Spatiotemporal Variation in Coral Assemblages and Reef Habitat Complexity among Shallow Fore-Reef Sites in the Florida Keys National Marine Sanctuary
(This article belongs to the Section Marine Diversity)
Abstract
:1. Introduction
2. Materials and Methods
2.1. Study System
2.2. RVC Habitat Surveys
2.3. SfM Image Acquistion
2.4. D Habitat Reconstruction Workflow
2.5. Quantifying Habitat Complexity Metrics
2.6. Characterizing Coral Assemblages
2.7. Statistical Analyses RVC Data
2.8. Statistical Analyses of Orthoimage Analysis and Mapping
3. Results
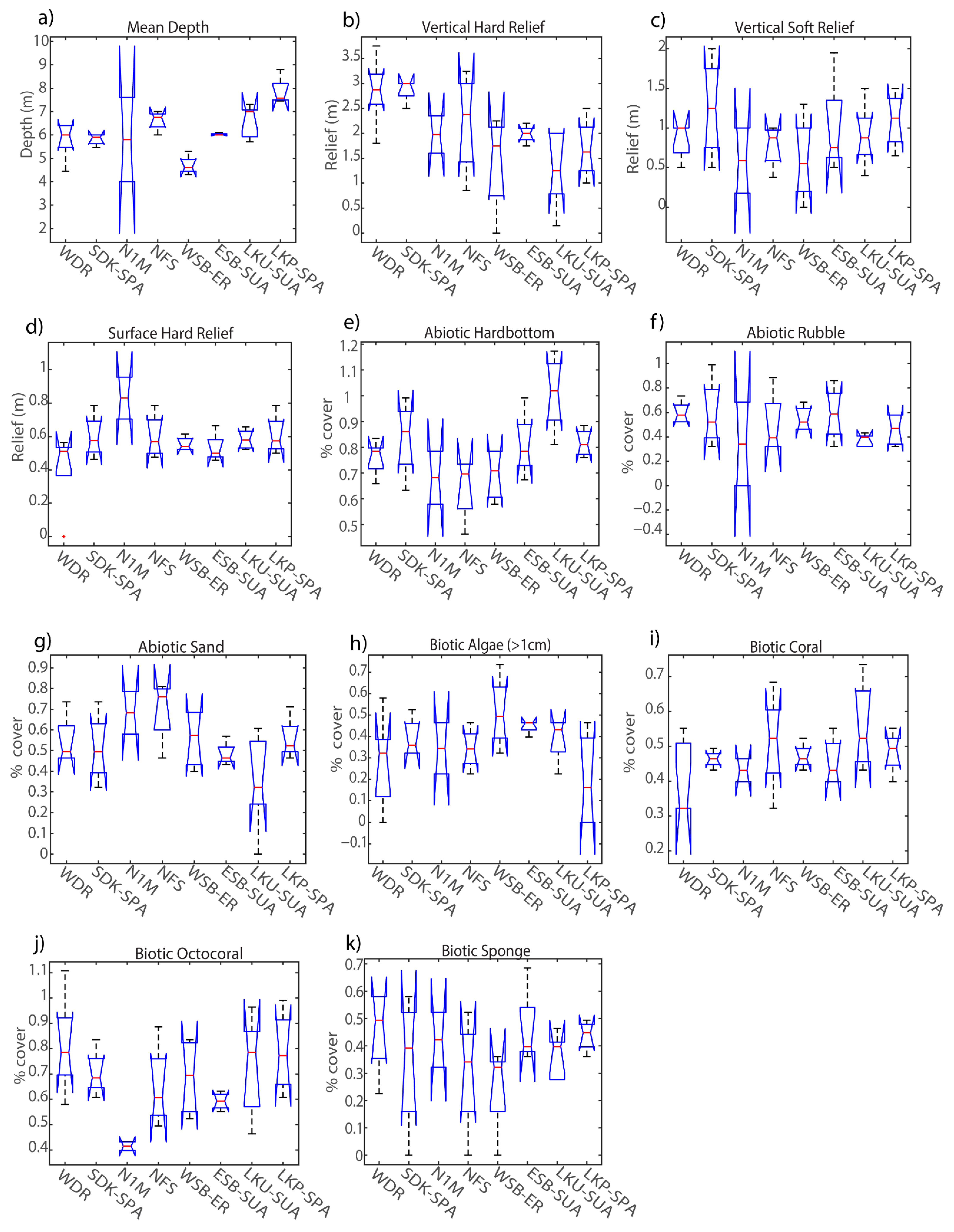
3.1. RVC Survey Results
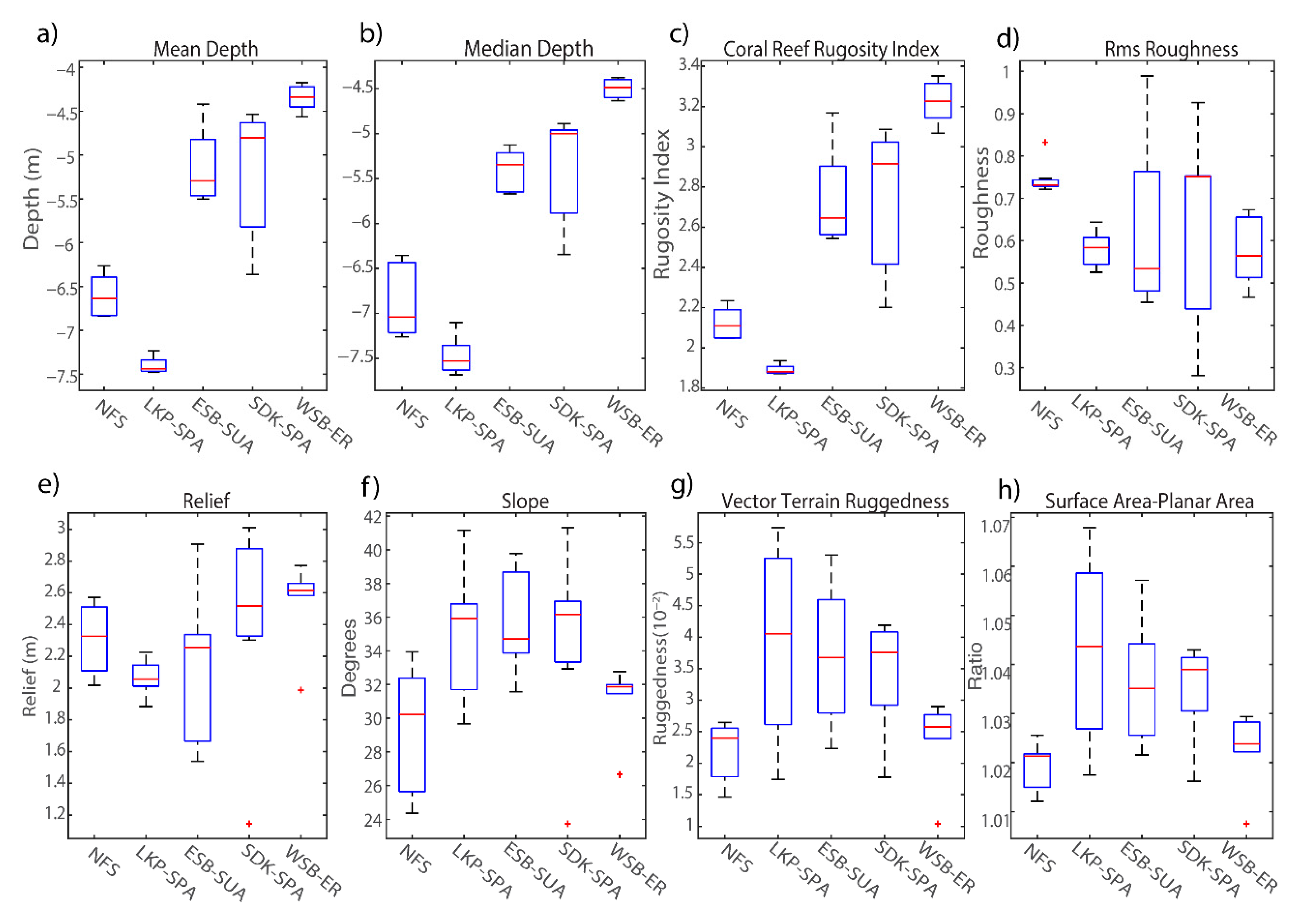
3.2. Digital Elevation Model (DEM) Topographic Results
3.3. Orthoimage Analysis Benthic Composition Results
3.4. Comparison of RVC and SfM Methods
4. Discussion
5. Conclusions
Supplementary Materials
Author Contributions
Funding
Institutional Review Board Statement
Informed Consent Statement
Data Availability Statement
Acknowledgments
Conflicts of Interest
References
- Spalding, M.; Spalding, M.D.; Ravilious, C.; Green, E.P. World Atlas of Coral Reefs; University of California Press: Oakland, CA, USA, 2001. [Google Scholar]
- Brander, L.M.; Van Beukering, P.; Cesar, H.S.J. The Recreational Value of Coral Reefs: A Meta-Analysis. Ecol. Econ. 2007, 63, 209–218. [Google Scholar] [CrossRef] [Green Version]
- Spalding, M.; Burke, L.; Wood, S.A.; Ashpole, J.; Hutchison, J.; zu Ermgassen, P. Mapping the Global Value and Distribution of Coral Reef Tourism. Mar. Policy 2017, 82, 104–113. [Google Scholar] [CrossRef]
- Ferrario, F.; Beck, M.W.; Storlazzi, C.D.; Micheli, F.; Shepard, C.C.; Airoldi, L. The Effectiveness of Coral Reefs for Coastal Hazard Risk Reduction and Adaptation. Nat. Commun. 2014, 5, 3794. [Google Scholar] [CrossRef] [PubMed]
- Cinner, J. Coral Reef Livelihoods. Curr. Opin. Environ. Sustain. 2014, 7, 65–71. [Google Scholar] [CrossRef]
- Hicks, C.C.; Cinner, J.E. Social, Institutional, and Knowledge Mechanisms Mediate Diverse Ecosystem Service Benefits from Coral Reefs. Proc. Natl. Acad. Sci. USA 2014, 111, 17791–17796. [Google Scholar] [CrossRef] [PubMed] [Green Version]
- Woodhead, A.J.; Hicks, C.C.; Norström, A.V.; Williams, G.J.; Graham, N.A.J. Coral Reef Ecosystem Services in the Anthropocene. Funct. Ecol. 2019, 33, 1023–1034. [Google Scholar] [CrossRef] [Green Version]
- Hoegh-Guldberg, O.; Mumby, P.J.; Hooten, A.J.; Steneck, R.S.; Greenfield, P.; Gomez, E.; Harvell, C.D.; Sale, P.F.; Edwards, A.J.; Caldeira, K.; et al. Coral Reefs under Rapid Climate Change and Ocean Acidification. Science 2007, 318, 1737–1742. [Google Scholar] [CrossRef] [Green Version]
- Albert, J.A.; Olds, A.D.; Albert, S.; Cruz-Trinidad, A.; Schwarz, A.M. Reaping the Reef: Provisioning Services from Coral Reefs in Solomon Islands. Mar. Policy 2015, 62, 244–251. [Google Scholar] [CrossRef]
- Grafeld, S.; Oleson, K.L.L.; Teneva, L.; Kittinger, J.N. Follow That Fish: Uncovering the Hidden Blue Economy in Coral Reef Fisheries. PLoS ONE 2017, 12, e0182194. [Google Scholar] [CrossRef] [Green Version]
- Haapkylä, J.; Unsworth, R.K.F.; Flavell, M.; Bourne, D.G.; Schaffelke, B.; Willis, B.L. Seasonal Rainfall and Runoff Promote Coral Disease on an Inshore Reef. PLoS ONE 2011, 6, e16893. [Google Scholar] [CrossRef]
- Staley, C.; Kaiser, T.; Gidley, M.L.; Enochs, I.C.; Jones, P.R.; Goodwin, K.D.; Sinigalliano, C.D.; Sadowsky, M.J.; Chun, C.L. Differential Impacts of Land-Based Sources of Pollution on the Microbiota of Southeast Florida Coral Reefs. Appl. Environ. Microbiol. 2017, 83, e03378-16. [Google Scholar] [CrossRef] [PubMed] [Green Version]
- Cunning, R.; Silverstein, R.N.; Barnes, B.B.; Baker, A.C. Extensive Coral Mortality and Critical Habitat Loss Following Dredging and Their Association with Remotely-Sensed Sediment Plumes. Mar. Pollut. Bull. 2019, 145, 185–199. [Google Scholar] [CrossRef] [PubMed]
- Gintert, B.E.; Precht, W.F.; Fura, R.; Rogers, K.; Rice, M.; Precht, L.L.; D’Alessandro, M.; Croop, J.; Vilmar, C.; Robbart, M.L. Regional Coral Disease Outbreak Overwhelms Impacts from a Local Dredge Project. Environ. Monit. Assess. 2019, 191, 630. [Google Scholar] [CrossRef] [PubMed]
- Carter, A.L.; Edwards, C.B.; Fox, M.D.; Amir, C.G.; Eynaud, Y.; Johnson, M.D.; Lewis, L.S.; Sandin, S.A.; Smith, J.E. Changes in Benthic Community Composition Associated with the Outbreak of the Corallimorph, Rhodactis Howesii, at Palmyra Atoll. Coral Reefs 2019, 38, 1267–1279. [Google Scholar] [CrossRef]
- Figueroa, D.F.; McClure, A.; Figueroa, N.J.; Hicks, D.W. Hiding in Plain Sight: Invasive Coral Tubastraea Tagusensis (Scleractinia:Hexacorallia) in the Gulf of Mexico. Coral Reefs 2019, 38, 395–403. [Google Scholar] [CrossRef]
- Crivellaro, M.S.; Silveira, T.C.L.; Custódio, F.Y.; Battaglin, L.C.; de Sá Dechoum, M.; Fonseca, A.C.; Segal, B. Fighting on the Edge: Reproductive Effort and Population Structure of the Invasive Coral Tubastraea Coccinea in its Southern Atlantic Limit of Distribution Following Control Activities. Biol. Invasions 2021, 23, 811–823. [Google Scholar] [CrossRef]
- Alvarez-Filip, L.; Estrada-Saldívar, N.; Pérez-Cervantes, E.; Molina-Hernández, A.; González-Barrios, F.J. A Rapid Spread of the Stony Coral Tissue Loss Disease Outbreak in the Mexican Caribbean. PeerJ 2019, 7, e8069. [Google Scholar] [CrossRef] [Green Version]
- Estrada-Saldívar, N.; Molina-Hernández, A.; Pérez-Cervantes, E.; Medellín-Maldonado, F.; González-Barrios, F.J.; Alvarez-Filip, L. Reef-Scale Impacts of the Stony Coral Tissue Loss Disease Outbreak. Coral Reefs 2020, 39, 861–866. [Google Scholar] [CrossRef]
- Kaufman, M.L.; Watkins, E.; van Hooidonk, R.; Baker, A.C.; Lirman, D. Thermal History Influences Lesion Recovery of the Threatened Caribbean Staghorn Coral Acropora Cervicornis under Heat Stress. Coral Reefs 2021, 40, 289–293. [Google Scholar] [CrossRef]
- Studivan, M.S.; Shatters, A.; Dodge, D.L.; Beal, J.L.; Voss, J.D. Synergistic Effects of Thermal Stress and Estuarine Discharge on Transcriptomic Variation of Montastraea Cavernosa Corals in Southeast Florida. Front. Mar. Sci. 2021, 8, 662220. [Google Scholar] [CrossRef]
- Riegl, B. Degradation of Reef Structure, Coral and Fish Communities in the Red Sea by Ship Groundings and Dynamite Fisheries. Bull. Mar. Sci. 2001, 69, 595–611. Available online: https://www-ingentaconnect-com.prox.lib.ncsu.edu/content/umrsmas/bullmar/2001/00000069/00000002/art00031# (accessed on 26 December 2021).
- Raymundo, L.J.; Licuanan, W.L.; Kerr, A.M. Adding Insult to Injury: Ship Groundings Are Associated with Coral Disease in a Pristine Reef. PLoS ONE 2018, 13, e0207078. [Google Scholar] [CrossRef] [PubMed] [Green Version]
- Lyons, P.J.; Arboleda, E.; Benkwitt, C.E.; Davis, B.; Gleason, M.; Howe, C.; Mathe, J.; Middleton, J.; Sikowitz, N.; Untersteggaber, L.; et al. The Effect of Recreational SCUBA Divers on the Structural Complexity and Benthic Assemblage of a Caribbean Coral Reef. Biodivers. Conserv. 2015, 24, 3491–3504. [Google Scholar] [CrossRef]
- Moberg, F.; Folke, C. Ecological Goods and Services of Coral Reef Ecosystems. Ecol. Econ. 1999, 29, 215–233. [Google Scholar] [CrossRef]
- Alvarez-Filip, L.; Carricart-Ganivet, J.P.; Horta-Puga, G.; Iglesias-Prieto, R. Shifts in Coral-Assemblage Composition Do Not Ensure Persistence of Reef Functionality. Sci. Rep. 2013, 3, 3486. [Google Scholar] [CrossRef]
- Rogers, A.; Blanchard, J.L.; Mumby, P.J. Vulnerability of Coral Reef Fisheries to a Loss of Structural Complexity. Curr. Biol. 2014, 24, 1000–1005. [Google Scholar] [CrossRef] [Green Version]
- Lester, S.E.; Halpern, B.S.; Grorud-Colvert, K.; Lubchenco, J.; Ruttenberg, B.I.; Gaines, S.D.; Airamé, S.; Warner, R.R. Biological Effects within No-Take Marine Reserves: A Global Synthesis. Mar. Ecol. Prog. Ser. 2009, 384, 33–46. [Google Scholar] [CrossRef]
- Edgar, G.J.; Stuart-Smith, R.D.; Willis, T.J.; Kininmonth, S.; Baker, S.C.; Banks, S.; Barrett, N.S.; Becerro, M.A.; Bernard, A.T.F.; Berkhout, J.; et al. Global Conservation Outcomes Depend on Marine Protected Areas with Five Key Features. Nature 2014, 6000, 216–220. [Google Scholar] [CrossRef] [Green Version]
- Manel, S.; Loiseau, N.; Andrello, M.; Fietz, K.; Goñi, R.; Forcada, A.; Lenfant, P.; Kininmonth, S.; Marcos, C.; Marques, V.; et al. Long-Distance Benefits of Marine Reserves: Myth or Reality? Trends Ecol. Evol. 2019, 34, 342–354. [Google Scholar] [CrossRef]
- Sponaugle, S.; Cowen, R.K. Coral Ecosystem Connectivity Between Pulley Ridge and the Florida Keys. In Mesophotic Coral Ecosystems. Coral Reefs of the World; Loya, Y., Puglise, K., Bridge, T., Eds.; Springer: Cham, Swiztland, 2019; Volume 3, pp. 897–907. [Google Scholar] [CrossRef]
- Boström-Einarsson, L.; Babcock, R.C.; Bayraktarov, E.; Ceccarelli, D.; Cook, N.; Ferse, S.C.A.; Hancock, B.; Harrison, P.; Hein, M.; Shaver, E.; et al. Coral Restoration—A Systematic Review of Current Methods, Successes, Failures and Future Directions. PLoS ONE 2020, 15, e0226631. [Google Scholar] [CrossRef]
- Gouezo, M.; Fabricius, K.; Harrison, P.; Golbuu, Y.; Doropoulos, C. Optimizing Coral Reef Recovery with Context-Specific Management Actions at Prioritized Reefs. J. Environ. Manage. 2021, 295, 113209. [Google Scholar] [CrossRef] [PubMed]
- Cheal, A.J.; Emslie, M.; MacNeil, M.A.; Miller, I.; Sweatman, H. Spatial Variation in the Functional Characteristics of Herbivorous Fish Communities and the Resilience of Coral Reefs. Ecol. Appl. 2013, 23, 174–188. [Google Scholar] [CrossRef] [PubMed] [Green Version]
- Zaneveld, J.R.; Burkepile, D.E.; Shantz, A.A.; Pritchard, C.E.; McMinds, R.; Payet, J.P.; Welsh, R.; Correa, A.M.S.; Lemoine, N.P.; Rosales, S.; et al. Overfishing and Nutrient Pollution Interact with Temperature to Disrupt Coral Reefs down to Microbial Scales. Nat. Commun. 2016, 7, 11833. [Google Scholar] [CrossRef] [PubMed]
- Ruttenberg, B.I.; Adam, T.C.; Duran, A.; Burkepile, D.E. Identity of Coral Reef Herbivores Drives Variation in Ecological Processes over Multiple Spatial Scales. Ecol. Appl. 2019, 29, e01893. [Google Scholar] [CrossRef]
- Goergen, E.A.; Schopmeyer, S.; Moulding, A.L.; Moura, A.; Kramer, P.; Viehman, T.S. Coral Reef Restoration Monitoring Guide: Methods to Evaluate Restoration Success from Local to Ecosystem Scales. In NOAA Technical Memorandum NOS NCCOS 279; NOAA: Silver Spring, MD, USA, 2020; p. 145. [Google Scholar] [CrossRef]
- Pittman, S.; Yates, K.; Bouchet, P.; Alvarez-Berastegui, D.; Andréfouët, S.; Bell, S.; Berkström, C.; Boström, C.; Brown, C.; Connolly, R.; et al. Seascape Ecology: Identifying Research Priorities for an Emerging Ocean Sustainability Science. Mar. Ecol. Prog. Ser. 2021, 663, 1–29. [Google Scholar] [CrossRef]
- Miller, M.W.; Bourque, A.S.; Bohnsack, J.A. An Analysis of the Loss of Acroporid Corals at Looe Key, Florida, USA: 1983–2000. Coral Reefs 2002, 21, 179–182. [Google Scholar] [CrossRef]
- Palandro, D.A.; Andréfouët, S.; Hu, C.; Hallock, P.; Müller-Karger, F.E.; Dustan, P.; Callahan, M.K.; Kranenburg, C.; Beaver, C.R. Quantification of Two Decades of Shallow-Water Coral Reef Habitat Decline in the Florida Keys National Marine Sanctuary Using Landsat Data (1984–2002). Remote Sens. Environ. 2008, 112, 3388–3399. [Google Scholar] [CrossRef]
- Figueira, W.; Ferrari, R.; Weatherby, E.; Porter, A.; Hawes, S.; Byrne, M. Accuracy and Precision of Habitat Structural Complexity Metrics Derived from Underwater Photogrammetry. Remote Sens. 2015, 7, 16883–16900. [Google Scholar] [CrossRef] [Green Version]
- Ferrari, R.; McKinnon, D.; He, H.; Smith, R.N.; Corke, P.; González-Rivero, M.; Mumby, P.J.; Upcroft, B. Quantifying Multiscale Habitat Structural Complexity: A Cost-Effective Framework for Underwater 3D Modelling. Remote Sens. 2016, 8, 113. [Google Scholar] [CrossRef] [Green Version]
- Fukunaga, A.; Burns, J.H.R.; Pascoe, K.H.; Kosaki, R.K. Associations between Benthic Cover and Habitat Complexity Metrics Obtained from 3D Reconstruction of Coral Reefs at Different Resolutions. Remote Sens. 2020, 12, 1011. [Google Scholar] [CrossRef] [Green Version]
- Phinn, S.R.; Roelfsema, C.M.; Mumby, P.J. Multi-Scale, Object-Based Image Analysis for Mapping Geomorphic and Ecological Zones on Coral Reefs. Int. J. Remote Sens. 2012, 33, 3768–3797. [Google Scholar] [CrossRef]
- Royer, J.P.; Nawaf, M.M.; Merad, D.; Saccone, M.; Bianchimani, O.; Garrabou, J.; Ledoux, J.B.; Lopez-Sanz, A.; Drap, P. Photogrammetric Surveys and Geometric Processes to Analyse and Monitor Red Coral Colonies. J. Mar. Sci. Eng. 2018, 6, 42. [Google Scholar] [CrossRef] [Green Version]
- Suman, D.; Shivlani, M.; Walter Milon, J. Perceptions and Attitudes Regarding Marine Reserves: A Comparison of Stakeholder Groups in the Florida Keys National Marine Sanctuary. Ocean Coast Manag. 1999, 42, 1019–1040. [Google Scholar] [CrossRef]
- Keller, B.; Donahue, S. Florida Keys National Marine Sanctuary U.S. Environmental Protection Agency State of Florida 2002—03 Sanctuary Science Report: An Ecosystem Report Card. In U.S. Department of Commerce, National Oceanic and Atmospheric Administration, National Ocean Service, Office of National Marine Sanctuaries, Florida Keys National Marine Sanctuary, Marathon, FL; 2006. Available online: http://sanctuaries.noaa.gov/science/conservation/pdfs/Keller1.pdf (accessed on 28 November 2021).
- Bruckner, A.W. Proceedings of the Caribbean Acropora Workshop: Potential Application of the U.S. Endangered Species Act as a Conservation Strategy. In NOAA Technical Memorandum NMFS-OPR-24; NOAA: Silver Springs, MD, USA, 2002; p. 199. Available online: https://repository.library.noaa.gov/view/noaa/435 (accessed on 28 November 2021).
- Hogarth, W.T. Endangered and Threatened Species: Final Listing Determinations for Elkhorn Coral and Staghorn Coral. Fed. Regist. 2006, 71, 26852–26861. Available online: https://www.federalregister.gov/documents/2006/05/09/06-4321/endangered-and-threatened-species-final-listing-determinations-for-elkhorn-coral-and-staghorn-coral (accessed on 28 January 2022).
- Miller, J.; Muller, E.; Rogers, C.; Waara, R.; Atkinson, A.; Whelan, K.R.T.; Patterson, M.; Witcher, B. Coral Disease Following Massive Bleaching in 2005 Causes 60% Decline in Coral Cover on Reefs in the US Virgin Islands. Coral Reefs 2009, 28, 925–937. [Google Scholar] [CrossRef] [Green Version]
- Lewis, C.L.; Neely, K.L.; Richardson, L.L.; Rodriguez-Lanetty, M. Temporal Dynamics of Black Band Disease Affecting Pillar Coral (Dendrogyra Cylindrus) Following Two Consecutive Hyperthermal Events on the Florida Reef Tract. Coral Reefs 2017, 36, 427–431. [Google Scholar] [CrossRef]
- Florida Fish and Wildlife Conservation Commission. A Species Action Plan for the Pillar Coral Dendrogyra Cylindrus Final Draft. 2013. Available online: https://myfwc.com/wildlifehabitats/wildlife/species-action-plans/ (accessed on 28 November 2021).
- Ruzicka, R.R.; Colella, M.A.; Porter, J.W.; Morrison, J.M.; Kidney, J.A.; Brinkhuis, V.; Lunz, K.S.; MacAulay, K.A.; Bartlett, L.A.; Meyers, M.K.; et al. Temporal Changes in Benthic Assemblages on Florida Keys Reefs 11 Years after the 1997/1998 El Niño. Mar. Ecol. Prog. Ser. 2013, 489, 125–141. [Google Scholar] [CrossRef] [Green Version]
- Precht, W.F.; Gintert, B.E.; Robbart, M.L.; Fura, R.; van Woesik, R. Unprecedented Disease-Related Coral Mortality in Southeastern Florida. Sci. Rep. 2016, 6, 31374. [Google Scholar] [CrossRef]
- Walton, C.J.; Hayes, N.K.; Gilliam, D.S. Impacts of a Regional, Multi-Year, Multi-Species Coral Disease Outbreak in Southeast Florida. Front. Mar. Sci. 2018, 5, 323. [Google Scholar] [CrossRef]
- Aeby, G.S.; Ushijima, B.; Campbell, J.E.; Jones, S.; Williams, G.J.; Meyer, J.L.; Häse, C.; Paul, V.J. Pathogenesis of a Tissue Loss Disease Affecting Multiple Species of Corals Along the Florida Reef Tract. Front. Mar. Sci. 2019, 6, 678. [Google Scholar] [CrossRef]
- Jones, N.P.; Figueiredo, J.; Gilliam, D.S. Thermal Stress-Related Spatiotemporal Variations in High-Latitude Coral Reef Benthic Communities. Coral Reefs 2020, 39, 1661–1673. [Google Scholar] [CrossRef]
- Rippe, J.P.; Kriefall, N.G.; Davies, S.W.; Castillo, K.D. Differential Disease Incidence and Mortality of Inner and Outer Reef Corals of the Upper Florida Keys in Association with a White Syndrome Outbreak. Bull. Mar. Sci. 2019, 95, 305–316. [Google Scholar] [CrossRef]
- Courtney, T.A.; Andersson, A.J. Evaluating Measurements of Coral Reef Net Ecosystem Calcification Rates. Coral Reefs 2019, 38, 997–1006. [Google Scholar] [CrossRef]
- Bohnsack, J.A.; Cantillo, A.Y.; Bello, M.J. Resource Survey of Looe Key National Marine Sanctuary 1983. United States Department of Commerce. In NOAA Technical Memorandum NMFS-SEFSC; 2002; Volume 478, p. 267. Available online: https://www.aoml.noaa.gov.general/lib/CEDAR_files/cedar106.pdf (accessed on 26 December 2021).
- Somerfield, P.J.; Jaap, W.C.; Clarke, K.R.; Callahan, M.; Hackett, K.; Porter, J.; Lybolt, M.; Tsokos, C.; Yanev, G. Changes in Coral Reef Communities among the Florida Keys, 1996–2003. Coral Reefs 2008, 27, 951–965. [Google Scholar] [CrossRef]
- Page, C.A.; Muller, E.M.; Vaughan, D.E. Microfragmenting for the Successful Restoration of Slow Growing Massive Corals. Ecol. Eng. 2018, 123, 86–94. [Google Scholar] [CrossRef]
- Lustic, C.; Maxwell, K.; Bartels, E.; Reckenbeil, B.; Utset, E.; Schopmeyer, S.; Zink, I.; Lirman, D. The Impacts of Competitive Interactions on Coral Colonies after Transplantation: A Multispecies Experiment from the Florida Keys, US. Bull. Mar. Sci. 2020, 96, 805–818. [Google Scholar] [CrossRef]
- Baker, B. First Aid for an Ailing Reef: Research in the Florida Keys National Marine Sanctuary. BioScience 1999, 49, 173–178. [Google Scholar] [CrossRef] [Green Version]
- Cangialosi, J.P.; Latto, A.S.; Berg, R. Tropical Cyclone Report: Hurricane Irma (AL112017): 30 August–12 September 2017. In National Center Tropical Cyclone Report; 2018; Volume 111. Available online: https://www.nhc.noaa.gov/data/tcr/AL112017_Irma.pdf (accessed on 28 January 2022).
- Viehman, S.; Gittings, S.; Groves, S.; Moore, J.; Moore, T.; Stein, J. NCCOS Assessment: Coral Disturbance Response Monitoring (DRM) along the Florida Reef Tract Following Hurricane Irma from 2017-10-09 to 2017-10-18 (NCEI Accession 0179071). [Hurricane Impacts]. NOAA National Centers for Environmental Information. Dataset. 2018. Available online: https://doi.org/10.25921/sscd-6h41 (accessed on 17 February 2022).
- Florida Reef Resilience Program. In Florida Reef Resilience Program Disturbance Response Monitoring and Hurricane Irma Rapid Reef Assessment Quick Look Report: Summer 2017; 2017. Available online: https://repository.library.noaa.gov/view/noaa/15575 (accessed on 28 November 2021).
- Bohnsack, J.A.; Bannerot, S.P. A Stationary Visual Census Technique for Quantitatively Assessing Community Structure of Coral Reef Fishes; 1986; Volume 33, pp. 291–303. Available online: https://www.st.nmfs.noaa.gov/spo/SPO/tr41opt.pdf (accessed on 28 November 2021).
- Ault, J.S.; Smith, S.G.; Meester, G.A.; Luo, J.; Bohnsack, J.A. Site Characterization for Biscayne National Park: Assessment of Fisheries Resources and Habitats; NOAA Technical Memorandum NMFS-SEFSC-468; 2001; p. 156. Available online: https://repository.library.noaa.gov/view/noaa/8519 (accessed on 28 November 2021).
- Brandt, M.; Zurcher, N.; Acosta, A.; Ault, J.S. A Cooperative Multi-Agency Reef Fish Monitoring Protocol for the Florida Keys Coral Reef Ecosystem; Natural Resources Report NPS/SFCN/NRR-2009/150; National Park Service: Fort Collins, CO, USA, 2009. Available online: https://www.researchgate.net/publication/265682772 (accessed on 28 January 2022).
- Shinn, E. Spur-and-groove Formation on the Florida Reef Tract. J. Sediment. Res. 1963, 33, 291–303. [Google Scholar] [CrossRef]
- Shinn, E.; Hudson, J.; Robbin, D.; Lidz, B. Spurs and Grooves Revisited: Construction versus Erosion, Looe Key Reef, Florida. 1982. Available online: https://pubs.er.usgs.gov/publication/70122248 (accessed on 7 June 2020).
- Duce, S.; Dechnik, B.; Webster, J.M.; Hua, Q.; Sadler, J.; Webb, G.E.; Nothdurft, L.; Salas-Saavedra, M.; Vila-Concejo, A. Mechanisms of Spur-and-groove Development and Implications for Reef Platform Evolution. Quat. Sci. Rev. 2019, 231, 106155. [Google Scholar] [CrossRef]
- Burns, J.; Delparte, D.; Gates, R.; Takabayashi, M. Integrating Structure-from-Motion Photogrammetry with Geospatial Software as a Novel Technique for Quantifying 3D Ecological Characteristics of Coral Reefs. PeerJ 2015, 3, e1077. [Google Scholar] [CrossRef] [PubMed]
- Fukunaga, A.; Burns, J.H.R.; Craig, B.K.; Kosaki, R.K. Integrating Three-Dimensional Benthic Habitat Characterization Techniques into Ecological Monitoring of Coral Reefs. J. Mar. Sci. Eng. 2019, 7, 27. [Google Scholar] [CrossRef] [Green Version]
- Walbridge, S.; Slocum, N.; Pobuda, M.; Wright, D.J. Unified Geomorphological Analysis Workflows with Benthic Terrain Modeler. Geosciences 2018, 8, 94. [Google Scholar] [CrossRef] [Green Version]
- Hobson, R.D. Surface Roughness in Topography: Quantitative Approach. In Spatial Analysis in Geomorphology; Chorley, R.J., Ed.; Harper and Row: New York, NY, USA, 1972; pp. 221–246. [Google Scholar]
- Sappington, J.M.; Longshore, K.M.; Thompson, D.B. Quantifying Landscape Ruggedness for Animal Habitat Analysis: A Case Study Using Bighorn Sheep in the Mojave Desert. J. Wildl. Manage. 2007, 71, 1419–1426. [Google Scholar] [CrossRef]
- Jenness, J.S. Calculating Landscape Surface Area from Digital Elevation Models. Wildl. Soc. 2004, 32, 829–839. [Google Scholar] [CrossRef]
- Nunes, V.; Pawlak, G. Observations of Bed Roughness of a Coral Reef. J. Coast. Res. 2008, 24, 39–50. [Google Scholar] [CrossRef]
- Bozec, Y.M.; Alvarez-Filip, L.; Mumby, P.J. The Dynamics of Architectural Complexity on Coral Reefs under Climate Change. Glob. Chang. Biol. 2015, 21, 223–235. [Google Scholar] [CrossRef]
- González-Rivero, M.; Beijbom, O.; Rodriguez-Ramirez, A.; Holtrop, T.; González-Marrero, Y.; Ganase, A.; Roelfsema, C.; Phinn, S.; Hoegh-Guldberg, O. Scaling up Ecological Measurements of Coral Reefs Using Semi-Automated Field Image Collection and Analysis. Remote Sens. 2016, 8, 30. [Google Scholar] [CrossRef] [Green Version]
- De Clippele, L.H.; Huvenne, V.A.I.; Orejas, C.; Lundälv, T.; Fox, A.; Hennige, S.J.; Roberts, J.M. The Effect of Local Hydrodynamics on the Spatial Extent and Morphology of Cold-Water Coral Habitats at Tisler Reef, Norway. Coral Reefs 2018, 37, 253–266. [Google Scholar] [CrossRef] [Green Version]
- Conti, L.A.; Lim, A.; Wheeler, A.J. High Resolution Mapping of a Cold Water Coral Mound. Sci. Rep. 2019, 9, 1016. [Google Scholar] [CrossRef]
- Zawada, K.J.A.; Madin, J.S.; Baird, A.H.; Bridge, T.C.L.; Dornelas, M. Morphological Traits Can Track Coral Reef Responses to the Anthropocene. Funct. Ecol. 2019, 33, 962–975. [Google Scholar] [CrossRef] [Green Version]
- Darling, E.S.; Alvarez-Filip, L.; Oliver, T.A.; Mcclanahan, T.R.; Côté, I.M. Evaluating Life-History Strategies of Reef Corals from Species Traits. Ecol. Lett. 2012, 15, 1378–1386. [Google Scholar] [CrossRef] [PubMed]
- Darling, E.S.; Graham, N.A.J.; Januchowski-Hartley, F.A.; Nash, K.L.; Pratchett, M.S.; Wilson, S.K. Relationships between Structural Complexity, Coral Traits, and Reef Fish Assemblages. Coral Reefs 2017, 36, 561–575. [Google Scholar] [CrossRef] [Green Version]
- Connell, J.H.; Hughes, T.P.; Wallace, C.C.; Tanner, J.E.; Harms, K.E.; Kerr, A.M. A Long-Term Study of Competition and Diversity of Corals. Ecol. Monogr. 2004, 74, 179–210. [Google Scholar] [CrossRef] [Green Version]
- McWilliam, M.; Hoogenboom, M.O.; Baird, A.H.; Kuo, C.-Y.; Madin, J.S.; Hughes, T.P. Biogeographical Disparity in the Functional Diversity and Redundancy of Corals. Proc. Natl. Acad. Sci. USA 2018, 115, 3084–3089. [Google Scholar] [CrossRef] [PubMed] [Green Version]
- Aronson, R.B.; Prechtb, W.F. Landscape Patterns of Reef Coral Diversity: A Test of the Intermediate Disturbance Hypothesis. J. Exp. Mar. Biol. Ecol. 1995, 192, 1–14. [Google Scholar] [CrossRef]
- Alvarez-Filip, L.; Dulvy, N.K.; Côté, I.M.; Watkinson, A.R.; Gill, J.A. Coral Identity Underpins Architectural Complexity on Caribbean Reefs. Ecol. Appl. 2011, 21, 2223–2231. [Google Scholar] [CrossRef]
- Young, G.C.; Dey, S.; Rogers, A.D.; Exton, D. Cost and Time-Effective Method for Multiscale Measures of Rugosity, Fractal Dimension, and Vector Dispersion from Coral Reef 3D Models. PLoS ONE 2017, 12, e0201847. [Google Scholar] [CrossRef]
- Peterson, G.D. Contagious Disturbance, Ecological Memory, and the Emergence of Landscape Pattern. Ecosystems 2002, 5, 329–338. [Google Scholar] [CrossRef]
- Hughes, T.P.; Kerry, J.T.; Connolly, S.R.; Baird, A.H.; Eakin, C.M.; Heron, S.F.; Hoey, A.S.; Hoogenboom, M.O.; Jacobson, M.; Liu, G.; et al. Ecological Memory Modifies the Cumulative Impact of Recurrent Climate Extremes. BioScience 2020, 70, 854–870. [Google Scholar] [CrossRef]
- Burton, P.J.; Jentsch, A.; Walker, L.R. The Ecology of Disturbance Interactions. BioScience 2020, 70, 854–870. [Google Scholar] [CrossRef]
- Wall, C.B.; Ricci, C.A.; Wen, A.D.; Ledbetter, B.E.; Klinger, D.E.; Mydlarz, L.D.; Gates, R.D.; Putnam, H.M. Shifting Baselines: Physiological Legacies Contribute to the Response of Reef Corals to Frequent Heatwaves. Funct. Ecol. 2021, 35, 1366–1378. [Google Scholar] [CrossRef]
- Simmons, K.R.; Eggleston, D.B.; Bohnenstiehl, D.R. Hurricane Impacts on a Coral Reef Soundscape. PLoS ONE 2021, 16, e0244599. [Google Scholar] [CrossRef] [PubMed]
- NOAA National Weather Service. Tropical Cyclones of the 2000s. Available online: https://www.weather.gov/key/2000sHurricanes (accessed on 26 January 2022).
- Berg, R. Tropical Cyclone Report: Hurricane Isaac (AL092012): 21 August—1 September 2012. In National Hurricane Center; 2013; pp. 1–78. Available online: https://nhc.noaa.gov/data/tcr/index.php?season=2012&basin=atl (accessed on 28 January 2019).
- Rogers, C.S. Hurricanes and Coral Reefs: The Intermediate Disturbance Hypothesis Revisited. Coral Reefs 1993, 12, 127–137. [Google Scholar] [CrossRef]
- Alvarez-Filip, L.; Dulvy, N.K.; Gill, J.A.; Côté, I.M.; Watkinson, A.R. Flattening of Caribbean Coral Reefs: Region-Wide Declines in Architectural Complexity. Proc. Royal Soc. B 2009, 276, 3019–3025. [Google Scholar] [CrossRef] [Green Version]
- Rogers, A.; Blanchard, J.L.; Mumby, P.J. Fisheries Productivity under Progressive Coral Reef Degradation. J. Appl. Ecol. 2018, 55, 1041–1049. [Google Scholar] [CrossRef]
- Dubois, M.; Gascuel, D.; Coll, M.; Claudet, J. Recovery Debts Can Be Revealed by Ecosystem Network-Based Approaches. Ecosystems 2019, 22, 658–676. [Google Scholar] [CrossRef]
- Wilson, S.K.; Burgess, S.C.; Cheal, A.J.; Emslie, M.; Fisher, R.; Miller, I.; Polunin, N.V.C.; Sweatman, H.P.A. Habitat Utilization by Coral Reef Fish: Implications for Specialists vs. Generalists in a Changing Environment. J. Anim. Ecol. 2008, 77, 220–228. [Google Scholar] [CrossRef]
- Pratchett, M.S.; Coker, D.J.; Jones, G.P.; Munday, P.L. Specialization in Habitat Use by Coral Reef Damselfishes and Their Susceptibility to Habitat Loss. Ecol. Evol. 2012, 2, 2168–2180. [Google Scholar] [CrossRef]
- Gardner, T.A.; Côté, I.M.; Gill, J.A.; Grant, A.; Watkinson, A.R. Hurricanes and Caribbean Coral Reefs: Impacts, Recovery Patterns, and Role in Long-Term Decline. Ecology 2005, 86, 174–184. [Google Scholar] [CrossRef] [Green Version]
- McWilliam, M.; Pratchett, M.S.; Hoogenboom, M.O.; Hughes, T.P. Deficits in Functional Trait Diversity Following Recovery on Coral Reefs. Proc. Royal Soc. B 2020, 287, 20192628. [Google Scholar] [CrossRef] [PubMed] [Green Version]
- Price, D.M.; Robert, K.; Callaway, A.; Lo Iacono, C.; Hall, R.A.; Huvenne, V.A.I. Using 3D Photogrammetry from ROV Video to Quantify Cold-Water Coral Reef Structural Complexity and Investigate Its Influence on Biodiversity and Community Assemblage. Coral Reefs 2019, 38, 1007–1021. [Google Scholar] [CrossRef] [Green Version]
- Knudby, A.; Ledrew, E.; Newman, C. Progress in the Use of Remote Sensing for Coral Reef Biodiversity Studies. Prog. Phys. Geogr. 2007, 31, 421–434. [Google Scholar] [CrossRef]
- Richardson, L.E.; Graham, N.A.; Hoey, A.S. Cross-Scale Habitat Structure Driven by Coral Species Composition on Tropical Reefs OPEN. Sci. Rep. 2017, 7, 7557. [Google Scholar] [CrossRef] [PubMed] [Green Version]
- Todd, P.A. Morphological Plasticity in Scleractinian Corals. Biol. Rev. 2008, 83, 315–337. [Google Scholar] [CrossRef] [PubMed]
- Pascoe, K.H.; Fukunaga, A.; Kosaki, R.K.; Burns, J.H.R. 3D Assessment of a Coral Reef at Lalo Atoll Reveals Varying Responses of Habitat Metrics Following a Catastrophic Hurricane. Sci. Rep. 2021, 11, 12050. [Google Scholar] [CrossRef]
- Anthony, K.R.N.; Marshall, P.A.; Abdulla, A.; Beeden, R.; Bergh, C.; Black, R.; Eakin, C.M.; Game, E.T.; Gooch, M.; Graham, N.A.J.; et al. Operationalizing Resilience for Adaptive Coral Reef Management under Global Environmental Change. Glob. Chang. Biol. 2015, 21, 48–61. [Google Scholar] [CrossRef]
- Gleason, A.C.R.; Lirman, D.; Williams, D.; Gracias, N.R.; Gintert, B.E.; Madjidi, H.; Pamela Reid, R.; Boynton, G.C.; Negahdaripour, S.; Miller, M.; et al. Documenting Hurricane Impacts on Coral Reefs Using Two-Dimensional Video-Mosaic Technology. Mar. Ecol. 2007, 28, 254–258. [Google Scholar] [CrossRef]
- Hughes, T.P.; Kerry, J.T.; Baird, A.H.; Connolly, S.R.; Dietzel, A.; Eakin, C.M.; Heron, S.F.; Hoey, A.S.; Hoogenboom, M.O.; Liu, G.; et al. Global Warming Transforms Coral Reef Assemblages. Nature 2018, 556, 492–496. [Google Scholar] [CrossRef]
- Fukunaga, A.; Pascoe, K.H.; Pugh, A.R.; Kosaki, R.K.; Burns, J.H. Underwater Photogrammetry Captures the Initial Recovery of a Coral Reef at Lalo Atoll. Divers 2022, 14, 39. [Google Scholar] [CrossRef]
- Roelfsema, C.; Thurstan, R.; Beger, M.; Dudgeon, C.; Loder, J.; Kovacs, E.; Gallo, M.; Flower, J.; Cabrera, K.L.G.; Ortiz, J.; et al. A Citizen Science Approach: A Detailed Ecological Assessment of Subtropical Reefs at Point Lookout, Australia. PLoS ONE 2016, 11, e0163407. [Google Scholar] [CrossRef] [PubMed]
- Bayley, D.T.I.; Mogg, A.O.M.; Purvis, A.; Koldewey, H.J. Evaluating the Efficacy of Small-Scale Marine Protected Areas for Preserving Reef Health: A Case Study Applying Emerging Monitoring Technology. Aquat. Conserv. 2019, 29, 2026–2044. [Google Scholar] [CrossRef]
- Chen, G.K.; Dai, C.F. Using 3D Photogrammetry to Quantify the Subtle Differences of Coral Reefs under the Impacts of Marine Activities. Mar. Pollut. Bull. 2021, 173, 113032. [Google Scholar] [CrossRef] [PubMed]
- Richaume, J.; Cheminée, A.; Drap, P.; Bonhomme, P.; Cadene, F.; Ferrari, B.; Hartmann, V.; Michez, N.; Bianchimani, O. 3D Photogrammetry Modeling Highlights Efficient Reserve Effect Apparition After 5 Years and Stillness After 40 for Red Coral (Corallium Rubrum) Conservation in French MPAs. Front. Mar. Sci. 2021, 8, 1174. [Google Scholar] [CrossRef]
- Torres-Pulliza, D.; Wilson, J.R.; Darmawan, A.; Campbell, S.J.; Andréfouët, S. Ecoregional Scale Seagrass Mapping: A Tool to Support Resilient MPA Network Design in the Coral Triangle. Ocean Coast Manag. 2013, 80, 55–64. [Google Scholar] [CrossRef]
- Lawrence, A.; Heenan, A.; Levine, A.; Haddaway, N.R.; Powell, F.; Wedding, L.; Roche, R.; Lawrence, P.; Szostek, C.; Ford, H.; et al. Spatial and Temporal Scales of Coral Reef Fish Ecological Research and Management: A Systematic Map Protocol. Environ. Evid. 2021, 10, 3. [Google Scholar] [CrossRef]
- Sierra-Escrigas, S.L.; Peluffo, D.R.P.; García-Urueña, R. Shallow Coral Reef Community Mapping and Update on Its Ecological Units Using Aerial Images at Isla Arena, Colombian Caribbean. Int. J. Remote Sens 2020, 41, 8198–8215. [Google Scholar] [CrossRef]
- Roelvink, F.E.; Storlazzi, C.D.; van Dongeren, A.R.; Pearson, S.G. Coral Reef Restorations Can Be Optimized to Reduce Coastal Flooding Hazards. Front.Mar.Sci. 2021, 8, 1–11. [Google Scholar] [CrossRef]
- Storlazzi, C.D.; Reguero, B.G.; Cumming, K.A.; Cole, A.D.; Shope, J.B.; Gaido, L.C.; Viehman, T.S.; Nickel, B.A.; Beck, M.W. Rigorously Valuing the Coastal Hazard Risks Reduction Provided by Potential Coral Reef Restoration in Florida and Puerto Rico. Geological Suveys (U.S.). 2021. Available online: https://doi.org/10.3133/ofr20211054 (accessed on 28 November 2021).










| Method | RVC | SfM | ||||||||
|---|---|---|---|---|---|---|---|---|---|---|
| Site | Feb-17 | May-17 | Jul-17 | Dec-17 | Feb-18 | Jun-18 | Sep-18 | Dec-18 | Sum | Sep-18 |
| Fished | 2 | 3 | 3 | 3 | 1 | 3 | 2 | 2 | 19 | 2 |
| N1M | 1 | 1 | 1 | 1 | 4 | NS | ||||
| NFS | 1 | 1 | 1 | 1 | 1 | 1 | 1 | 7 | 1 | |
| WDR | 1 | 1 | 1 | 1 | 1 | 1 | 1 | 1 | 8 | * |
| SPA | 1 | 3 | 3 | 2 | 1 | 3 | 3 | 3 | 19 | 3 |
| LKP | 1 | 1 | 1 | 1 | 1 | 1 | 6 | 1 | ||
| SDK | 1 | 1 | 1 | 1 | 1 | 1 | 6 | 1 | ||
| WSB | 1 | 1 | 1 | 1 | 1 | 1 | 1 | 7 | 1 | |
| SUA | 1 | 2 | 2 | 2 | 1 | 2 | 2 | 2 | 14 | 1 |
| ESB | 1 | 1 | 1 | 1 | 1 | 1 | 1 | 7 | 1 | |
| LKU | 1 | 1 | 1 | 1 | 1 | 1 | 1 | 7 | * | |
| Grand Total | 4 | 8 | 8 | 7 | 3 | 8 | 7 | 7 | 52 | 5 |
| Group | Habitat Metric | Description | Variable Name |
|---|---|---|---|
| Environmental Data | Depth (m) | Maximum depth | depth |
| Visibility (m) | Horizontal visibility at depth | viz | |
| Structural Complexity | Max. hard vertical relief (m) | Maximum height of hard relief (coral, coralline spur, hardbottom ledge) | v-hard |
| Max. soft vertical relief (m) | Maximum height of soft relief (e.g., octocorals, sponges, macroalgae) | v-soft | |
| Surface Relief Cover | Hard relief surface cover (%) | Percentage of hard relief <0.2, 0.2–0.5, 0.5–1.0, 1.0–1.5, and >1.5 m in height. | s-hard |
| Soft relief surface cover (%) | Percentage of soft relief <0.2, 0.2–0.5, 0.5–1.0, 1.0–1.5, and >1.5 in height. | s-soft | |
| Abiotic Footprint | Abiotic sand | Percentage cover of coarse or biogenic sand | a-sand |
| Abiotic rubble | Percentage cover of coarse gravel to unconsolidated rock or dislodged coral fragments | a-rubble | |
| Abiotic hardbottom | Percentage of consolidated lithogenic/biogenic substratum including dead coral | a-hard | |
| Biotic Cover | Biotic algae <1 cm | Percentage of hardbottom covered in algae <1 cm height (e.g., turf algae) | b-algae1 |
| Biotic algae >1 cm | Percentage of hardbottom covered in algae >1 cm height (e.g., Halimeda, Dictyota) | b-algae2 | |
| Biotic live coral | Percentage of live coral cover | b-coral | |
| Biotic octocoral | Percentage of octocoral cover | b-octo | |
| Biotic sponge | Percentage sponge cover | b-sponge |
| Site | Camera Images | Map area (m2) | Avg. Point Density/Cell | Depth (m) | |||
|---|---|---|---|---|---|---|---|
| Mean | SD | Median | Min–Max | ||||
| Sand Key (SPA) | 6258 | 1092 | 38 | 5.3 | 0.90 | 5.4 | 1.9–7.1 |
| Nine Foot Stake | 9569 | 1037 | 50 | 6.7 | 0.77 | 7.0 | 3.8–7.7 |
| Western Sambo (ER) | 7074 | 1005 | 49 | 4.3 | 0.62 | 4.4 | 2.0–5.8 |
| Eastern Sambo (SUA) | 4815 | 765 | 17 | 5.1 | 0.81 | 5.2 | 1.7–6.4 |
| Looe Key (SPA) | 12,809 | 1079 | 6 | 7.3 | 0.75 | 7.4 | 4.3–8.9 |
| Group | Habitat Metric | Description | Software/License | Variable Name |
|---|---|---|---|---|
| Habitat complexity—Digital Elevation Model (0.5 cm res.) | Depth (m) | Depth of water relative to MLW | ArcMap/BTM | depth |
| Slope (o) | Angle of seabed relative to a horizontal surface | ArcMap/BTM | slope | |
| Vector terrain ruggedness | Dispersion of surface normal vectors over a 3 × 3 cell neighborhood. | ArcMap/BTM | vrm | |
| Surface area to planar area ratio (SAPA) | Rugosity evaluated across each 3 × 3 cell neighborhood | ArcMap/BTM | sapa | |
| Root mean square roughness | Standard deviation of depths along transect line | MATLAB | rms | |
| Digital relief | Range of depths along transect line | MATLAB | relief | |
| Coral reef rugosity | Ratio of contour line to straight horizontal distance | MATLAB | crrug | |
| Habitat Composition—Orthomosaic (1 mm res) | Hard live coral * cover (%) | Percentage of live hard/stony coral cover | MATLAB Image Labeler | live coral |
| Sponge cover (%) | Percentage of sponge cover | MATLAB Image Labeler | sponge | |
| Macroalgal cover (%) | Percentage of macroalgal turfs on the sandy bottom/grooves | MATLAB Image Labeler | macroalgae | |
| Rubble cover (%) | Percentage of coarse gravel, unconsolidated rock, or dislodged coral fragments cover | MATLAB Image Labeler | rubble | |
| Density of octocorals | Number of octocorals per sq. m | MATLAB Image Labeler | den-octo | |
| Encrusting Zoanthid cover (%) | encrusting zoanthid Palythoa caribaeorum | MATLAB Image Labeler | zoan | |
| Trait-Based Coral Groups * | submassive boulder (%) | Starlet Coral (Siderastera sidera, S. radians), Star Coral (Montastrea cavernosa, Orbicella annularis, O. faveolata, O. frankski) | MATLAB Image Labeler | submassive |
| encrusting dome (%) | Mustard Hill Coral (Porites astreoides), Brain Coral (Colpophyllia natans, Pseudodiploria. clivosa, Diploria labyrinthiformis) | MATLAB Image Labeler | encdome | |
| branching (%) | Staghorn Coral (Acropora cervicornis, A. palmata), Finger Coral (Porites porites), Yellow pencil coral (Madracis auretenra) | MATLAB Image Labeler | branch |
| Before Irma | ||||
| Source | df | Source | F | Prob > F |
| Sites | 7 | depth | 6.05 | <0.01 |
| Error | 12 | v-hard relief | 0.94 | 0.51 |
| ‘Total’ | 19 | v-soft relief | 0.87 | 0.55 |
| s-hard relief | 2.91 | 0.05 | ||
| a-hardbottom | 0.65 | 0.71 | ||
| a-rubble | 3.31 | 0.03 | ||
| a-sand | 2.09 | 0.13 | ||
| b-algae | 1.49 | 0.26 | ||
| b-coral | 0.79 | 0.61 | ||
| b-octo | 2.00 | 0.14 | ||
| b-sponge | 0.49 | 0.83 | ||
| After Irma | ||||
| Source | df | Source | F | Prob > F |
| Sites | 7 | depth | 5.86 | <0.01 |
| Error | 24 | v-hard relief | 3.07 | 0.02 |
| ‘Total’ | 31 | v-soft relief | 0.85 | 0.56 |
| s-hard relief | 2.06 | 0.09 | ||
| a-hardbottom | 4.09 | <0.01 | ||
| a-rubble | 0.89 | 0.53 | ||
| a-sand | 1.99 | 0.10 | ||
| b-algae | 1.65 | 0.17 | ||
| b-coral | 1.16 | 0.36 | ||
| b-octo | 1.88 | 0.12 | ||
| b-sponge | 0.92 | 0.51 | ||
| DEM | ||||
|---|---|---|---|---|
| Source | df | Source | F | Prob > F |
| Sites | 4 | mean depth | 60.97 | <0.01 |
| Error | 28 | median depth | 73.28 | <0.01 |
| ‘Total’ | 32 | crrug | 45.25 | <0.01 |
| rms | 1.56 | 0.17 | ||
| relief | 1.53 | 0.10 | ||
| slope | 3.11 | 0.02 | ||
| vrm | 3.85 | <0.01 | ||
| sapa | 4.56 | <0.01 | ||
| SfM | ||||
|---|---|---|---|---|
| Source | df | Source | F | Prob > F |
| Sites | 4 | submassive boulder | 6.66 | <0.01 |
| Error | 745 | encrusting dome | 24.15 | <0.01 |
| Total | 749 | branching | 8.32 | <0.01 |
| sponge | 23.86 | <0.01 | ||
| macroalgae | 10.53 | <0.01 | ||
| rubble | 14.57 | <0.01 | ||
| encrusting zoanthid | 12.64 | <0.01 | ||
Publisher’s Note: MDPI stays neutral with regard to jurisdictional claims in published maps and institutional affiliations. |
© 2022 by the authors. Licensee MDPI, Basel, Switzerland. This article is an open access article distributed under the terms and conditions of the Creative Commons Attribution (CC BY) license (https://creativecommons.org/licenses/by/4.0/).
Share and Cite
Simmons, K.R.; Bohnenstiehl, D.R.; Eggleston, D.B. Spatiotemporal Variation in Coral Assemblages and Reef Habitat Complexity among Shallow Fore-Reef Sites in the Florida Keys National Marine Sanctuary. Diversity 2022, 14, 153. https://doi.org/10.3390/d14030153
Simmons KR, Bohnenstiehl DR, Eggleston DB. Spatiotemporal Variation in Coral Assemblages and Reef Habitat Complexity among Shallow Fore-Reef Sites in the Florida Keys National Marine Sanctuary. Diversity. 2022; 14(3):153. https://doi.org/10.3390/d14030153
Chicago/Turabian StyleSimmons, Kayelyn R., DelWayne R. Bohnenstiehl, and David B. Eggleston. 2022. "Spatiotemporal Variation in Coral Assemblages and Reef Habitat Complexity among Shallow Fore-Reef Sites in the Florida Keys National Marine Sanctuary" Diversity 14, no. 3: 153. https://doi.org/10.3390/d14030153
APA StyleSimmons, K. R., Bohnenstiehl, D. R., & Eggleston, D. B. (2022). Spatiotemporal Variation in Coral Assemblages and Reef Habitat Complexity among Shallow Fore-Reef Sites in the Florida Keys National Marine Sanctuary. Diversity, 14(3), 153. https://doi.org/10.3390/d14030153

