“Heaven” of Data Deficient Species: The Conservation Status of the Endemic Amphibian Fauna of Vietnam
Abstract
1. Introduction
2. Materials and Methods
2.1. Protocol
2.2. Statistical Analyses
- (i)
- “Mid-point” (DD species have the same fraction of threatened species as data sufficient species: VU + EN + CR/assessed-DD);
- (ii)
- “Lower bound” (none of the DD species is threatened: VU + EN + CR/assessed;
- (iii)
- “Upper bound” (the most pessimistic estimate of extinction risk where all of the DD species are threatened: VU + EN + CR + DD/assessed);
- (iv)
- “Species elevated conservation concern” (DD species have the same fraction of threatened species and Near Threatened species are evaluated as DD species).
- (1)
- Urbanization (Residential and commercial development + Pollution);
- (2)
- Natural resource use (Agriculture and aquaculture + Biological resource use);
- (3)
- Industrial development (Energy production and mining + Transportation and service corridors);
- (4)
- Alien species and disease;
- (5)
- Climate change.
3. Results and Discussion
3.1. Amphibian Diversity and Conservation Status in Vietnam
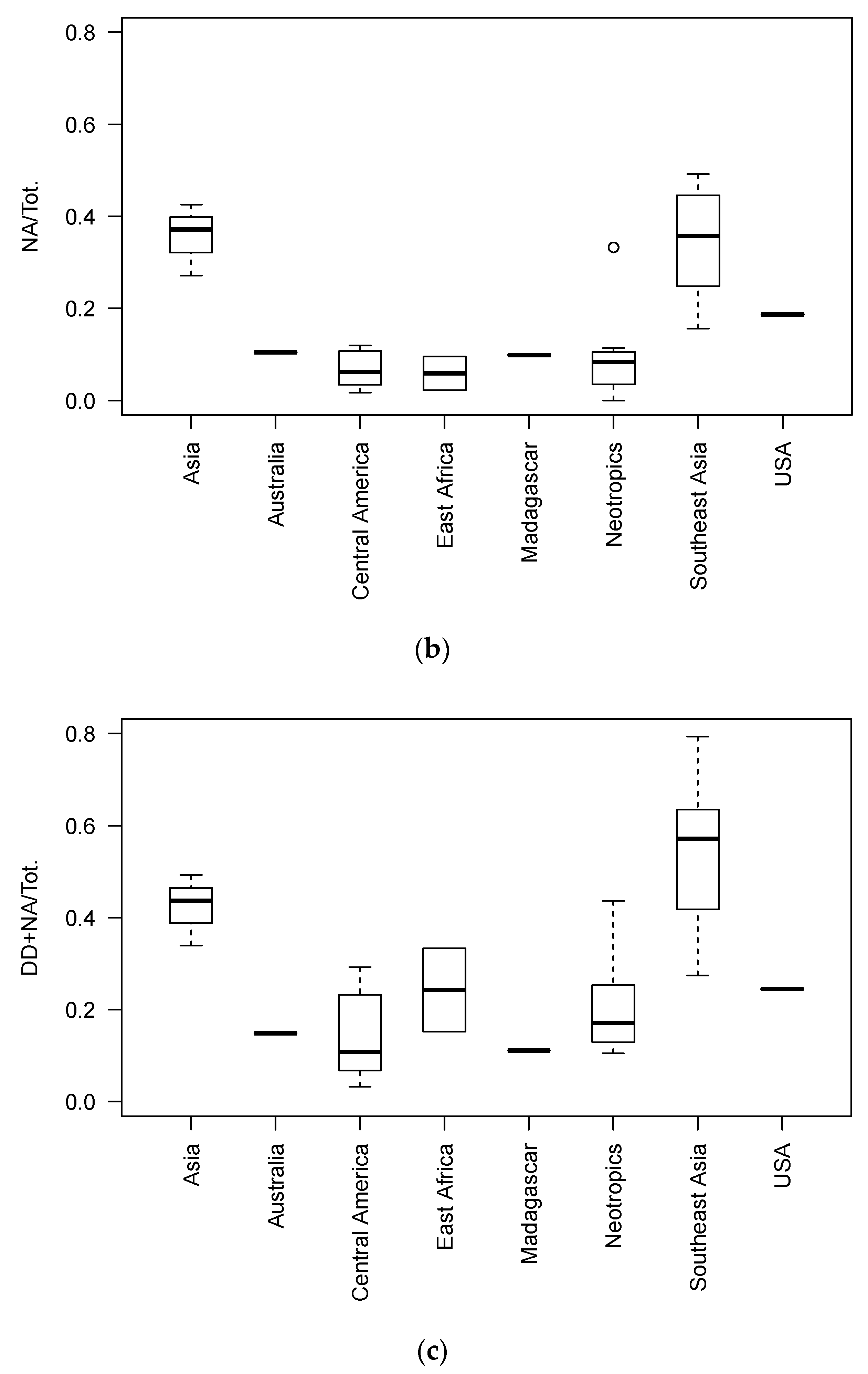
3.2. Vietnam vs. Other Geographical Regions
3.3. Analysis of Threats
3.4. Amphibian Extinction Risk Categories and Biogeographic Status
4. Conclusions
Supplementary Materials
Author Contributions
Funding
Institutional Review Board Statement
Data Availability Statement
Acknowledgments
Conflicts of Interest
References
- Wake, D.B.; Vredenburg, V.T. Are we in the midst of the sixth mass extinction? A view from the world of amphibians. Proc. Natl. Acad. Sci. USA 2008, 105 (Suppl. S1), 11466–11473. [Google Scholar] [CrossRef]
- McCallum, M.L. Amphibian Decline or Extinction? Current Declines Dwarf Background Extinction Rate. J. Herpetol. 2007, 41, 483–491. [Google Scholar] [CrossRef]
- McCallum, M.L. Vertebrate biodiversity losses point to a sixth mass extinction. Biodivers. Conserv. 2015, 24, 2497–2519. [Google Scholar] [CrossRef]
- Brook, B.; Sodhi, N.; Bradshaw, C. Synergies among extinction drivers under global change. Trends Ecol. Evol. 2008, 23, 453–460. [Google Scholar] [CrossRef]
- Alroy, J. Current extinction rates of reptiles and amphibians. Proc. Natl. Acad. Sci. USA 2015, 112, 13003–13008. [Google Scholar] [CrossRef]
- IUCN. The IUCN Red List of Threatened Species. 2022. Available online: www.iucnredlist.org (accessed on 22 January 2023).
- Howard, S.D.; Bickford, D.P. Amphibians over the edge: Silent extinction risk of Data Deficient species. Divers. Distrib. 2014, 20, 837–846. [Google Scholar] [CrossRef]
- González-del-Pliego, P.; Freckleton, R.P.; Edwards, D.P.; Koo, M.S.; Scheffers, B.R.; Pyron, R.A.; Jetz, W. Phylogenetic and trait-based prediction of extinction risk for data-deficient amphibians. Curr. Biol. 2019, 29, 1557–1563. [Google Scholar] [CrossRef]
- Carvalho, J.S.; Graham, B.; Rebelo, H.; Bocksberger, G.; Meyer, C.F.; Wich, S.; Kühl, H.S. A global risk assessment of primates under climate and land use/cover scenarios. Glob. Chang. Biol. 2019, 25, 3163–3178. [Google Scholar] [CrossRef]
- Stanford, C.B.; Iverson, J.B.; Rhodin, A.G.J.; van Dijk, P.P.; Mittermeier, R.A.; Kuchling, G.; Berry, K.H.; Bertolero, A.; Blanck, T.E.G.; Bjorndal, K.A.; et al. Turtles and tortoises are in trouble. Curr. Biol. 2020, 30, 721–735. [Google Scholar] [CrossRef]
- Payne, J.L.; Finnegan, S. The effect of geographic range on extinction risk during background and mass extinction. Proc. Natl. Acad. Sci. USA 2007, 104, 10506–10511. [Google Scholar] [CrossRef]
- Woodruff, D.S. Biogeography and conservation in Southeast Asia: How 2.7 million years of repeated environmental fluctuations affect today’s patterns and the future of the remaining refugial-phase biodiversity. Biodivers. Conserv. 2010, 19, 919–941. [Google Scholar] [CrossRef]
- Stuart, B.L.; Inger, R.F.; Voris, H.K. High level of cryptic species diversity revealed by sympatric lineages of Southeast Asian forest frogs. Biol. Lett. 2006, 2, 470–474. [Google Scholar] [CrossRef]
- Myers, N.; Mittermeier, R.A.; Mittermeier, C.G.; Fonseca, G.A.B.D.; Kent, J. Biodiversity hotspots for conservation priorities. Nature 2000, 403, 853–858. [Google Scholar] [CrossRef]
- Rowley, J.; Brown, R.M.; Bain, R.; Kusrini, M.; Inger, R.; Stuart, B.; Wogan, G.; Chan-ard, T.; Trung, C.T.; Diesmos, A.C.; et al. Impending conservation crisis for Southeast Asian amphibians. Biol. Lett. 2009, 6, 336–338. [Google Scholar] [CrossRef]
- Dever, J.A. A New Cryptic Species of the Theloderma asperum Complex (Anura: Rhachophoridae) from Myanmar. J. Herpetol. 2017, 51, 425–436. [Google Scholar] [CrossRef]
- Wanger, T.C.; Iskandar, D.T.; Motzke, I.; Brook, B.W.; Sodhi, N.S.; Clough, Y.; Tscharntke, T. Effects of land-use change on community composition of tropical amphibians and reptiles in Sulawesi, Indonesia. Conserv. Biol. 2010, 24, 795–802. [Google Scholar] [CrossRef]
- Grosjean, S.; Ohler, A.; Chuaynkern, Y.; Cruaud, C.; Hassanin, A. Improving biodiversity assessment of anuran amphibians using DNA barcoding of tadpoles. Case studies from Southeast Asia. Comptes. Rendus Biol. 2015, 338, 351–361. [Google Scholar] [CrossRef]
- Krzikowski, M.; Nguyen, T.Q.; Pham, C.T.; Rödder, D.; Rauhaus, A.; Le, M.D.; Ziegler, T. Assessment of the threat status of the amphibians in Vietnam—Implementation of the One Plan Approach. J. Nat. Conserv. 2022, 49, 77–116. [Google Scholar] [CrossRef]
- Rodrigues, A.S.L.; Brooks, T.M.; Butchart, S.H.M.; Chanson, J.; Cox, N.; Hoffmann, M.; Stuart, S.N. Spatially Explicit Trends in the Global Conservation Status of Vertebrates. PLoS ONE 2014, 9, e0121040. [Google Scholar] [CrossRef]
- Poffenberger, M.; Nguyen, H.P. Stewards of Vietnam’s Upland Forests; Center for Southeast Asia Studies: Berkeley, CA, USA, 1998; pp. 1–18. Available online: http://www.mekonginfo.org/mrc_en/doclib.nsf/0/E5E0A84E9B42A19F80256690003862FB/$FILE/FULLTEXT.html (accessed on 20 September 2019).
- Do, D.S. Shifting Cultivation in Vietnam: Its Social, Economic and Environmental Values Relative to Alternative Land Use; International Institute for Environment and Development: London, UK, 1994; pp. 3–15. [Google Scholar]
- Achard, F.; Eva, H.; Stibig, H.J.; Mayaux, P.; Gallego, J.; Richards, T.; Malingreau, J.P. Determination of deforestation rates of the world’s humid tropical forests. Science 2002, 297, 999–1002. [Google Scholar] [CrossRef]
- Meyfroidt, P.; Lambin, F.E. The causes of the reforestation in Vietnam. Land Use Policy 2008, 25, 182–197. [Google Scholar] [CrossRef]
- Sodhi, N.S.; Koh, L.P.; Brook, B.W.; Ng, P.K. Southeast Asian Biodiversity: An impending disaster. Trends Ecol. Evol. 2004, 19, 654–660. [Google Scholar] [CrossRef]
- Nijman, V. An overview of international wildlife trade from Southeast Asia. Biodivers. Conserv. 2009, 19, 1101–1114. [Google Scholar] [CrossRef]
- McMenamin, S.K.; Hadly, E.A.; Wright, C.K. Climatic change and wetland desiccation cause amphibian decline in Yellowstone National Park. Proc. Natl. Acad. Sci. USA 2008, 105, 16988–16993. [Google Scholar] [CrossRef]
- Alcala, A.C.; Bucol, A.A.; Diesmos, A.C.; Brown, R.M. Vulnerability of Philippine amphibians to climate change. Philipp. J. Sci. 2012, 141, 77–87. [Google Scholar]
- IUCN. Guidelines for Appropriate Uses of IUCN Red List Data. Incorporating, as Annexes, the (1) Guidelines for Reporting on Proportion Threatened (ver. 1.1); (2) Guidelines on Scientific Collecting of Threatened Species (ver. 1.0); and (3) Guidelines for the Appropriate Use of the IUCN Red List by Business (ver. 1.0). Version 3.0; IUCN Red List Committee: Gland, Switzerland, 2016. [Google Scholar]
- Nori, J.; Villalobos, F.; Loyola, R. Global priority areas for amphibian research. J. Biogeogr. 2018, 45, 2588–2594. [Google Scholar] [CrossRef]
- Isaac, N.J.; Mallet, J.; Mace, G.M. Taxonomic inflation: Its influence on macroecology and conservation. Trends Ecol. Evol. 2004, 19, 464–469. [Google Scholar] [CrossRef]
- Köhler, J.; Vieites, D.R.; Bonett, R.M.; García, F.H.; Glaw, F.; Steinke, D.; Vences, M. New amphibians and global conservation: A boost in species discoveries in a highly endangered vertebrate group. BioScience 2005, 55, 693–696. [Google Scholar] [CrossRef]
- Dubois, A. Developmental pathway, speciation and supraspecific taxonomy in amphibians 1. Why are there so many frog species in Sri Lanka? Alytes 2004, 22, 19. [Google Scholar]
- Williams, S.E.; Hero, J.-M. Rainforest frogs of the Australian Wet Tropics: Guild classification and the ecological similarity of declining species. Proc. R. Soc. B Biol. Sci. 1998, 265, 597–602. [Google Scholar] [CrossRef]
- Wells, K.D. The Ecology and Behavior of Amphibians; University of Chicago Press: Chicago, IL, USA, 2007. [Google Scholar]
- Brickle, N.W.; Duckworth, J.W.; Tordoff, A.W.; Poole, C.M.; Timmins, R.; McGowan, P.J. The status and conservation of Galliformes in Cambodia, Laos and Vietnam. Biodivers. Conserv. 2008, 17, 1393–1427. [Google Scholar] [CrossRef]
- Richards, D.R.; Friess, D.A. Rates and drivers of mangrove deforestation in Southeast Asia, 2000–2012. Proc. Natl. Acad. Sci. USA 2016, 113, 344–349. [Google Scholar] [CrossRef]
- Chaudhry, P.; Ruysschaert, G. Climate Change and Human Development in Vietnam. Human Development Report 2007/2008. Fighting Climate Change: Human Solidarity in a Divided World. Occasional Paper; Human Development Report Office, UNDP: New York, NY, USA, 2008. [Google Scholar]
- Bland, L.M.; Collen, B.E.N.; Orme, C.D.L.; Bielby, J.O.N. Predicting the conservation status of data-deficient species. Conserv. Biol. 2015, 29, 250–259. [Google Scholar] [CrossRef]
- Bland, L.M.; Bielby, J.; Kearney, S.; Orme, C.D.L.; Watson, J.E.; Collen, B. Toward reassessing data-deficient species. Conserv. Biol. 2017, 31, 531–539. [Google Scholar] [CrossRef]
- Poyarkov, N.A.; Van Nguyen, T.; Popov, E.S.; Geissler, P.; Pawangkhanant, P.; Neang, T.; Suwannapoom, C.; Orlov, N.L. Recent progress in taxonomic studies, biogeographic analysis, and revised checklist of amphibians in Indochina. Russ. J. Herpetol. 2021, 28, 1–110. [Google Scholar] [CrossRef]
- Zuklin, T.; Maury, N.; Sitthivong, S.; Pham, T.V.; Le Duc, O.; Bordes, C.; Leprince, B.; Ducotterd, C.; Oanh, L.V.; Vilay, P.; et al. The “Empty Forest Syndrome” and the herpetofauna communities in Laos (South-Eastern Asia). Russ. J. Herpetol. 2021, 28, 333–347. [Google Scholar] [CrossRef]
- Hemmavanh, C.; Ye, Y.; Yoshida, A. Forest land use change at trans-boundary Laos-China biodiversity conservation area. J. Geogr. Sci. 2010, 20, 889–898. [Google Scholar] [CrossRef]
- Luu, V.Q.; Nguyen, T.Q.; Calame, T.; Hoang, T.T.; Southichack, S.; Bonkowski, M.; Ziegler, T. New country records of reptiles from Laos. Biodivers. Data J. 2013, 2013, e1015. [Google Scholar] [CrossRef]
- Vacher, J.P.; Chave, J.; Ficetola, F.G.; Sommeria-Klein, G.; Tao, S.; Thébaud, C.; Blanc, M.; Camacho, A.; Cassimiro, J.; Colston, T.J. Large-scale DNA-based survey of frogs in Amazonia suggests a vast underestimation of species richness and endemism. J. Biogeogr. 2020, 47, 1781–1791. [Google Scholar] [CrossRef]
- Bain, R.H.; Nguyen, Q.T. Herpetofaunal diversity of Ha Giang Province in northeastern Vietnam, with descriptions of two new species. Am. Mus. Novit. 2004, 3453, 1–42. [Google Scholar] [CrossRef]
- Bain, R.H.; Nguyen, Q.T. Three new species of narrow-mouth frogs (genus: Microhyla) from Indochina, with comments on Microhyla annamensis and Microhyla palmipes. Copeia 2004, 2004, 507–524. [Google Scholar] [CrossRef]
- Bernardes, M.; Le, M.D.; Nguyen, T.Q.; Van Pham, A.; Nguyen, T.T.; Rödder, D.; Bonkowski, M.; Ziegler, T. Integrative taxonomy reveals three new taxa within the Tylototriton asperrimus complex (Caudata, Salamandridae) from Vietnam. ZooKeys 2020, 935, 121–164. [Google Scholar] [CrossRef]
- Bossuyt, F.; Dubois, A. A review of the frog genus Philautus Gistel, 1848 (Amphibia, Anura, Ranidae, Rhacophorinae). Zeylanica 2001, 6, 1–112. [Google Scholar]
- Bourret, R. Notes herpétologiques sur l’Indochine française. XIV. Les Batraciens de la collection du Laboratoire des Sciences Naturelles de l’Université. Descriptions de quinze espèces ou variétés nouvelles. Annexe Bull. Gén. Instr. Publ. 1937, 4, 5–56. [Google Scholar]
- Bourret, R. Les Batraciens de l’Indochine; Institut Oceanographique de l’Indochine: Hanoi, Vietnam, 1942. [Google Scholar]
- Do, D.T.; Ngo, C.D.; Nguyen, T.Q. New records and an updated checklist of amphibians (Amphibia) from Phu Yen Province, Vietnam. Hue Univ. J. Sci. Nat. Sci. 2017, 126, 81–94. [Google Scholar]
- Geissler, P.; Poyarkov, N.A., Jr.; Grismer, L.; Nguyen, T.Q.; An, H.T.; Neang, T.; Kupfer, A.; Ziegler, T.; Böhme, W.; Müller, H. New Ichthyophis species from Indochina (Gymnophiona, Ichthyophiidae): 1. The unstriped forms with descriptions of three new species and the redescriptions of I. acuminatus Taylor, 1960, I. youngorum Taylor, 1960 and I. laosensis Taylor, 1969. Org. Divers. Evol. 2014, 15, 143–174. [Google Scholar] [CrossRef]
- Gorin, V.A.; Solovyeva, E.N.; Hasan, M.; Okamiya, H.; Karunarathna, D.S.; Pawangkhanant, P.; de Silva, A.; Juthong, W.; Milto, K.D.; Nguyen, L.T.; et al. A little frog leaps a long way: Compounded colonizations of the Indian Subcontinent discovered in the tiny Oriental frog genus Microhyla (Amphibia: Microhylidae). PeerJ 2020, 8, e9411. [Google Scholar] [CrossRef]
- Hoang, V.C.; Jiang, J.; Nguyen, Q.H.; Orlov, N.; Le, V.M.; Nguyen, V.H.; Nguyen, V.T.; Nguyen, T.T.; Ziegler, T. A new species of Vietnamophryne from Vietnam. Rev. Suisse Zool. 2021, 128, 207–219. [Google Scholar] [CrossRef]
- Hoang, V.C.; Luong, M.A.; Nguyen, Q.T.; Orlov, N.L.; Chen, Y.; Wang, B.; Jiang, J. A new species of Microhyla (Amphibia: Anura: Microhylidae) from Langbian Plateau, central Vietnam. Asian Herpetol. Res. 2020, 11, 161–182. [Google Scholar]
- Hoang, C.V.; Nguyen, T.T.; Ninh, H.T.; Luong, A.M.; Pham, C.T.; Nguyen, T.Q.; Orlov, N.L.; Chen, Y.; Wang, B.; Ziegler, T.; et al. Two new cryptic species of Microhyla Tschudi, 1838 (Amphibia, Anura, Microhylidae) related to the M. heymonsi group from central Vietnam. ZooKeys 2021, 1036, 47–74. [Google Scholar] [CrossRef]
- Hoang, C.V.; Nguyen, T.T.; Phan, T.Q.; Pham, C.T.; Ninh, H.T.; Wang, B.; Jiang, J.; Ziegler, T.; Nguyen, T.Q. Distribution pattern of the Microhyla heymonsi group (Anura, Microhylidae) with descriptions of two new species from Vietnam. Eur. J. Taxon 2022, 846, 1–41. [Google Scholar] [CrossRef]
- Inger, R.F.; Orlov, N.; Darevsky, I.S. Frogs of Vietnam: A report on new collections. Fieldiana Zool. 2008, 92, 1–46. [Google Scholar]
- Lathrop, A.; Murphy, R.W.; Orlov, N.L.; Cuc, T.H. Two new species of Leptolalax (Anura: Megophryidae) from northern Vietnam. Amphib.-Reptil. 1998, 19, 253–267. [Google Scholar] [CrossRef]
- Le, D.T.; Do, Y.T.; Tran, T.T.; Nguyen, T.Q.; Orlov, N.L.; Ninh, H.T.; Nguyen, T.T. A new species of Gracixalus (Anura: Rhacophoridae) from Northern Vietnam. Russ. J. Herpetol. 2021, 28, 15–35. [Google Scholar] [CrossRef]
- Luong, A.M.; Hoang, C.V.; Pham, C.T.; Nguyen, T.T.; Orlov, N.L.; Ziegler, T.; Nguyen, T.Q. A new species of Xenophrys (Amphibia: Anura: Megophryidae) from Truong Son Range, Vietnam. Zootaxa 2022, 5150, 333–356. [Google Scholar] [CrossRef]
- Nguyen, L.T.; Poyarkov, N.A., Jr.; Nguyen, T.T.; Nguyen, T.A.; Tran, V.H.; Gorin, V.A.; Murphy, R.W.; Nguyen, S.N. A new species of the genus Microhyla Tschudi, 1838 (Amphibia: Anura: Microhylidae) from Tay Nguyen Plateau, Central Vietnam. Zootaxa 2019, 4543, 549–580. [Google Scholar] [CrossRef]
- Nguyen, L.T.; Tapley, B.; Nguyen, C.T.; Van Luong, H.; Rowley, J.J. A new species of Leptobrachella (Anura, Megophryidae) from Mount Pu Ta Leng, northwest Vietnam. Zootaxa 2021, 5016, 301–332. [Google Scholar] [CrossRef]
- Nguyen, T.N.; Luu, Q.V. New record of Theloderma annae Nguyen, Pham, Ngo, Nguyen Ziegler, 2016 (Anura: Rhacohoridae) from Ninh Binh Province, Vietnam. Vietnam. Natl. Univ. For. J. For. Sci. Technol. 2018, 5, 104–110. [Google Scholar]
- Nguyen, T.Q.; Pham, C.T.; Nguyen, T.T.; Ngo, H.N.; Ziegler, T. A new species of Theloderma (Amphibia: Anura: Rhacophoridae) from Vietnam. Zootaxa 2016, 4168, 171–186. [Google Scholar] [CrossRef]
- Nguyen, T.Q.; Pham, C.T.; Nguyen, T.T.; Luong, A.M.; Ziegler, T. A new species of Megophrys (Amphibia: Anura: Megophryidae) from Vietnam. Zootaxa 2020, 4722, 401–422. [Google Scholar] [CrossRef]
- Nguyen, T.T.; Pham, C.T.; Nguyen, T.Q.; Ninh, H.T.; Ziegler, T. A new species of Rhacophorus (Amphibia: Anura: Rhacophoridae) from Vietnam. Asian Herpetol. Res. 2017, 8, 221–234. [Google Scholar]
- Nguyen, T.T.; Matsui, M.; Yoshikawa, N. First record of the tree- frog genus Liuixalus from Vietnam with the description of a new species (Amphibia: Rhacophoridae). Curr. Herpetol. 2014, 33, 29–37. [Google Scholar] [CrossRef]
- Nguyen, T.T.; Ninh, H.T.; Orlov, N.; Nguyen, T.Q.; Ziegler, T. A new species of the genus Zhangixalus (Amphibia: Rhacophoridae) from Vietnam. J. Nat. Hist. 2020, 54, 257–273. [Google Scholar] [CrossRef]
- Nguyen, T.V.; Duong, T.V.; Luu, K.T.; Poyarkov, N.A., Jr. A new species of Kurixalus (Anura: Rhacophoridae) from northern Vietnam with comments on the biogeography of the genus. J. Nat. Hist. 2020, 54, 195–223. [Google Scholar] [CrossRef]
- Nguyen, T.V.; Hoang, C.V.; Jianping, J.; Orlov, N.L.; Ninh, H.T.; Nguyen, H.Q.; Nguyen, T.T.; Ziegler, T. A New Species of Vietnamophryne with an Extended Description of Vietnamophryne orlovi. Russ. J. Herpetol. 2021, 28, 355–368. [Google Scholar] [CrossRef]
- Ninh, H.T.; Nguyen, T.T.; Orlov, N.; Nguyen, T.; Ziegler, T. A New Species of the Genus Zhangixalus (Amphibia: Rhacophoridae) from Vietnam. Eur. J. Taxon 2020, 688, 1–18. [Google Scholar] [CrossRef]
- Ninh, H.T.; Nguyen, T.T.; Nguyen, H.Q.; Hoang, N.V.; Siliyavong, S.; Nguyen, T.V.; Le, D.T.; Le, Q.K.; Ziegler, T. A new species of mossy frog (Anura: Rhacophoridae) from Northeastern Vietnam. Eur. J. Taxon 2022, 794, 72–90. [Google Scholar] [CrossRef]
- Ohler, A.; Wollenberg, K.C.; Grosjean, S.; Hendrix, R.; Vences, M.; Ziegler, T.; Dubois, A. Sorting out Lalos: Description of new species and additional taxonomic data on megophryid frogs from northern Indochina (genus Leptolalax, Megophryidae, Anura). Zootaxa 2011, 3147, 1–83. [Google Scholar] [CrossRef]
- Ostroshabov, A.A.; Orlov, N.L.; Nguyen, T.T. Taxonomy of frogs of genus Rhacophorus of “hoangliensis—Orlovi” complex. Russ. J. Herpetol. 2013, 20, 301–324. [Google Scholar]
- Pham, C.T.; Do, D.T.; Le, M.D.; Ngo, H.T.; Nguyen, L.T.; Ziegler, T.; Nguyen, T.Q. A new species of Limnonectes (Amphibia: Anura: Dicroglossidae) from Vietnam. Zootaxa 2020, 4894, 387–402. [Google Scholar] [CrossRef]
- Pham, C.T.; Nguyen, T.Q.; Le, M.D.; Bonkowski, M.; Ziegler, T. A new species of Odorrana (Amphibia: Anura: Ranidae) from Vietnam. Zootaxa 2016, 4084, 421–435. [Google Scholar] [CrossRef] [PubMed]
- Poyarkov, N.A., Jr.; Nguyen, T.V.; Trofimets, A.V.; Gorin, V.A. A new cryptic species of the genus Microhyla (Amphibia: Microhylidae) from Langbian Plateau, Vietnam. Taprobanica 2020, 9, 136–163. [Google Scholar] [CrossRef]
- Poyarkov, N.A.; Nguyen, T.V.; Akrhipov, D.V. A new species of the genus Tylotriton (Amphibia, Caudata, Salamandridae) from central Vietnam. Taprobanica 2021, 10, 4–22. [Google Scholar] [CrossRef]
- Poyarkov, N.A.; Nguyen, T.V.; Yang, J.-H.; Gorin, V.A. A new species of Micryletta (Amphibia: Anura: Microhylidae) from the Langbian Plateau in southern Vietnam. Zool. Res. 2021, 42, 726–733. [Google Scholar] [CrossRef]
- Poyarkov, N.A.; Suwannapoom, C.; Pawangkhanant, P.P.; Aksornneam, A.; Duong, T.V.; Korost, D.V.; Che, J. A new genus and three new species of miniaturized microhylid frogs from Indochina (Amphibia: Anura: Microhylidae: Asterophryinae). Zool. Res. 2018, 39, 130–157. [Google Scholar]
- Poyarkov, N.A., Jr.; Vassilieva, A.B.; Orlov, N.L.; Galoyan, E.A.; Tran, D.T.A.; Le, D.T.T.; Kretova, V.D.; Geissler, P. Taxonomy and distribution of narrow-mouth frogs of the genus Microhyla Tschudi, 1838 (Anura: Microhylidae) from Vietnam with descriptions of five new species. Russ. J. Herpetol. 2014, 21, 89–148. [Google Scholar]
- Rowley, J.J.L.; Hoang, H.D.; Le, T.T.D.; Dau, V.Q.; Cao, T.T. A new species of Leptolalax (Anura: Megophryidae) from Vietnam and further information on Leptolalax tuberosus. Zootaxa 2010, 2660, 33–45. [Google Scholar] [CrossRef]
- Rowley, J.J.; Le, D.T.T.; Hoang, H.D.; Cao, T.T.; Dau, V.Q. A new species of phytotelm breeding frog (Anura: Rhacophoridae) from the Central Highlands of Vietnam. Zootaxa 2020, 4779, 341–354. [Google Scholar] [CrossRef]
- Schenkel, E. Achter Nachtrag zum Katalog der herpetologischen Sammlung des Basler Museums. Verhandlungen Naturforschenden Ges. Basel 1901, 13, 142–199. [Google Scholar]
- Tapley, B.; Cutajar, T.; Nguyen, L.T.; Portway, C.; Mahony, S.; Nguyen, C.T.; Harding, L.; Luong, H.V.; Rowley, J.J.L. A new potentially Endangered species of Megophrys from Mount Ky Quan San, northwest Vietnam. J. Nat. Hist. 2021, 54, 2543–2575. [Google Scholar] [CrossRef]





| Species | IUCN | Status | N Locations | Area (km2) | Protected Area |
|---|---|---|---|---|---|
| Leptobrachella botsfordi | CR | Endemic | 1 | 36 | Yes |
| Leptobrachella rowleyae | CR | Endemic | 1 | 19 | Yes |
| Amolops cucae | EN | Endemic | 1 | 2321 | Unknown |
| Amolops minutus | EN | Subendemic a | several | 2383 | Unknown |
| Amolops ottorum | EN | Subendemic a | 3 | 2985 | Yes |
| Gracixalus lumarius | EN | Endemic | 1 | 425.6 | Yes |
| Gracixalus nonggangensis | EN | Subendemic a | several | 2317 | Yes |
| Gracixalus sapaensis | EN | Subendemic a | several | 1947 | Yes |
| Hylarana montivaga | EN | Endemic | several | 3139 | Unknown |
| Kalophrynus cryptophonus | EN | Endemic | 2 | 5438 | Yes |
| Kurixalus viridescens | EN | Endemic | 3 | 355 | Yes |
| Leptobrachella applebyi | EN | Endemic | 2 | 244.85 | Yes |
| Leptobrachella ardens | EN | Endemic | 3 | 598 | Yes |
| Leptobrachella bidoupensis | EN | Endemic | 3 | 214.03 | Yes |
| Leptobrachella firthi | EN | Endemic | 1 | 3920 | Yes |
| Leptobrachella kalonensis | EN | Endemic | 3 | 1472 | No |
| Leptobrachella macrops | EN | Endemic | 2 | 491 | No |
| Leptobrachella maculosa | EN | Endemic | 3 | 616 | Yes |
| Leptobrachella namdongensis | EN | Endemic | 3 | 271 | Yes |
| Leptobrachella pallida | EN | Endemic | 3 | 142 | Yes |
| Leptobrachella pluvialis | EN | Endemic | 3 | 2597 | Yes |
| Leptobrachella pyrrhops | EN | Endemic | 2 | 239 | No |
| Leptobrachella tadungensis | EN | Endemic | 3 | 640 | Yes |
| Leptobrachium ngoclinhense | EN | Endemic | 2 | 2912 | Yes |
| Leptobrachium xanthospilum | EN | Endemic | 3 | 4379 | Yes |
| Liuixalus calcarius | EN | Endemic | 3 | 1207 | Yes |
| Megophrys fansipanensis | EN | Subendemic a | 1 | 629 | Yes |
| Megophrys gerti | EN | Endemic | 3 | 4303 | Yes |
| Megophrys hoanglienensis | EN | Subendemic a | several | 3213 | Yes |
| Micryletta nigromaculata | EN | Endemic | 2 | 3206 | Yes |
| Nanohyla pulchella | EN | Endemic | several | 3901 | Yes |
| Odorrana yentuensis | EN | Endemic | 1 | 2495 | Yes |
| Oreolalax sterlingae | EN | Endemic | 3 | 639 | Yes |
| Philautus catbaensis | EN | Endemic | 3 | 198 | Yes |
| Rhacophorus calcaneus | EN | Endemic | several | 4138 | Yes |
| Rhacophorus helenae | EN | Endemic | several | 4735 | Yes |
| Rhacophorus vampyrus | EN | Endemic | 2 | 2082.5 | Yes |
| Theloderma nebulosum | EN | Endemic | 1 | 940.12 | Yes |
| Theloderma palliatum | EN | Endemic | 1 | 1443.43 | Yes |
| Theloderma ryabovi | EN | Endemic | 2 | 2736 | No |
| Amolops splendissimus | VU | Endemic | several | 8573 | Unknown |
| Gracixalus quyeti | VU | Subendemic b | several | 7406 | Yes |
| Kalophrynus honbaensis | VU | Endemic | 1 | 14 | Yes |
| Kurixalus motokawai | VU | Subendemic b | several | 11,350 | Yes |
| Leptobrachella bourreti | VU | Subendemic a | several | 15,330 | Yes |
| Leptobrachium leucops | VU | Endemic | several | 7617.07 | Yes |
| Limnonectes quangninhensis | VU | Subendemic a | several | 15,169.5 | Yes |
| Microhyla pineticola | VU | Endemic | 1 | 11,908 | Yes |
| Nanohyla annamensis | VU | Endemic | several | 9889 | Yes |
| Nanohyla arboricola | VU | Endemic | 1 | 7964 | Yes |
| Quasipaa acanthophora | VU | Subendemic a | 2 | 7310 | Yes |
| Raorchestes gryllus | VU | Endemic | 2 | 6562 | Yes |
| Rhacophorus marmoridorsum | VU | Endemic | 2 | 6927 | Unknown |
| Rhacophorus vanbanicus | VU | Subendemic a | several | 19,653 | No |
| Theloderma auratum | VU | Subendemic b | several | 19,292 | Yes |
| Tylototriton vietnamensis | VU | Subendemic a | several | 6639 | Yes |
| Tylototriton ziegleri | VU | Endemic | 1 | 16,218 | Yes |
| Amolops iriodes | DD | Subendemic a | 1 | 649 | Yes |
| Ichthyophis catlocensis | DD | Subendemic c | 1 | 730 | Yes |
| Ichthyophis chaloensis | DD | Subendemic b | 1 | 2042 | Yes |
| Kurixalus gracilloides | DD | Endemic | 1 | 14 | Yes |
| Leptobrachella crocea | DD | Endemic | 1 | 135.35 | Yes |
| Leptobrachella nahangensis | DD | Endemic | 1 | Unknown | Yes |
| Leptobrachella nyx | DD | Subendemic a | 3 | 2096 | Yes |
| Megophrys caobangensis | DD | Subendemic a | 1 | 41 | Yes |
| Microhyla aurantiventris | DD | Endemic | 1 | 142 | Unknown |
| Microhyla darevskii | DD | Subendemic b | 1 | 1156 | No |
| Microhyla minuta | DD | Endemic | 1 | Unknown | Yes |
| Microhyla picta | DD | Endemic | 2 | Unknown | Unknown |
| Microhyla pulverata | DD | Endemic | 1 | Unknown | Unknown |
| Nanohyla nanapollexa | DD | Subendemic b | 2 | 2658 | Yes |
| Odorrana mutschmanni | DD | Subendemic a | 1 | Unknown | No |
| Philautus maosonensis | DD | Subendemic a | 2 | 20,270 | Yes |
| Rhacophorus hoabinhensis | DD | Endemic | 1 | 136 | Yes |
| Rhacophorus larissae | DD | Subendemic a | 1 | Unknown | Yes |
| Rhacophorus viridimaculatus | DD | Subendemic a | 1 | Unknown | Yes |
| Theloderma annae | DD | Endemic | 2 | 2022 | Yes |
| Tylototriton pasmansi | DD | Endemic | 1 | 31,636 | Yes |
| Tylototriton sparreboomi | DD | Endemic | 1 | 85 | No |
| Vietnamophryne inexpectata | DD | Endemic | 1 | 45 | Yes |
| Vietnamophryne orlovi | DD | Endemic | 1 | 75 | Yes |
| Effect | df | Sum Sq | Mean Sq | F Value | Pr (>F) |
|---|---|---|---|---|---|
| Status | 1 | 1.67 × 108 | 1.7 × 108 | 6.66 | 0.012 |
| Protected Area | 2 | 2.47 × 106 | 1,235,188 | 0.049 | 0.952 |
| IUCN | 3 | 7.53 × 108 | 2.5 × 108 | 10.013 | 1.55 × 10−5 |
| Residuals | 67 | 1.68 × 109 | 2.5 × 107 |
Disclaimer/Publisher’s Note: The statements, opinions and data contained in all publications are solely those of the individual author(s) and contributor(s) and not of MDPI and/or the editor(s). MDPI and/or the editor(s) disclaim responsibility for any injury to people or property resulting from any ideas, methods, instructions or products referred to in the content. |
© 2023 by the authors. Licensee MDPI, Basel, Switzerland. This article is an open access article distributed under the terms and conditions of the Creative Commons Attribution (CC BY) license (https://creativecommons.org/licenses/by/4.0/).
Share and Cite
Nesi, P.; Luiselli, L.M.; Vignoli, L. “Heaven” of Data Deficient Species: The Conservation Status of the Endemic Amphibian Fauna of Vietnam. Diversity 2023, 15, 872. https://doi.org/10.3390/d15070872
Nesi P, Luiselli LM, Vignoli L. “Heaven” of Data Deficient Species: The Conservation Status of the Endemic Amphibian Fauna of Vietnam. Diversity. 2023; 15(7):872. https://doi.org/10.3390/d15070872
Chicago/Turabian StyleNesi, Priscilla, Luca Maria Luiselli, and Leonardo Vignoli. 2023. "“Heaven” of Data Deficient Species: The Conservation Status of the Endemic Amphibian Fauna of Vietnam" Diversity 15, no. 7: 872. https://doi.org/10.3390/d15070872
APA StyleNesi, P., Luiselli, L. M., & Vignoli, L. (2023). “Heaven” of Data Deficient Species: The Conservation Status of the Endemic Amphibian Fauna of Vietnam. Diversity, 15(7), 872. https://doi.org/10.3390/d15070872

