Spatio-Temporal Variation in Bird Assemblages in a Subtropical Urban Ecosystem
Abstract
Simple Summary
Abstract
1. Introduction
2. Materials and Methods
2.1. Study Area
2.2. Selection of Sampling Sites
2.3. Bird Surveys and Documenting Disturbance
2.4. Vegetation Survey
2.5. Classification of Land Cover and Acquisition of Landscape Indices
2.6. Data Analysis
3. Results
3.1. Bird Community Structure and Distribution Patterns with Respect to Habitat Type and Season
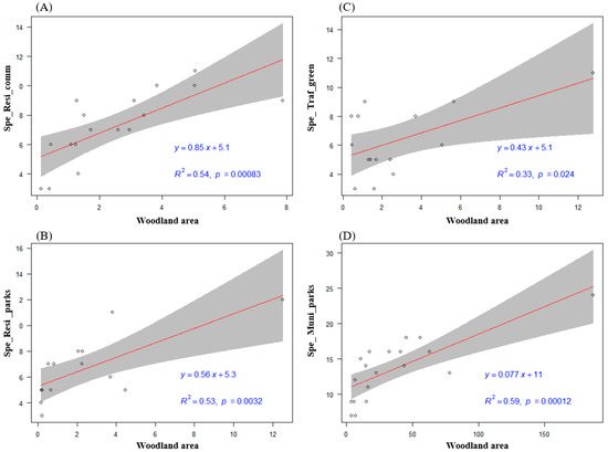
3.2. Key Predictive Environmental Factors for Bird Communities across Habitat Types and Seasons
3.3. Seasonal Distribution Pattern of Bird Species and Individuals across Habitats
4. Discussion
5. Conclusions
Supplementary Materials
Author Contributions
Funding
Institutional Review Board Statement
Informed Consent Statement
Data Availability Statement
Acknowledgments
Conflicts of Interest
References
- Vitousek, P.M.; Mooney, H.A.; Lubchenco, J.; Melillo, J.M. Human domination of Earth’s ecosystems. Science 1997, 277, 494–499. [Google Scholar] [CrossRef]
- Grimm, N.B.; Faeth, S.H.; Golubiewski, N.E.; Redman, C.L.; Wu, J.; Bai, X.; Briggs, J.M. Global change and the ecology of cities. Science 2008, 319, 756–760. [Google Scholar] [CrossRef]
- Seto, K.C.; Gueneralp, B.; Hutyra, L.R. Global forecasts of urban expansion to 2030 and direct impacts on biodiversity and carbon pools. Proc. Natl. Acad. Sci. USA 2012, 109, 16083–16088. [Google Scholar] [CrossRef] [PubMed]
- Wu, J. Urban ecology and sustainability: The state-of-the-science and future directions. Landsc. Urban Plan. 2014, 125, 209–221. [Google Scholar] [CrossRef]
- Wu, J. Urban sustainability: An inevitable goal of landscape research. Landsc. Ecol. 2010, 25, 1–4. [Google Scholar] [CrossRef]
- Fuller, R.A.; Irvine, K.N.; Devine-Wright, P.; Warren, P.H.; Gaston, K.J. Psychological benefits of greenspace increase with biodiversity. Biol. Lett. 2007, 3, 390–394. [Google Scholar] [CrossRef] [PubMed]
- Yam, R.S.W.; Huang, K.-P.; Hsieh, H.-L.; Lin, H.-J.; Huang, S.-C. An Ecosystem-Service Approach to Evaluate the Role of Non-Native Species in Urbanized Wetlands. Int. J. Environ. Res. Public Health 2015, 12, 3926–3943. [Google Scholar] [CrossRef] [PubMed]
- Cox, D.T.C.; Gaston, K.J. Urban Bird Feeding: Connecting People with Nature. PLoS ONE 2016, 11, e0158717. [Google Scholar]
- Cox, D.T.C.; Shanahan, D.F.; Hudson, H.L.; Plummer, K.E.; Siriwardena, G.M.; Fuller, R.A.; Anderson, K.; Hancock, S.; Gaston, K.J. Doses of Neighborhood Nature: The Benefits for Mental Health of Living with Nature. BioScience 2017, 67, 147–155. [Google Scholar] [CrossRef]
- Diego Ibanez-Alamo, J.; Rubio, E.; Benedetti, Y.; Morelli, F. Global loss of avian evolutionary uniqueness in urban areas. Glob. Chang. Biol. 2017, 23, 2990–2998. [Google Scholar] [CrossRef] [PubMed]
- Evans, B.S.; Reitsma, R.; Hurlbert, A.H.; Marra, P.P. Environmental filtering of avian communities along a rural-to-urban gradient in Greater Washington, DC, USA. Ecosphere 2018, 9, e02402. [Google Scholar] [CrossRef]
- Hensley, C.B.; Trisos, C.H.; Warren, P.S.; MacFarland, J.; Blumenshine, S.; Reece, J.; Katti, M. Effects of Urbanization on Native Bird Species in Three Southwestern US Cities. Front. Ecol. Evol. 2019, 7, 71. [Google Scholar] [CrossRef]
- Rands, M.R.W.; Adams, W.M.; Bennun, L.; Butchart, S.H.M.; Clements, A.; Coomes, D.; Entwistle, A.; Hodge, I.; Kapos, V.; Scharlemann, J.P.W.; et al. Biodiversity Conservation: Challenges Beyond 2010. Science 2010, 329, 1298–1303. [Google Scholar] [CrossRef]
- Sekercioglu, C.H. Increasing awareness of avian ecological function. Trends Ecol. Evol. 2006, 21, 464–471. [Google Scholar] [CrossRef]
- Sandstrom, U.G.; Angelstam, P.; Mikusinski, G. Ecological diversity of birds in relation to the structure of urban green space. Landsc. Urban Plan. 2006, 77, 39–53. [Google Scholar] [CrossRef]
- Drinnan, I.N. The search for fragmentation thresholds in a Southern Sydney Suburb. Biol. Conserv. 2005, 124, 339–349. [Google Scholar] [CrossRef]
- Shanahan, D.F.; Miller, C.; Possingham, H.; Fuller, R. The influence of patch area and connectivity on avian communities in urban revegetation. Biol. Conserv. 2011, 144, 722–729. [Google Scholar] [CrossRef]
- Xu, X.; Xie, Y.; Qi, K.; Luo, Z.; Wang, X. Detecting the response of bird communities and biodiversity to habitat loss and fragmentation due to urbanization. Sci. Total Environ. 2018, 624, 1561–1576. [Google Scholar] [CrossRef] [PubMed]
- De Camargo, R.X.; Boucher-Lalonde, V.; Currie, D.J. At the landscape level, birds respond strongly to habitat amount but weakly to fragmentation. Divers. Distrib. 2018, 24, 629–639. [Google Scholar] [CrossRef]
- Gaston, K.J. Global patterns in biodiversity. Nature 2000, 405, 220–227. [Google Scholar] [CrossRef]
- Leveau, L.M.; Ruggiero, A.; Matthews, T.J.; Bellocq, M.I. A global consistent positive effect of urban green area size on bird richness. Avian Res. 2019, 10, 30. [Google Scholar] [CrossRef]
- Prevedello, J.A.; Vieira, M.V. Does the type of matrix matter? A quantitative review of the evidence. Biodivers. Conserv. 2010, 19, 1205–1223. [Google Scholar] [CrossRef]
- Beninde, J.; Veith, M.; Hochkirch, A. Biodiversity in cities needs space: A meta-analysis of factors determining intra-urban biodiversity variation. Ecol. Lett. 2015, 18, 581–592. [Google Scholar] [CrossRef] [PubMed]
- Matsuba, M.; Nishijima, S.; Katoh, K. Effectiveness of corridor vegetation depends on urbanization tolerance of forest birds in central Tokyo, Japan. Urban For. Urban Green. 2016, 18, 173–181. [Google Scholar] [CrossRef]
- Imai, H.; Nakashizuka, T. Environmental factors affecting the composition and diversity of avian community in mid- to late breeding season in urban parks and green spaces. Landsc. Urban Plan. 2010, 96, 183–194. [Google Scholar] [CrossRef]
- Jankowski, J.E.; Merkord, C.L.; Rios, W.F.; Cabrera, K.G.; Revilla, N.S.; Silman, M.R. The relationship of tropical bird communities to tree species composition and vegetation structure along an Andean elevational gradient. J. Biogeogr. 2013, 40, 950–962. [Google Scholar] [CrossRef]
- Xie, S.; Lu, F.; Cao, L.; Zhou, W.; Ouyang, Z. Multi-scale factors influencing the characteristics of avian communities in urban parks across Beijing during the breeding season. Sci. Rep. 2016, 6, 29350. [Google Scholar] [CrossRef]
- Carbo-Ramirez, P.; Zuria, I. The value of small urban greenspaces for birds in a Mexican city. Landsc. Urban Plan. 2011, 100, 213–222. [Google Scholar] [CrossRef]
- Proppe, D.S.; Sturdy, C.B.; St Clair, C.C. Anthropogenic noise decreases urban songbird diversity and may contribute to homogenization. Glob. Chang. Biol. 2013, 19, 1075–1084. [Google Scholar] [CrossRef]
- Both, C.; Bouwhuis, S.; Lessells, C.M.; Visser, M.E. Climate change and population declines in a long-distance migratory bird. Nature 2006, 441, 81–83. [Google Scholar] [CrossRef] [PubMed]
- Hobson, K.A. Tracing origins and migration of wildlife using stable isotopes: A review. Oecologia 1999, 120, 314–326. [Google Scholar] [CrossRef] [PubMed]
- Nathan, R.; Monk, C.T.; Arlinghaus, R.; Adam, T.; Alós, J.; Assaf, M.; Baktoft, H.; Beardsworth, C.E.; Bertram, M.G.; Bijleveld, A.I.; et al. Big-data approaches lead to an increased understanding of the ecology of animal movement. Science 2022, 375, 734. [Google Scholar] [CrossRef] [PubMed]
- Groom, C.; White, N.E.; Mitchell, N.; Roberts, J.D.; Mawson, P. Assessing the spatial ecology and resource use of a mobile and endangered species in an urbanized landscape using satellite telemetry and DNA faecal metabarcoding. Ibis 2017, 159, 390–405. [Google Scholar] [CrossRef]
- Rose, E.; Nagel, P. Spatio-temporal use of the urban habitat by feral pigeons (Columba livia). Behav. Ecol. Sociobiol. 2006, 60, 242–254. [Google Scholar] [CrossRef]
- Xie, S.; Ouyang, Z.; Gong, C.; Meng, N.; Lu, F. Seasonal fluctuations of urban birds and their responses to immigration: An example from Macau, China. Urban For. Urban Green. 2021, 59, 126936. [Google Scholar] [CrossRef]
- Rega-Brodsky, C.C.; Aronson, M.F.J.; Piana, M.R.; Carpenter, E.-S.; Hahs, A.K.; Herrera-Montes, A.; Knapp, S.; Kotze, D.J.; Lepczyk, C.A.; Moretti, M.; et al. Urban biodiversity: State of the science and future directions. Urban Ecosyst. 2022, 1–14. [Google Scholar] [CrossRef]
- Huang, X.; Han, X.; Ma, S.; Lin, T.; Gong, J. Monitoring ecosystem service change in the City of Shenzhen by the use of high-resolution remotely sensed imagery and deep learning. Land Degrad. Dev. 2019, 30, 1490–1501. [Google Scholar] [CrossRef]
- Gregory, R.D.; Gibbons, D.W.; Donald, P.F. Bird census and survey techniques. In Bird Ecology and Conservation; A Handbook of Techniques; Oxford University Press: Oxford, UK, 2004; pp. 17–55. [Google Scholar]
- Lee, M.-B.; Rotenberry, J.T. Effects of land use on riparian birds in a semiarid region. J. Arid. Environ. 2015, 119, 61–69. [Google Scholar] [CrossRef]
- Zheng, G.M. Ornithology; Beijing Normal University Press: Beijing, China, 2012. (In Chinese). [Google Scholar]
- Kwok, H.K.; Corlett, R.T. The bird communities of a natural secondary forest and a Lophostemon confertus plantation in Hong Kong, South China. For. Ecol. Manag. 2000, 130, 227–234. [Google Scholar] [CrossRef]
- Zheng, G.M. A Checklist on the Classification and Distribution of the Birds of China, 3rd ed.; Science Press: Beijing, China, 2017. (In Chinese). [Google Scholar]
- McCune, B.P.; Grace, J.B. Analysis of Ecological Communities. J. Exp. Mar. Biol. Ecol. 2002, 289, 448. [Google Scholar]
- Dixon, P. VEGAN, a package of R functions for community ecology. J. Veg. Sci. 2003, 14, 927–930. [Google Scholar] [CrossRef]
- Burnham, K.P.; Anderson, D.R. Model Selection and Multimodel Inference, 2nd ed.; Springer: New York, NY, USA, 2002. [Google Scholar]
- Paradis, E.; Claude, J.; Strimmer, K. APE: Analyses of Phylogenetics and Evolution in R language. Bioinformatics 2004, 20, 289–290. [Google Scholar] [CrossRef] [PubMed]
- Bartoń, K. MuMIn: Multi-Model Inference. R Package Version 1.10.5; R Foundation for Statistical Computing: Vienna, Austria, 2014; Available online: http://cran.r-project.org/web/packages/MuMIn/index.html (accessed on 21 October 2020).
- Fox, J.; Weisberg, S. Car: Companion to Applied Regression. R Package Version 2.0–2. 2010. Available online: http://CRAN.R-project.org/package=car (accessed on 21 October 2020).
- R Development Core Team. R: A Language and Environment for Statistical Computing; R Foundation for Statistical Computing: Vienna, Austria, 2010; ISBN 3-900051-07-0. [Google Scholar]
- Palacio, F.X.; Ibañez, L.M.; Maragliano, R.E.; Montalti, D. Urbanization as a driver of taxonomic, functional, and phylogenetic diversity losses in bird communities. Can. J. Zool. 2018, 96, 1114–1121. [Google Scholar] [CrossRef]
- Chamberlain, D.E.; Gough, S.; Vaughan, H.; Vickery, J.A.; Appleton, G.F. Determinants of bird species richness in public green spaces. Bird Study 2007, 54, 87–97. [Google Scholar] [CrossRef]
- Shih, W.-Y. Bird diversity of greenspaces in the densely developed city centre of Taipei. Urban Ecosyst. 2018, 21, 379–393. [Google Scholar] [CrossRef]
- Kim, J.; Chae, J.; Koo, T.-H. Variation in bird diversity in relation to habitat size in the urban landscape of Seoul, South Korea. Acta Ornithol. 2007, 42, 39–44. [Google Scholar] [CrossRef][Green Version]





| Variable | Description | Data Sources | Mean (Range) |
|---|---|---|---|
| Wood/_2b/_1 kmb (ha) | Woodland area in each sample site/within the 200 m/1000 m buffer region of each site | Obtained from the classified QuickBird imagery | 12.13 (0.13–186.69); 13.44 (0.70–47.53); 148.94 (42.14–326.71) |
| %Wood_2b/1 kmb | Forest cover rate within the 200 m/1000 m buffer region of each site | 28.60 (5.60–56.93); 31.22 (9.94–78.57) | |
| %Seal_2b/1 kmb | Percentage of sealed surface within the 200 m/1000 m buffer region of each site | 67.37 (20.59–93.05); 63.68 (16.12–90.06) | |
| ConnWood_2b/1 kmb | Connectivity index of woodland patches within the 200 m/1000 m buffer region of each site | 5.49 (0.65–32.33); 0.32 (−0.69–5.90) | |
| CoheWood_2b/1 kmb | Cohesion index of woodland patches within the 200 m/1000 m buffer region of each site | 92.37 (61.94–99.67); 96.00 (82.62–99.93) | |
| LPIWood/_2b/_1 kmb | Largest patch index of woodland patches in each sample site/within the 200 m/1000 m buffer region of each site | 49.28 (2.86–98.90); 12.18 (1.09–53.86); 12.25 (0.64–59.27) | |
| ConnWood | Connectivity index of woodland patches within each residential community sample site | 21.48 (7.53–53.33) | |
| Length (km) | Total length of the long axis of each sampled roadside green belt | Measured in Google Earth | 1.01 (0.60–2.50) |
| Width (m) | Average plantation width of each roadside green spaces sample site | Wood/Length × 2 | 14.46 (7.02–25.17) |
| Group | A_Breed/Wint | Observe_Delta _Breed/Wint | Expect_Delta _Breed/Wint | p_Value _Breed/Wint |
|---|---|---|---|---|
| all | 0.11/0.11 | 0.47/0.50 | 0.54/0.56 | 0.001/0.001 |
| Resi_parks/Resi_comm | 0.04/0.02 | 0.44/0.50 | 0.46/0.51 | 0.002/0.05 |
| Resi_parks/Muni_parks | 0.10/0.10 | 0.49/0.55 | 0.54/0.61 | 0.001/0.001 |
| Resi_parks/Traf_green | 0.00/−0.01 | 0.48/0.53 | 0.48/0.52 | 0.348/0.783 |
| Resi_comm/Muni_parks | 0.10/0.11 | 0.47/0.48 | 0.52/0.54 | 0.001/0.001 |
| Resi_comm/Traf_green | 0.02/0.02 | 0.46/0.46 | 0.47/0.46 | 0.01/0.062 |
| Muni_parks/Traf_green | 0.08/0.12 | 0.51/0.50 | 0.55/0.57 | 0.001/0.001 |
Publisher’s Note: MDPI stays neutral with regard to jurisdictional claims in published maps and institutional affiliations. |
© 2022 by the authors. Licensee MDPI, Basel, Switzerland. This article is an open access article distributed under the terms and conditions of the Creative Commons Attribution (CC BY) license (https://creativecommons.org/licenses/by/4.0/).
Share and Cite
Xie, S.; Han, B.; Zhou, W.; Xian, C.; Ouyang, Z. Spatio-Temporal Variation in Bird Assemblages in a Subtropical Urban Ecosystem. Diversity 2022, 14, 341. https://doi.org/10.3390/d14050341
Xie S, Han B, Zhou W, Xian C, Ouyang Z. Spatio-Temporal Variation in Bird Assemblages in a Subtropical Urban Ecosystem. Diversity. 2022; 14(5):341. https://doi.org/10.3390/d14050341
Chicago/Turabian StyleXie, Shilin, Baolong Han, Weiqi Zhou, Chaofan Xian, and Zhiyun Ouyang. 2022. "Spatio-Temporal Variation in Bird Assemblages in a Subtropical Urban Ecosystem" Diversity 14, no. 5: 341. https://doi.org/10.3390/d14050341
APA StyleXie, S., Han, B., Zhou, W., Xian, C., & Ouyang, Z. (2022). Spatio-Temporal Variation in Bird Assemblages in a Subtropical Urban Ecosystem. Diversity, 14(5), 341. https://doi.org/10.3390/d14050341

