Variation in Dung Removal Rates by Dung Beetles (Coleoptera: Scarabaeoidea) in a Temperate, Dry Steppe Ecosystem
Abstract
1. Introduction
2. Materials and Methods
2.1. Study Area
2.2. Dung Beetles
2.3. Dung and Soil Sampling
2.4. Experimental Design
2.5. Data Analysis
3. Results
3.1. Dung Age
3.2. Nesting Strategies
3.3. Body Size and Biomass
3.4. Dung Types
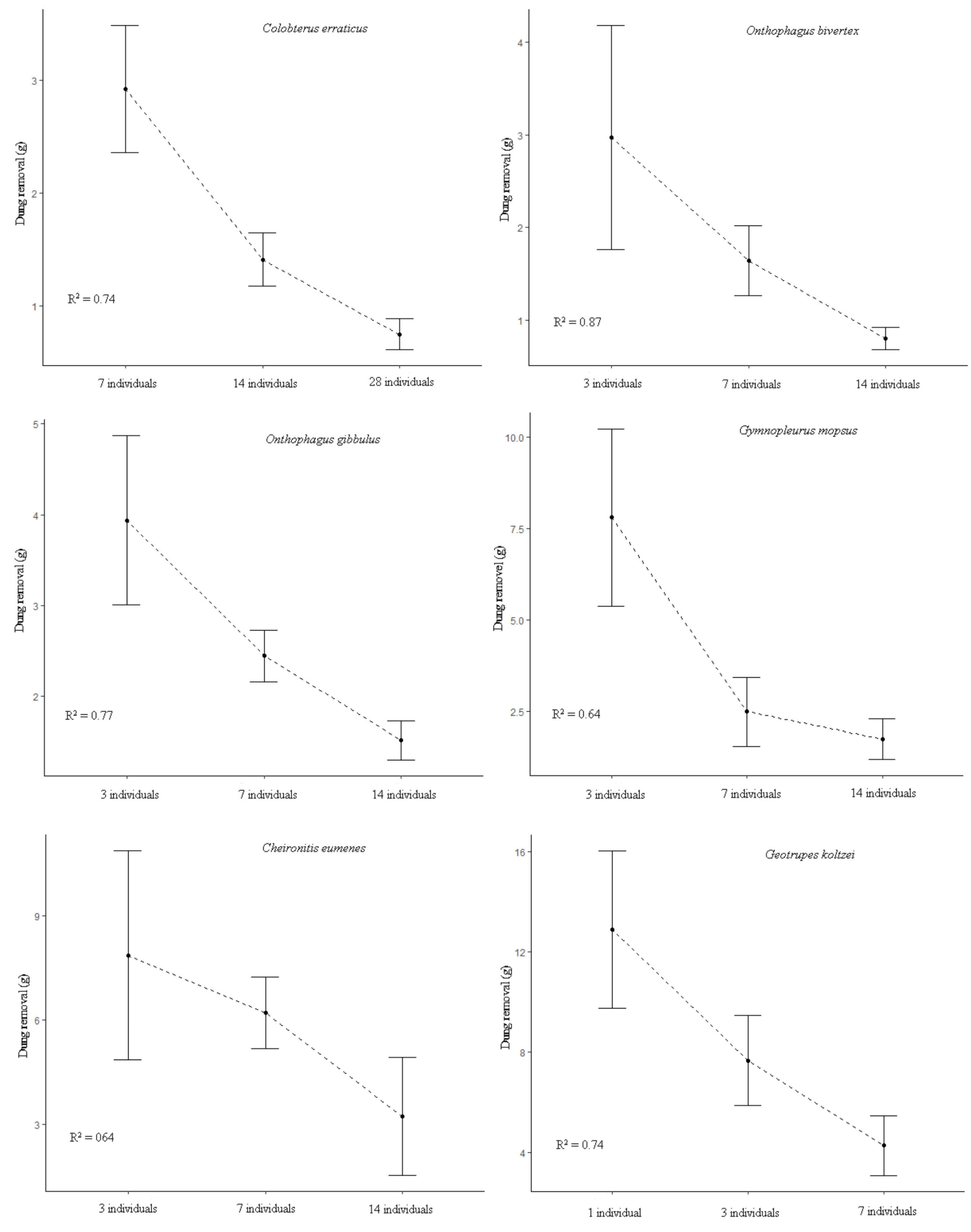
3.5. Beetle Abundance
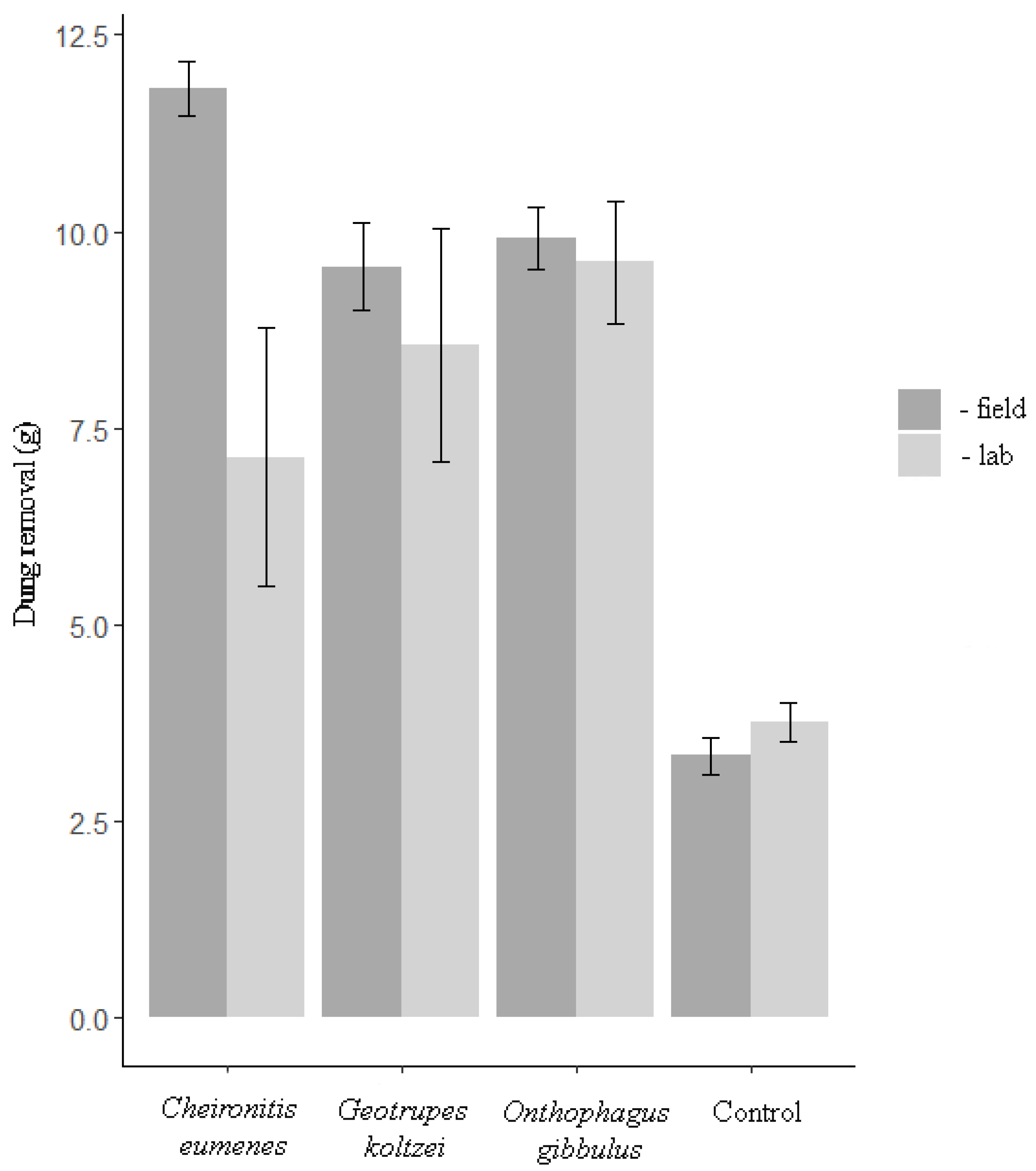
3.6. Experimental Conditions
4. Discussion
5. Conclusions
Author Contributions
Funding
Institutional Review Board Statement
Data Availability Statement
Acknowledgments
Conflicts of Interest
References
- Pecenka, J.R.; Lungren, J.G. The importance of dung beetles and arthropod communities on degradation of cattle dung pats in eastern South Dakota. PeerJ 2018, 6, e5220. [Google Scholar] [CrossRef] [PubMed]
- Milotić, T.; Baltzinger, C.; Eichberg, C.; Eycott, A.E.; Heurich, M.; Müller, J.; Noiega, J.A.; Menendez, R.; Stadler, J.; Adám, R.; et al. Dung beetle assemblages, dung removal and secondary seed dispersal: Data from a large-scale, multi-site experiment in the Western Palaearctic. Front. Biogeogr. 2018, 10, 1–2. [Google Scholar] [CrossRef]
- De Castro-Arrazola, I.; Hortal, J.; Ari Noriega, J.; Sánchez-Piñero, F. Assessing the functional relationship between dung beetle traits and dung removal, burial, and seedling emergence. Ecology 2020, 101, e03138. [Google Scholar] [CrossRef] [PubMed]
- Byk, A.; Piętka, J. Dung beetles and their role in the nature. Inst. Bad. Edu. 2018, 1, 17–26. [Google Scholar] [CrossRef]
- Alvarado, F.; Dáttilo, W.; Escobar, F. Linking dung beetle diversity and its ecological function in a gradient of livestock intensification management in the Neotropical region. Appl. Soil Ecol. 2019, 143, 173–180. [Google Scholar] [CrossRef]
- Maldonado, M.B.; Aranibar, J.N.; Serrano, A.M.; Chacoff, N.P.; Vázquez, D.P. Dung beetles and nutrient cycling a dryland environment. Catena 2019, 179, 66–73. [Google Scholar] [CrossRef]
- Badenhorst, J.; Dabrowski, J.; Scholtz, C.K.; Truter, W.F. Dung beetle activity improves herbaceous plant growth and soil properties on confinements simulating reclaimed mined land in South Africa. Appl. Soil Ecol. 2018, 132, 53–59. [Google Scholar] [CrossRef]
- Evans, K.S.; Mamo, M.; Wingeyer, A.; Schacht, W.H.; Eskridge, K.M.; Bradshaw, J.; Ginting, D. Soil fauna accelerate dung pat decomposition and nutrient cycling into grassland soil. Rangel. Ecol. Manag. 2019, 72, 667–677. [Google Scholar] [CrossRef]
- Doube, B.M. A functional classification for analysis of the structure of dung beetle assemblages. Ecol. Entomol. 1990, 15, 371–383. [Google Scholar] [CrossRef]
- Beynon, S.A.; Wainwright, W.A.; Christie, M. The application of an ecosystem services framework to estimate the economic value of dung beetles to the U.K. cattle industry. Ecol. Entomol. 2015, 40, 124–135. [Google Scholar] [CrossRef]
- Lopez-Collado, J.; Cruz-Rosales, M.; Vilaboa-Arroniz, J.; Martínez-Morales, I.; Gozalez-Hernández, H. Contribution of dung beetles to cattle productivity in the tropics: A stochastic-dynamic modeling approach. Agric. Syst. 2017, 155, 78–87. [Google Scholar] [CrossRef]
- Doube, B.M. Ecosystem services provided by dung beetles in Australia. Basic Appl. Ecol. 2018, 26, 35–49. [Google Scholar] [CrossRef]
- Forgie, S.A.; Paynter, Q.; Zhao, Z.; Flowers, C.; Fowler, S.V. Newly released non-native dung beetle species provide enhanced ecosystem services in New Zealand pastures. Ecol. Entomol. 2018, 43, 431–439. [Google Scholar] [CrossRef]
- Shahabuddin, S.; Manuwoto, S.; Hidayat, P.; Noerdjito, W.A.; Schulze, C.H. The role of coprophagous beetles on dung decomposition and enhancement of soil fertility: Effect of body size, species diversity and biomass. J. Biol. Indones. 2008, 5, 109–119. [Google Scholar]
- Nervo, B.; Tocco, C.; Caprio, E.; Palestrini, C.; Rolando, A. The effects of body mass on dung removal efficiency in dung beetles. PLoS ONE 2014, 9, e107699. [Google Scholar] [CrossRef] [PubMed]
- Tixier, T.; Bloor, J.M.G.; Lumaret, J.-P. Species-specific effects of dung beetle abundance on dung removal and leaf litter decomposition. Acta Oecol. 2015, 69, 31–34. [Google Scholar] [CrossRef]
- Basto-Estrella, G.S.; Rodríguez-Vivas, R.I.; Delfín-González, H.; Navarro-Alberto, J.A.; Favila, M.E.; Reyes-Novelo, E. Dung removal by dung beetles (Coleoptera: Scarabaeidae) and macrocyclic lactone use on cattle ranches of Yucatan, Mexico. Rev. Biol. Trop. 2016, 64, 945–954. [Google Scholar] [CrossRef]
- Ortega-Martínez, I.J.; Moreno, C.E.; Escobar, F. A dirty job: Manure removal by dung beetles in both a cattle ranch and laboratory setting. Entomol. Exp. Appl. 2016, 161, 70–78. [Google Scholar] [CrossRef]
- Batilani-Filho, M.; Hernández, M.I.M. Decline of ecological functions performed by dung beetles in areas of Atlantic forest and contribution of roller and tunnellers in organic matter removal. Environ. Entomol. 2017, 45, 784–793. [Google Scholar] [CrossRef]
- Nunes, C.A.; Braga, R.F.; Resende, F.M.; Neves, F.S.; Figueira, J.E.C.; Fernandes, G.W. Linking biodiversity, the environment and ecosystem functioning: Ecological functions of dung beetles along a tropical elevational gradient. Ecosyst 2018, 21, 1244–1254. [Google Scholar] [CrossRef]
- Braga, P.B.; Luiza de Carvalho, R.; Louzada, J.N.C.; Audino, L.D. Dung type or intraspecific variation in biomassL what is more important in determining dung beetle ecological function? Oecol. Aust. 2019, 23, 536–547. [Google Scholar] [CrossRef]
- Conover, D.; Dubeux, J.; Martini, X. Phenology, distribution, and diversity of dung beetles (Coleoptera: Scarabaeidae) in North Florida’s pastures and forests. Environ. Ecol. 2019, 48, 847–855. [Google Scholar] [CrossRef] [PubMed]
- Giller, P.S.; Doube, B.M. Experimental analysis of inter and intraspecific competition in dung beetle communities. J. Anim. Ecol. 1989, 58, 129–142. [Google Scholar] [CrossRef]
- Hanski, I.; Cambefort, Y. Dung Beetle Ecology, 1st ed.; Princeton University Press: Princeton, NJ, USA, 1991; pp. 311–323. [Google Scholar]
- Buse, J.; Entling, M.H. Stronger dung removal in forests compared with grassland is driven by trait composition and biomass of dung beetles. Ecol. Entomol. 2019, 45, 223–231. [Google Scholar] [CrossRef]
- Holter, P.; Scholtz, C.H. What do dung beetles eat? Ecol. Entomol. 2007, 32, 690–697. [Google Scholar] [CrossRef]
- Bogoni, J.A.; Hernández, M.I.M. Attractiveness of native mammal’s feces of different tropical guilds to dung beetles (Coleoptera: Scarabaeinae). J. Insect Sci. 2014, 14, 1–7. [Google Scholar] [CrossRef]
- Holter, P. Herbivore dung as food for dung beetles: Elementary coprology for entomologists. Ecol. Entomol. 2016, 41, 367–377. [Google Scholar] [CrossRef]
- Martín-Piera, F.; Lobo, J.M. A comparative discussion of trophic preferences in dung beetle communities. Miscel. Zool. 1996, 19, 13–31. [Google Scholar]
- Giller, P.S.; Doube, B.M. Spatial and temporal co-occurrence of competitors in Southern African dung beetle communities. J. Anim. Ecol. 1994, 63, 629–643. [Google Scholar] [CrossRef]
- Yamada, D.; Imura, O.; Shi, K.; Shibuya, T. Effect of tunneller dung beetles on cattle dung decomposition, soil nutrients and herbage growth. Grassl. Sci. 2007, 53, 121–129. [Google Scholar] [CrossRef]
- Noriega, J.A.; March-Salas, M.; Castillo, S.; García-Q, H.; Hortal, J.; Santos, A.M.C. Human perturbations reduce dung beetle diversity and dung removal ecosystem function. Biotropica 2021, 53, 753–766. [Google Scholar] [CrossRef]
- Hirschberger, P. Spatial distribution, resource utilization and intraspecific competition in the dung beetle Aphodius ater. Oecologia 1998, 116, 136–142. [Google Scholar] [CrossRef] [PubMed]
- Finn, J.A.; Gittings, T. A review of competition in north temperate dung beetle communities. Ecol. Entomol. 2003, 28, 1–13. [Google Scholar] [CrossRef]
- Krell, F.; Krell-Weterwalbesloh, S.; Weib, I.; Eggleton, P.; Linsenmair, K.E. Spatial separation of Afrotropical dung beetle guilds: A trade-off between competitive superiority and energetic constraints (Coleoptera: Scarabaeidae). Ecogeg. 2003, 26, 210–222. [Google Scholar] [CrossRef]
- Hutton, S.A.; Giller, P.S. Intra and interspecific aggregation of north temperate dung beetles on standardized and natural dung pads: The influence of spatial scale. Ecol. Entomol. 2004, 29, 594–605. [Google Scholar] [CrossRef]
- Peck, S.B.; Forsyth, A. Composition, structure, and competitive behavior in a guild of Ecuadorian rain forest dung beetles (Coleoptera: Scarabaeidae). Can. J. Zool. 1982, 60, 1624–1634. [Google Scholar] [CrossRef]
- Janzen, D.H. Seasonal change in abundance of large nocturnal dung beetles (Scarabaeidae) in a Costa Rican deciduous forest and adjacent horse pasture. Oikos 1983, 41, 274–283. [Google Scholar] [CrossRef]
- Ridsdill-Smith, T.J.; Edwards, P.B. Biological control: Ecosystem functions provided by dung beetles. In Ecology and Evolution of Dung Beetles; Simmons, L.W., Ridsdill-Smith, T.J., Eds.; Blackwell Publishing Ltd.: West Sussex, UK, 2011; pp. 245–266. [Google Scholar]
- Bayartogtokh, B.; Otgonjargal, E. Assemblages of coprophilous beetles (Insecta: Coleoptera) in the pastureland of Central Mongolia. Mong. J. Biol. Sci. 2009, 7, 19–27. [Google Scholar] [CrossRef]
- Jargalsaikhan, P.; Enkhbayar, T.; Altangerel, G.; Enkhchimeg, T.; Dulguun, B.; Bayartogtokh, B. Communities of dung beetles (Scarabaeoidea) in the steppe of Mongolia. Mong. J. Biol. Sci. 2021, 19, 17–27. [Google Scholar] [CrossRef]
- Amore, V.; Silva, P.G.d.; Hensen, M.C.; Hernández, M.I.M.; Lobo, J.M. Variation in dung removal by dung beetles in subtropical Atlantic rainforests. Entomol. Exp. Appl. 2018, 166, 854–862. [Google Scholar] [CrossRef]
- Shabalin, S.A. Assembly of dung beetles (Coleoptera, Scarabaeoidea) inhabiting sheep droppings in the northern spurs of the Manchurian-Korean mountains (Russian Far East). Contemp. Probl. Ecol. 2021, 14, 500–514. [Google Scholar] [CrossRef]
- Bayartogtokh, B.; Kim, J.I.; Bae, Y.J. Lamellicorn beetles (Coleoptera: Scarabaeoidea) in Korea and Mongolia. Entomol. Res. 2012, 42, 211–218. [Google Scholar] [CrossRef]
- Bayartogtokh, B.; Munkhchuluun, B.; Jargalsaikhan, P.; Bayarsaikhan, U. Khar Yamaat nature reserve: Biodiversity, ecosystem features, threats and conservation management. Mong. J. Biol. Sci. 2021, 19, 3–15. [Google Scholar] [CrossRef]
- Samarina, N.N. Structure of radiation thermal balance of the steppe geosystem and crop fields in Eastern Mongolia. In Natural Conditions and Biological Resources of Mongolian People’s Republic; Sokolov, V.E., Ed.; Nauka: Moscow, Russia, 1986; pp. 48–49. (In Russian) [Google Scholar]
- Jargalsaikhan, L. Climate. In Structure and Dynamics of the Steppe Ecosystems of Eastern Mongolia (A Case Study at the Tumentsogt Research Station); Dmitriev, P.P., Jargalsaikhan, L., Eds.; KMK Scientific Press: Moscow, Russia, 2018; pp. 18–19. (In Russian) [Google Scholar]
- Tuvshintogtokh, I.; Ariungerel, D. Degradation of Mongolian grassland vegetation under overgrazing by livestock and its recovery by protection from livestock grazing. In The Mongolian Ecosystem Network: Environmental Issues Under Climate and Social Changes, Ecological Research Monographs; Yamamura, N., Fujita, N., Maekawa, A., Eds.; Springer: Tokyo, Japan, 2013; Volume 115, pp. 115–130. [Google Scholar] [CrossRef]
- R Core Team. R: A Language and Environment for Statistical Computing; R Foundation for Statistical Computing: Vienna, Austria, 2020. [Google Scholar]
- Slade, E.M.; Mann, D.J.; Villanueva, J.F.; Lewis, O.T. Experimental evidence for the effects of dung beetle functional group richness and composition on ecosystem function in a tropical forest. J. Anim. Ecol. 2007, 76, 1094–1104. [Google Scholar] [CrossRef] [PubMed]
- Stanbrook, R.; King, J.R. Dung beetle community composition affects dung turnover in subtropical US grassland. Ecol. Evol. 2022, 12, e8660. [Google Scholar] [CrossRef] [PubMed]
- Anduaga, S.; Huerta, C. Importance of dung incorporation activity by three species of Coprophagous beetle (Coleoptera: Scarabaeidae: Scarabaeinae) macrofauna in pastureland on “La Michilia” biosphere reserve in Durango, Mexico. Environ. Entomol. 2007, 36, 555–559. [Google Scholar] [CrossRef] [PubMed]
- Scholtz, C.H.; Davis, A.L.V.; Kryger, U. Evolutionary Biology and Conservation of Dung Beetles; Pensoft Publishers: Sofia, Bulgaria; Moscow, Russia, 2009; p. 74. [Google Scholar]
- Sato, H.; Imamori, M. Nesting behavior of a subsocial African ball-roller Kheper platynotus (Coleoptera, Scarabaeidae). Ecol. Entomol. 1987, 12, 415–425. [Google Scholar] [CrossRef]
- Byrne, M.; Dacke, M.; Nordström, P.; Scholtz, C.; Warrant, E. Visual cues used by ball-rolling dung beetles for orientation. J. Comp. Physiol. 2003, 189, 411–418. [Google Scholar] [CrossRef] [PubMed]
- Carvalho, R.L.; Frazão, F.; Ferreira-Châline, R.S.; Louzada, J.; Cordeiro, L.; France, F. Dung burial by roller dung beetles (Coleoptera: Scarabaeinae): An individual and specific-level study. Int. J. Trop. Insect Sci. 2018, 38, 373–380. [Google Scholar] [CrossRef]
- Gittings, T.; Giller, P.S. Resource quality and the colonization and succession of coprophagous dung beetles. Ecography 1998, 21, 581–592. [Google Scholar] [CrossRef]
- Puker, A.; Correa, C.M.A.; Korasaki, V.; Ferreira, K.R.; Oliveira, N.G. Dung beetles (Coleoptera: Scarabaeidae) attracted to dung of the largest herbivorous rodent on earth: A comparison with human feces. Environ. Entomol. 2013, 42, 1218–1225. [Google Scholar] [CrossRef] [PubMed]





| Species | Nesting Strategies | Body Length (mm) | Body Width (mm) | Dry Weight (mg) |
|---|---|---|---|---|
| Colobterus erraticus | Dweller (D) | 7.7 (±0.43) | 3.9 (±0.25) | 11 (±0.00) |
| Onthophagus bivertex | Tunneller (T1) | 7.4 (±0.40) | 4.2 (±0.23) | 17 (±0.00) |
| Onthophagus gibbulus | Tunneller (T2) | 10.5 (±1.04) | 6.0 (±0.65) | 53 (±0.06) |
| Gymnopleurus mopsus | Roller (R) | 14.1 (±1.27) | 9.2 (±1.05) | 120 (±0.04) |
| Cheironitis eumenes | Tunneller (T3) | 15.0 (±0.87) | 8.1 (±0.45) | 78 (±0.03) |
| Geotrupes koltzei | Tunneller (T4) | 20.2 (±1.52) | 11.5 (±0.86) | 260 (±0.06) |
| Species | 24 h | 48 h | % | 72 h | 96 h | % |
|---|---|---|---|---|---|---|
| Net Weight (g) | Net Weight (g) | |||||
| Colobterus erraticus | 2.19 | 1.33 | 96.5 | 0.52 | 0.19 | 0.7 |
| Onthophagus bivertex | 2.86 | 1.37 | 95.8 | 0.76 | 0.61 | 1.4 |
| Onthophagus gibbulus | 3.99 | 3.46 | 92.6 | 1.15 | 0.00 | 1.2 |
| Gymnopleurus mopsus | 1.40 | 2.26 | 96.3 | 0.13 | 0.51 | 0.6 |
| Cheironitis eumenes | 5.10 | 4.98 | 89.9 | 0.10 | 0.00 | 0.1 |
| Geotrupes koltzei | 4.30 | 1.93 | 93.8 | 1.62 | 0.60 | 2.2 |
| Species | 24 h | t | df | p | 48 h | t | df | p | ||
|---|---|---|---|---|---|---|---|---|---|---|
| Horse Dung | Cattle Dung | Horse Dung | Cattle Dung | |||||||
| Onthophagus bivertex | 3.59 ± 0.54 | 4.23 ± 0.30 | 2.34 | 6 | 0.05 | 3.01 ± 0.25 | 2.33 ± 0.37 | −3.42 | 7 | 0.01 |
| Onthophagus gibbulus | 6.27 ± 1.17 | 5.36 ± 0.27 | −1.68 | 4 | 0.16 | 3.34 ± 0.48 | 4.42 ± 0.89 | 2.34 | 6 | 0.05 |
| Gymnopleurus mopsus | 3.38 ± 0.41 | 3.71 ± 0.40 | 1.28 | 8 | 0.23 | 2.67 ± 0.31 | 1.26 ±0.19 | −8.61 | 7 | 0.0005 |
| Chironistis eumenes | 10.05 ± 1.01 | 6.47 ±1.82 | −3.84 | 6 | 0.007 | 0.66 ± 0.41 | 5.94 ± 1.10 | 10.08 | 5 | 0.0001 |
| Geotrupes koltzei | 5.22 ± 1.35 | 5.67 ± 0.47 | 0.70 | 5 | 0.51 | 3.34 ± 0.37 | 2.73 ± 1.09 | −0.86 | 5 | 0.42 |
| Control | 1.96 ± 0.12 | 1.37 ± 0.26 | −4.59 | 6 | 0.004 | 1.81 ± 0.35 | 0.96 ± 0.51 | −3.04 | 7 | 0.01 |
| Species | Number of Individuals | Dung Removal (g) | |||||||||
|---|---|---|---|---|---|---|---|---|---|---|---|
| 24 h | R2 | F | df | p | 48 h | R2 | F | df | p | ||
| Colobterus erraticus | 7 | 3.56 ± 0.30 | 0.78 | 47.53 | 13 | <0.0001 | 2.29 ± 0.54 | 0.74 | 37.74 | 13 | <0.0001 |
| 14 | 1.64 ± 0.34 | 1.18 ± 0.03 | |||||||||
| 28 | 0.89 ± 0.15 | 0.61 ± 0.10 | |||||||||
| Onthophagus bivertex | 3 | 4.32 ± 0.12 | 0.87 | 67.51 | 10 | <0.00001 | 1.62 ± 0.06 | 71.95 | 10 | <0.00001 | |
| 7 | 2.11 ± 0.15 | 1.16 ± 0.18 | 0.87 | ||||||||
| 14 | 0.90 ± 0.06 | 0.70 ± 0.04 | |||||||||
| Onthophagus gibbulus | 3 | 5.03 ± 0.79 | 0.77 | 44.36 | 13 | <0.0001 | 2.84 ± 0.45 | 0.77 | 43.59 | 13 | <0.0001 |
| 7 | 2.68 ± 0.13 | 2.21 ± 0.45 | |||||||||
| 14 | 1.69 ± 0.35 | 1.35 ± 0.06 | |||||||||
| Gymnopleurus mopsus | 3 | 10.89 ± 1.25 | 0.71 | 32.37 | 13 | <0.0001 | 4.71 ± 0.58 | 0.61 | 20.88 | 13 | <0.001 |
| 7 | 3.71 ± 0.40 | 1.26 ± 0.19 | |||||||||
| 14 | 2.40 ± 0.36 | 1.08 ± 0.36 | |||||||||
| Cheironitis eumenes | 3 | 9.98 ± 2.34 | 0.55 | 11.08 | 9 | <0.01 | 5.73 ± 1.24 | 0.64 | 16.68 | 9 | <0.01 |
| 7 | 6.47 ± 1.82 | 5.94 ± 1.10 | |||||||||
| 14 | 4.65 ± 0.30 | 1.81 ± 0.56 | |||||||||
| Geotrupes koltzei | 1 | 16.39 ± 2.89 | 0.79 | 47.03 | 12 | <0.0001 | 9.40 ± 2.12 | 0.75 | 37.34 | 12 | <0.0001 |
| 3 | 9.46 ± 0.74 | 5.88 ± 1.24 | |||||||||
| 7 | 5.67 ± 0.47 | 2.89 ± 1.09 | |||||||||
Disclaimer/Publisher’s Note: The statements, opinions and data contained in all publications are solely those of the individual author(s) and contributor(s) and not of MDPI and/or the editor(s). MDPI and/or the editor(s) disclaim responsibility for any injury to people or property resulting from any ideas, methods, instructions or products referred to in the content. |
© 2023 by the authors. Licensee MDPI, Basel, Switzerland. This article is an open access article distributed under the terms and conditions of the Creative Commons Attribution (CC BY) license (https://creativecommons.org/licenses/by/4.0/).
Share and Cite
Jargalsaikhan, P.; Altangerel, G.; Enkhchimeg, T.; Aibek, U.; Bayartogtokh, B. Variation in Dung Removal Rates by Dung Beetles (Coleoptera: Scarabaeoidea) in a Temperate, Dry Steppe Ecosystem. Diversity 2023, 15, 91. https://doi.org/10.3390/d15010091
Jargalsaikhan P, Altangerel G, Enkhchimeg T, Aibek U, Bayartogtokh B. Variation in Dung Removal Rates by Dung Beetles (Coleoptera: Scarabaeoidea) in a Temperate, Dry Steppe Ecosystem. Diversity. 2023; 15(1):91. https://doi.org/10.3390/d15010091
Chicago/Turabian StyleJargalsaikhan, Purevdorj, Gombo Altangerel, Tsedev Enkhchimeg, Ulykpan Aibek, and Badamdorj Bayartogtokh. 2023. "Variation in Dung Removal Rates by Dung Beetles (Coleoptera: Scarabaeoidea) in a Temperate, Dry Steppe Ecosystem" Diversity 15, no. 1: 91. https://doi.org/10.3390/d15010091
APA StyleJargalsaikhan, P., Altangerel, G., Enkhchimeg, T., Aibek, U., & Bayartogtokh, B. (2023). Variation in Dung Removal Rates by Dung Beetles (Coleoptera: Scarabaeoidea) in a Temperate, Dry Steppe Ecosystem. Diversity, 15(1), 91. https://doi.org/10.3390/d15010091
