Asymmetric Effects of Temperature Change on Herbaceous Seed Germination: Implications for Climate Warming
Abstract
1. Introduction
2. Materials and Methods
2.1. Species and Seed Collection
2.2. Germination Experiments
2.3. Data Analysis
3. Results
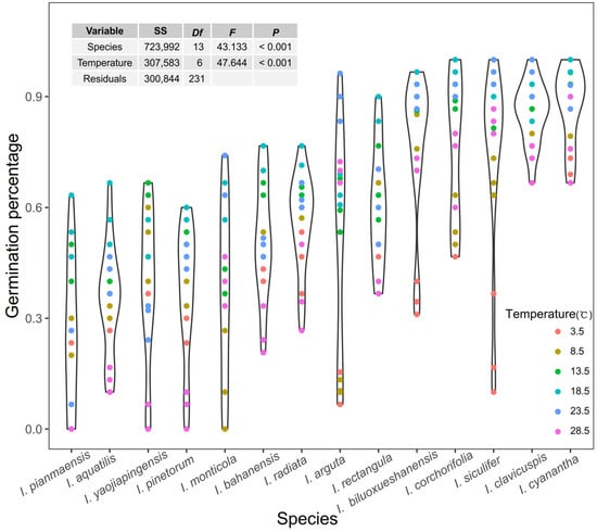
3.1. Seed Germination Differences among Species and Germination Temperatures
3.2. Modeling the Relationship between Germination Percentage and Temperature
3.3. Germination Percentage with Temperatures Above and Below TO
4. Discussion
4.1. Seed Germination Variation among Impatiens Species
4.2. Nonlinear and Asymmetric Relationship between Seed Germination and Temperature
4.3. Implications for Plant Diversity Conservation Under Climate Warming Scenarios
5. Conclusions
Supplementary Materials
Author Contributions
Funding
Institutional Review Board Statement
Data Availability Statement
Acknowledgments
Conflicts of Interest
References
- Abdellaoui, R.; Boughalleb, F.; Zayoud, D.; Neffati, M.; Bakhshandeh, E. Quantification of Retama raetam seed germination response to temperature and water potential using hydrothermal time concept. Environ. Exp. Bot. 2019, 157, 211–216. [Google Scholar] [CrossRef]
- Antonelli, A.; Kissling, W.D.; Flantua, S.G.A.; Bermúdez, M.A.; Mulch, A.; Muellner-Riehl, A.N.; Kreft, H.; Linder, H.P.; Badgley, C.; Fjeldså, J.; et al. Geological and climatic influences on mountain biodiversity. Nat. Geosci. 2018, 11, 718–725. [Google Scholar] [CrossRef]
- Baskin, C.C.; Baskin, J.M. Seeds: Ecology, Biogeography, and Evolution of Dormancy and Germination, 2nd ed.; Academic Press: San Diego, CA, USA, 2014. [Google Scholar] [CrossRef]
- Cochrane, A. Modelling seed germination response to temperature in Eucalyptus L’Her. (Myrtaceae) species in the context of global warming. Seed Sci. Res. 2017, 27, 99–109. [Google Scholar] [CrossRef]
- Hsu, H.W.; Stuke, M.; Bakker, J.D.; Kim, S.H. A time-to-event analysis for temperature dependence of seed germination in four conifers: Ecological niche and environmental gradients. For. Ecol. Manag. 2024, 562, 121972. [Google Scholar] [CrossRef]
- Elsen, P.; Tingley, M. Global mountain topography and the fate of montane species under climate change. Nat. Clim. Change 2015, 5, 772–776. [Google Scholar] [CrossRef]
- Walck, J.L.; Hidayati, S.N.; Dixon, K.W.; Thompson, K.; Poschlod, P. Climate change and plant regeneration from seed. Glob. Chang. Biol. 2010, 17, 2145–2161. [Google Scholar] [CrossRef]
- Bradford, K.J. Applications of hydrothermal time to quantifying and modeling seed germination and dormancy. Weed Sci. 2002, 50, 248–260. [Google Scholar] [CrossRef]
- Dürr, C.; Dickie, J.B.; Yang, X.Y.; Pritchard, H.W. Ranges of critical temperature and water potential values for the germination of species worldwide: Contribution to a seed trait database. Agric. For. Meteorol. 2015, 200, 222–232. [Google Scholar] [CrossRef]
- Picciau, R.; Pritchard, H.W.; Mattana, E.; Bacchetta, G. Thermal thresholds for seed germination in Mediterranean species are higher in mountain compared with lowland areas. Seed Sci. Res. 2018, 29, 44–54. [Google Scholar] [CrossRef]
- Maleki, K.; Soltani, E.; Seal, C.E.; Colville, L.; Pritchard, H.W.; Lamichhane, J.R. The seed germination spectrum of 486 plant species: A global meta-regression and phylogenetic pattern in relation to temperature and water potential. Agric. For. Meteorol. 2023, 346, 109865. [Google Scholar] [CrossRef]
- Daibes, L.F.; Cardoso, V.J.M. Seed germination of a South American forest tree described by linear thermal time models. J. Therm. Biol. 2018, 76, 156–164. [Google Scholar] [CrossRef]
- Filipe, J.C.; Ahrens, C.C.; Byrne, M.; Hardy, G.; Rymer, P.D. Germination temperature sensitivity differs between co-occurring tree species and climate origins resulting in contrasting vulnerability to global warming. Plant Environ. Interact. 2023, 4, 146–162. [Google Scholar] [CrossRef]
- Zhang, H.; Yu, Q.; Huang, Y.; Zheng, W.; Tian, Y.; Song, Y.; Li, G.; Zhou, D. Germination shifts of C3 and C4 species under simulated global warming scenario. PLoS ONE 2014, 9, e105139. [Google Scholar] [CrossRef]
- Cochrane, A. Can sensitivity to temperature during germination help predict global warming vulnerability? Seed Sci. Res. 2015, 26, 14–29. [Google Scholar] [CrossRef]
- Finch, J.; Walck, J.L.; Hidayati, S.N.; Kramer, A.T.; Lason, V.; Havens, K. Germination niche breadth varies inconsistently among three Asclepias congeners along a latitudinal gradient. Plant Biol. 2019, 21, 425–438. [Google Scholar] [CrossRef]
- Sentinella, A.T.; Warton, D.I.; Sherwin, W.B.; Offord, C.A.; Moles, A.T. Tropical plants do not have narrower temperature tolerances, but are more at risk from warming because they are close to their upper thermal limits. Glob. Ecol. Biogeogr. 2020, 29, 1387–1398. [Google Scholar] [CrossRef]
- Solouki, H.; Kafi, M.; Nabati, J.; Ahmadi-Lahijani, M.J.; Nezami, A.; Ahmady, R.S. Quantifying cardinal temperatures of fenugreek (Trigonella foenum-graecum L.) ecotypes using non-linear regression models. J. Appl. Res. Med. Aromat. Plants 2022, 31, 100401. [Google Scholar] [CrossRef]
- Luna, B.; Pérez, B.; Torres, I.; Moreno, J.M. Effects of incubation temperature on seed germination of Mediterranean plants with different geographical distribution ranges. Folia Geobot. 2012, 47, 17–27. [Google Scholar] [CrossRef]
- Mondoni, A.; Rossi, G.; Orsenigo, S.; Probert, R.J. Climate warming could shift the timing of seed germination in alpine plants. Ann. Bot. 2012, 110, 155–164. [Google Scholar] [CrossRef]
- Watt, M.S.; Xu, V.; Bloomberg, M. Development of a hydrothermal time seed germination model which uses the Weibull distribution to describe base water potential. Ecol. Model. 2010, 221, 1267–1272. [Google Scholar] [CrossRef]
- Bewley, J.D.; Bradford, K.J.; Hilhorst, H.W.M.; Nonogaki, H. Seeds: Physiology of Development, Germination and Dormancy; Springer: New York, NY, USA, 2013. [Google Scholar] [CrossRef]
- Xue, X.; Du, S.; Jiao, F.; Xi, M.; Wang, A.; Xu, H.; Jiao, Q.; Zhang, X.; Jiang, H.; Chen, J.; et al. The regulatory network behind maize seed germination: Effects of temperature, water, phytohormones, and nutrients. Crop. J. 2021, 9, 718–724. [Google Scholar] [CrossRef]
- van Midden, K.P.; Mantz, M.; Fonovič, M.; Gazvoda, M.; Svete, J.; Huesgen, P.F.; van der Hoorn, R.A.; Klemenčič, M. Mechanistic insights into CrCEP1: A dual-function cysteine protease with endo- and transpeptidase activity. Int. J. Biol. Macromol. 2024, 271, 132505. [Google Scholar] [CrossRef]
- Daniel, R.M.; Donson, M.J. Temperature and the catalytic activity of enzymes: A fresh understanding. FEBS Lett. 2013, 587, 2738–2743. [Google Scholar] [CrossRef]
- Schlenker, W.; Roberts, M.J. Nonlinear temperature effects indicate severe damages to U.S. crop yields under climate change. Proc. Natl. Acad. Sci. USA 2009, 106, 15594–15598. [Google Scholar] [CrossRef]
- Qin, F.; Xue, T.; Zhang, X.; Yu, J.; Gadagkar, S.R.; Yu, S. Past climate cooling and orogenesis of the Hengduan Mountains have influenced the evolution of Impatiens sect. Impatiens (Balsaminaceae) in the Northern Hemisphere. BMC Plant Biol. 2023, 23, 60. [Google Scholar] [CrossRef]
- Liang, D.; Pan, X.; Luo, X.; Wenda, C.; Zhao, Y.; Hu, Y.; Robinson, S.K.; Liu, Y. Seasonal variation in community composition and distributional ranges of birds along a subtropical elevation gradient in China. Divers. Distrib. 2021, 27, 2527–2541. [Google Scholar] [CrossRef]
- Chen, K.; Chen, Z.H.; Huang, Y.Y.; Jiang, Z.H. Elevation and phylogeny shape herbaceous seed dormancy in a biodiversity hotspot of southwest China. Ecol. Evol. 2023, 13, e09986. [Google Scholar] [CrossRef]
- Aragón-Gastélum, J.L.; Flores, J.; Jurado, E.; Ramírez-Tobías, H.M.; Robles-Díaz, E.; Rodas-Ortiz, J.P.; Yáñez-Espinosa, L. Potential impact of global warming on seed bank, dormancy and germination of three succulent species from the Chihuahuan Desert. Seed Sci. Res. 2018, 28, 312–318. [Google Scholar] [CrossRef]
- Burnham, K.P.; Anderson, D.R. Model Selection and Inference: A Practical Information-Theoretic Approach; Springer: New York, NY, USA, 2002. [Google Scholar] [CrossRef]
- Dormann, C.F.; Elith, J.; Bacher, S.; Buchmann, C.; Carl, G.; Carré, G.; Marquéz, J.R.G.; Gruber, B.; Lafourcade, B.; Leitão, P.J.; et al. Collinearity: A review of methods to deal with it and a simulation study evaluating their performance. Ecography 2013, 36, 27–46. [Google Scholar] [CrossRef]
- Wang, J.; Qian, Q.; Zhang, F.; Jia, X.; He, J. The possible future changes in potential suitable habitats of Tetrastigma hemsleyanum (Vitaceae) in China predicted by an ensemble model. Glob. Ecol. Conserv. 2022, 35, e02083. [Google Scholar] [CrossRef]
- R Core Team. R: A Language and Environment for Statistical Computing. R Foundation for Statistical Computing. 2020. Available online: https://www.R-project.org/ (accessed on 9 October 2020).
- Perglová, I.; Pergl, J.; Skálová, H.; Moravcová, L.; Jarošík, V.; Pyšek, P. Differences in germination and seedling establishment of alien and native Impatiens species. Preslia 2009, 81, 357–375. [Google Scholar] [CrossRef]
- Liu, K.; Baskin, J.M.; Baskin, C.C.; Bu, H.; Liu, M.; Liu, W.; Du, G. Effect of storage conditions on germination of seeds of 489 species from high elevation grasslands of the eastern Tibet Plateau and some implications for climate change. Am. J. Bot. 2010, 98, 12–19. [Google Scholar] [CrossRef]
- Cabrera-Santos, D.; Ordoñez-Salanueva, C.A.; Sampayo-Maldonado, S.; Campos, J.E.; Orozco-Segovia, A.; Flores-Ortiz, C.M. Quantifying cardinal temperatures of Chia (Salvia hispanica L.) using non-linear regression models. Plants 2022, 11, 1142. [Google Scholar] [CrossRef]
- Rosbakh, S.; Poschlod, P. Initial temperature of seed germination as related to species occurrence along a temperature gradient. Funct. Ecol. 2014, 29, 5–14. [Google Scholar] [CrossRef]
- Hopper, S.D.; Gioia, P. The southwest Australian floristic region: Evolution and conservation of a global hot spot of biodiversity. Annu. Rev. Ecol. Evol. Syst. 2004, 35, 623–650. [Google Scholar] [CrossRef]
- Peng, D.; Sun, L.; Pritchard, H.W.; Yang, J.; Sun, H.; Li, Z. Species distribution modelling and seed germination of four threatened snow lotus (Saussurea) and their implication for conservation. Glob. Ecol. Conserv. 2019, 17, e00565. [Google Scholar] [CrossRef]
- Wu, H.; Wang, S.; Wei, X.; Jiang, M. Sensitivity of seed germination to temperature of a relict tree species from different origins along latitudinal and altitudinal gradients: Implications for response to climate change. Trees 2019, 33, 1435–1445. [Google Scholar] [CrossRef]
- Peng, D.; Yang, L.; Yang, J.; Li, Z. Seed dormancy and soil seed bank of the two alpine Primula species in the Hengduan Mountains of Southwest China. Front. Plant Sci. 2021, 12, 582536. [Google Scholar] [CrossRef]
- Zhou, R.; Yang, P.; Chen, X.; Song, M.; Sun, H.; Chen, J. Simulated climate warming strongly constrains the seedling establishment of alpine cushion Arenaria oreophila. Plant Divers. 2023, in press. [Google Scholar] [CrossRef]




| Model | AIC | BIC | Marginal R2 | Conditional R2 | Max VIF | p-Value |
|---|---|---|---|---|---|---|
| logit(GP) = β0 + β1 × T + ɛspecies + ε0 | 2283.9 | 2294.5 | 3.26% | 86.21% | ||
| logit(GP) = β0 + β1 × T + β2 × T2 + εspecies + ε0 | 1753.9 | 1768.1 | 26.86% | 90.9% | 1 | <0.001 |
| logit(GP) = β0 + β1 × T + β2 × T2 + β3 × T3 + εspecies + ε0 | 1713.3 | 1731 | 28.18% | 91.12% | 8.02 | <0.001 |
| logit(GP) = β0 + β1 × T + β2 × T2 + β3 × T3 + β4 × T4 + εspecies + ε0 | 1710.9 | 1732.1 | 28.38% | 91.15% | 21.01 | 0.036 |
| Term | Variable | Estimate | Standard Error | p-Value |
|---|---|---|---|---|
| Intercept | 1.06 | 0.27 | <0.001 | |
| Fixed effect | T | 0.64 | 0.07 | <0.001 |
| T2 | −0.71 | 0.03 | <0.001 | |
| T3 | −0.26 | 0.04 | <0.001 | |
| Random effect | Variable | Variance | ||
| Species | 0.97 | |||
| Residual | 3.21 | |||
Disclaimer/Publisher’s Note: The statements, opinions and data contained in all publications are solely those of the individual author(s) and contributor(s) and not of MDPI and/or the editor(s). MDPI and/or the editor(s) disclaim responsibility for any injury to people or property resulting from any ideas, methods, instructions or products referred to in the content. |
© 2024 by the authors. Licensee MDPI, Basel, Switzerland. This article is an open access article distributed under the terms and conditions of the Creative Commons Attribution (CC BY) license (https://creativecommons.org/licenses/by/4.0/).
Share and Cite
Chen, K.; Chen, Z.-H.; Jiang, Z.-H. Asymmetric Effects of Temperature Change on Herbaceous Seed Germination: Implications for Climate Warming. Diversity 2024, 16, 649. https://doi.org/10.3390/d16100649
Chen K, Chen Z-H, Jiang Z-H. Asymmetric Effects of Temperature Change on Herbaceous Seed Germination: Implications for Climate Warming. Diversity. 2024; 16(10):649. https://doi.org/10.3390/d16100649
Chicago/Turabian StyleChen, Kai, Zi-Hong Chen, and Zhong-Hua Jiang. 2024. "Asymmetric Effects of Temperature Change on Herbaceous Seed Germination: Implications for Climate Warming" Diversity 16, no. 10: 649. https://doi.org/10.3390/d16100649
APA StyleChen, K., Chen, Z.-H., & Jiang, Z.-H. (2024). Asymmetric Effects of Temperature Change on Herbaceous Seed Germination: Implications for Climate Warming. Diversity, 16(10), 649. https://doi.org/10.3390/d16100649
