite markers. J. Biogeogr. 2009, 36, 996–1007. [Google Scholar] [CrossRef]
- Thomas, P.; Zhang, D.; Katsuki, T.; Rushforth, K. Picea jezoensis. The IUCN Red List of Threatened Species 2013: e.T42325A2972665. Available online: https://www.iucnredlist.org/species/42325/2972665 (accessed on 16 May 2024).
- Nakagawa, M.; Kurahashi, A.; Hogetsu, T. The regeneration characteristics of Picea jezoensis and Abies sachalinensis on cut stumps in the sub-boreal forests of Hokkaido Tokyo University Forest. For. Ecol. Manag. 2003, 180, 353–359. [Google Scholar] [CrossRef]
- Iijima, H.; Shibuya, M. Evaluation of suitable conditions for natural regeneration of Picea jezoensis on fallen logs. J. For. Res. 2010, 15, 46–54. [Google Scholar] [CrossRef]
- Yano, K.; Shibuya, M. Site preference and occurrence patterns of Picea jezoensis and Abies sachalinensis on decayed logs in natural coniferous forests in Hokkaido, northern Japan. J. For. Res. 2010, 15, 108–114. [Google Scholar] [CrossRef]
- Han, A.R.; Kim, H.J.; Jung, J.B.; Park, P.S. Seed germination and initial seedling survival of the subalpine tree species, Picea jezoensis, on different forest floor substrates under elevated temperature. For. Ecol. Manag. 2018, 429, 579–588. [Google Scholar] [CrossRef]
- Han, A.R.; Lee, S.K.; Suh, G.U.; Park, Y.; Park, P.S. Wind and topography influence the crown growth of Picea jezoensis in a subalpine forest on Mt. Deogyu, Korea. Agric. For. Meteorol. 2012, 166–167, 207–214. [Google Scholar] [CrossRef]
- Jang, W.; Keyes, C.R.; Running, S.W.; Lim, J.H.; Park, P.S. Climate growth relationships of relict Picea jezoensis at Mt. Gyebang, South Korea. For. Sci. Technol. 2015, 11, 19–26. [Google Scholar]
- Ukhvatkina, O.; Omelko, A.; Zhmerenetsky, A. Local topography has significant impact on dendroclimatic response of Picea jezoensis and determines variation of factors limiting its radial growth in the Southern Sikhote-Alin. Forests 2023, 14, 2050. [Google Scholar] [CrossRef]
- Ukhvatkina, O.N.; Omelko, A.M.; Zhmerenetsky, A.A. Changes in the dendroclimatic response of the Picea jezoensis (Siebold & Zucc.) Carriere along altitudinal gradient in the southern Sikhote-Alin. Contemp. Probl. Ecol. 2023, 16, 745–757. [Google Scholar]
- Jang, W.; Park, P.S. Stand structure and maintenance of Picea jezoensis in a northern temperate forest, South Korea. J. Plant Biol. 2010, 53, 180–189. [Google Scholar] [CrossRef]
- Park, B.J.; Byeon, J.G.; Heo, T.I.; Cheon, K.; Yang, J.C.; Oh, S.H. Comparison of species composition among Picea jezoensis (Siebold & Zucc.) carrière forests in Northeast Asia (from China to South Korea). J. Asia-Pac. Biodivers. 2023, 16, 272e281. [Google Scholar]
- Park, C.; Byeon, J.; Park, J.; Lee, S.; Park, B.; Kim, J.; Woo, H. Impact of climate change on species distribution of Picea jezoensis Carrière in Baekdudaegan using ensemble modeling. Sens. Mater. 2022, 34, 4629–4637. [Google Scholar] [CrossRef]
- Yu, D.; Wang, Q.; Wang, G.G.; Dai, L. Dendroclimatic response of Picea jezoensis along an altitudinal gradient in Changbai Mountains. Sci. China Ser. E Technol. Sci. 2006, 49, 150–159. [Google Scholar] [CrossRef]
- Li, G.Q.; Bai, F.; Sang, W.G. Different responses of radial growth to climate warming in Pinus koraiensis and Picea jezoensis var. komarovii at their upper elevational limits in Changbai Mountain, China. Chin. J. Plant Ecol. 2011, 35, 500–511. [Google Scholar]
- Wang, S.L.; Zhao, Y.; Gai, X.R.; Wang, X.Y.; Yu, D.P.; Zhou, W.M.; Zhou, L.; Dai, L.M. Response of radial growth of Picea jezoensis var. komarovii to climate factors along an altitudinal gradient on Changbai Mountain, Northeast China. Chin. J. Ecol. 2017, 36, 3131–3137. [Google Scholar]
- Yu, J.; Liu, Q.J.; Zhou, G.; Meng, S.W.; Zhou, H.; Xu, Z.Z.; Shi, J.N.; Du, W.X. Response of radial growth of Pinus koraiensis and Picea jezoensis to climate change in Xiaoxing’anling Mountains, Northeast China. Chin. J. Appl. Ecol. 2017, 28, 3451–3460. [Google Scholar]
- Zhu, L.; Cooper, D.J.; Yang, J.; Zhang, X.; Wang, X. Rapid warming induces the contrasting growth of Yezo spruce (Picea jezoensis var. microsperma) at two elevation gradient sites of northeast China. Dendrochronologia 2018, 50, 52–63. [Google Scholar]
- Gong, X.; Xie, R.; Yang, H. Response of radial growth of three common tree species to climate change in a spruce-fir mixed stand in Changbai Mountain of northeastern China. J. Beijing For. Univ. 2023, 45, 1–10. [Google Scholar]
- Chen, L. Preliminary study on the structure of Picea jezoensis forest on the southwest slope of Changbai Mountain. Ser. Plant Ecol. Geobot. 1963, 1, 69–80. [Google Scholar]
- Shao, B.; Deng, K.M. The composition and important value of plant species in subalpine spruce-fir forest on the northern slope of Changbai Mts. J. Nat. Resour. 2000, 15, 66–73. [Google Scholar]
- Jiang, P.; Zhao, G.; Ye, J.; Cui, G.; Deng, H. Structure of forest communities on the northern slope of Changbai Mountain and its variation along elevation gradients. Chin. J. Ecol. 2003, 22, 28–32. [Google Scholar]
- Lei, X.; Lu, Y.; Peng, C.; Zhang, X.; Chang, J.; Hong, L. Growth and structure development of semi-natural larch-spruce-fir (Larix olgensis–Picea jezoensis–Abies nephrolepis) forests in northeast China: 12-year results after thinning. For. Ecol. Manag. 2007, 240, 165–177. [Google Scholar] [CrossRef]
- Chen, K.Y.; Zhang, H.R.; Zhang, B.; He, Y.J. Population structure and dynamic characteristics of typical constructive species in natural secondary forest on the northern slope of Changbai Mountain. Acta Ecol. Sin. 2021, 41, 5142–5152. [Google Scholar]
- Deng, K.M.; Shao, B.; Li, F. Analysis for diameter height structures and growth of Spruce-fir forest on northern slope of Changbai Mountains. Resour. Sci. 1999, 21, 77–84. [Google Scholar]
- Yu, Z.L.; Yu, G.R.; Wang, Q.F.; Zhao, S.D.; Yan, X.D. Canopy gap characteristics and their influences on the regeneration of broad-leaved Pinus Koriensis forests in Changbai Mountain. Resour. Sci. 2001, 23, 64–68. [Google Scholar]
- Qin, X. Growth response of main tree species to climate change and disturbance in an ecotone on Changbai Mountains. J. Northeast. For. Univ. 2015, 43, 42–45. [Google Scholar]
- He, D.N.; Yang, H.; Wen, J.; Xie, R. Density and spatial distribution of seedlings and saplings in different gap sizes of a spruce-fir mixed stand in Changbai Mountains, China. Chin. J. Appl. Ecol. 2020, 31, 1916–1922. [Google Scholar]
- Bu, R.C.; Chang, Y.; Hu, Y.M.; Li, X.Z.; He, H.S. Sensitivity of coniferous trees to environmental factors at different scales in the Small Xing’an Mountains, China. J. Plant Ecol. 2008, 32, 80–87. [Google Scholar]
- Liu, Q.; Bi, L.; Song, G.; Wang, Q.; Jin, G. Species-habitat associations in an old-growth temperate forest in northeastern China. BMC Ecol. 2018, 18, 20. [Google Scholar] [CrossRef] [PubMed]
- Zhang, P.Y.; Liang, Y.; Ma, T.X.; Liu, B.; Wu, M.M. The migration of main tree species lags behind climate change in Changbai Mountains. Chin. J. Ecol. 2022, 41, 1674–1682. [Google Scholar]
- Antu County Government. 2022. Available online: http://www.antu.gov.cn/xq/dldm/202204/t20220414_377913.html (accessed on 24 May 2024).
- Fusong County Government. 2024. Available online: http://www.fusong.gov.cn/lyfs/fsgk/zrdl/201706/t20170612_96794.html (accessed on 24 May 2024).
- Changbai County Government. 2023. Available online: http://www.changbai.gov.cn/cbgk/zrzy/201801/t20180108_257152.html (accessed on 24 May 2024).
- Fang, J.; Wang, X.; Shen, Z.; Tang, Z.; He, J.; Yu, D.; Jiang, Y.; Wang, Z.; Zheng, C.; Zhu, J.; et al. Methods and protocols for plant community inventory. Biodivers. Sci. 2009, 17, 533–548. [Google Scholar]
- Yan, H.; Xu, Y.; Zhao, N.; Yang, S.; Wang, T. Medical Statistics, 3rd ed.; People’s Medical Publishing House: Beijing, China, 2015; pp. 444–457. [Google Scholar]
- Xie, L.H.; Shang, T. SPSS Statistical Analysis and Data Mining; Publishing House of Electronics Industry: Beijing, China, 2012; pp. 163–188. [Google Scholar]
- Backhaus, K.; Erichson, B.; Plinke, W.; Wang, X.; Weiber, R. Multivariate Statistical Analysis: Using SPSS Tools; Truth and Wisdom Press: Shanghai, China; Shanghai People’s Publishing House: Shanghai, China, 2009; pp. 35–80. [Google Scholar]
- Ni, R.Q.; Tang, J.Y.; Cheng, Y.X.; Zhang, C.Y.; Chen, B.B.; He, H.J.; Xia, F.C. Spatial distribution patterns and associations of main tree species in spruce-fir forest in Changbai Mountains, northeastern China. J. Beijing For. Univ. 2013, 35, 28–35. [Google Scholar]
- Qiang, Y.Q.; Fan, C.Y.; Zhang, C.Y. Species diversity maintenance mechanism of dark coniferous forests community in Changbai Mountain. Acta Ecol. Sin. 2023, 43, 1884–1891. [Google Scholar]
- Liu, W.; Cao, W. Niche characteristics of main plant species in spruce-fir forests in Changbai Mountains. Chin. J. Ecol. 2011, 30, 1766–1774. [Google Scholar]
- Pimm, S.L. The complexity and stability of ecosystems. Nature 1984, 307, 321–326. [Google Scholar] [CrossRef]
- Ives, A.R. Diversity and stability in ecological communities. In Theoretical Ecology: Principles and Applications, 3rd ed.; May, R.; Mclean, A.; Tao, Y.; Wang, B., Translators; Higher Education Press: Beijing, China, 2010; pp. 116–129. [Google Scholar]
- McCann, K.S. The diversity–stability debate. Nature 2000, 405, 228–233. [Google Scholar] [CrossRef] [PubMed]
- Zhang, J.H.; Huang, Y.M. Biodiversity and stability mechanisms: Understanding and future research. Acta Ecol. Sin. 2016, 36, 3859–3870. [Google Scholar]
- Guo, Q.Q.; Zhang, W.H.; Cao, X.P. Establishment of an evaluation model of the forest community stability based on fuzzy synthetic evaluation: A case study of main forest communities in Huanglong Mountains. Sci. Silvae Sin. 2009, 45, 19–24. [Google Scholar]
- Song, W.; Zhang, H. Research status and hot spot analysis of forest ecosystem stability based on CNKI. For. Sci. Technol. 2022, 3, 48–52. [Google Scholar]
- Zhang, M.T.; Zhang, Q.; Kang, X.G.; Yang, Y.J.; Xu, G.; Zhang, L.X. Community stability for spruce-fir forest at different succession stages in Changbai Mountains, Northeast China. Chin. J. Appl. Ecol. 2015, 26, 1609–1616. [Google Scholar]
- Zhou, M.L.; Zhang, Q.; Kang, X.G.; Guo, W.W.; Ji, L.; Li, C.F. Study on the stability of forest communities based on the spatial structure index. Plant Sci. J. 2016, 34, 724–733. [Google Scholar]
- Zheng, Y.R. Comparison of methods for studying stability of forest community. Sci. Silvae Sin. 2000, 36, 28–32. [Google Scholar]
- Zhang, M.X.; Wang, D.X.; Peng, S.L.; Huang, Y.K.; Zhang, G.G. Community stability analysis for the oak-pine mixed forest in Qinling Mountains. Acta Ecol. Sin. 2015, 35, 2564–2573. [Google Scholar]
- Wang, H.Y.; Zhang, Y.J.; Jin, Y.H.; Xu, J.W.; Tao, Y.; He, H.S.; Gao, X.; Bai, Y.Y.; Hu, R.; Han, Y.Y. Vegetation damage, post-disaster change degree and driving factors in the cold temperate wind disaster area of Changbai Mountain, China. Chin. J. Appl. Ecol. 2019, 30, 1580–1588. [Google Scholar]
- Yu, D.J.; Zheng, Y.G.; Sun, C.H.; Zhao, C.; Jin, Y.H.; Zhang, L.J.; Li, J.G.; Liu, L.J. Investigation and factors analysis of Dendrolimus superans outbreaks in Changbai Mountain National Nature Reserve. For. Res. 2022, 35, 103–111. [Google Scholar]
- National Forestry and Grassland Administration. China Forest Resources Report; China Forestry Publishing House: Beijing, China, 2019; pp. 78–241. [Google Scholar]




| Item | Mean Elevation Difference (m) | Standard Error | p Value |
|---|---|---|---|
| Group 1–Group 2 | 97 | 81 | 0.239 |
| Group 1–Group 3 | 234 | 95 | 0.017 |
| Group 1–Group 4 | 314 | 83 | 0.000 |
| Group 2–Group 3 | 138 | 93 | 0.148 |
| Group 2–Group 4 | 217 | 81 | 0.010 |
| Group 3–Group 4 | 80 | 95 | 0.405 |
| Model | Unstandardized Coefficient (UC) | Standard Error | t Value | p Value | 95% Confidence Interval of UC |
|---|---|---|---|---|---|
| RBA | 2.383 | 0.167 | 14.244 | 0.000 | [2.039, 2.728] |
| Constant | −0.922 | 0.078 | −11.793 | 0.000 | [−1.083, −0.761] |
Disclaimer/Publisher’s Note: The statements, opinions and data contained in all publications are solely those of the individual author(s) and contributor(s) and not of MDPI and/or the editor(s). MDPI and/or the editor(s) disclaim responsibility for any injury to people or property resulting from any ideas, methods, instructions or products referred to in the content. |
© 2024 by the authors. Licensee MDPI, Basel, Switzerland. This article is an open access article distributed under the terms and conditions of the Creative Commons Attribution (CC BY) license (https://creativecommons.org/licenses/by/4.0/).
Share and Cite
Duan, J.; Jia, Z.; Ge, S.; Li, Y.; Kang, D.; Li, J. Dominant Species Composition, Environmental Characteristics and Dynamics of Forests with Picea jezoensis Trees in Northeast China. Diversity 2024, 16, 731. https://doi.org/10.3390/d16120731
Duan J, Jia Z, Ge S, Li Y, Kang D, Li J. Dominant Species Composition, Environmental Characteristics and Dynamics of Forests with Picea jezoensis Trees in Northeast China. Diversity. 2024; 16(12):731. https://doi.org/10.3390/d16120731
Chicago/Turabian StyleDuan, Jichen, Zhiyuan Jia, Shusen Ge, Yutang Li, Dongwei Kang, and Junqing Li. 2024. "Dominant Species Composition, Environmental Characteristics and Dynamics of Forests with Picea jezoensis Trees in Northeast China" Diversity 16, no. 12: 731. https://doi.org/10.3390/d16120731
APA StyleDuan, J., Jia, Z., Ge, S., Li, Y., Kang, D., & Li, J. (2024). Dominant Species Composition, Environmental Characteristics and Dynamics of Forests with Picea jezoensis Trees in Northeast China. Diversity, 16(12), 731. https://doi.org/10.3390/d16120731
