Freshwater Fish Biodiversity in a Large Mediterranean Basin (Guadalquivir River, S Spain): Patterns, Threats, Status and Conservation
Abstract
1. Introduction
2. Materials and Methods
2.1. Study Area
2.2. Data Collection
2.3. Data Analysis
3. Results
3.1. Faunal Composition
3.1.1. Sampled Species
3.1.2. Bibliographic-Recorded Species
| Family | Species | IUCN (2022) | RBSF (2001) | Ref. | Current Presence | Locally Extinct | |
|---|---|---|---|---|---|---|---|
| Native | Petromyzontidae | Petromyzon marinus | LC | EN | [18,20,55] | * | |
| Acipenseridae | Acipenser sturio | CR | CR | [18,20,52,54,56,57] | * | ||
| Clupleidae | Alosa alosa | LC | VU | [18,58] | * | ||
| Alosa fallax | LC | VU | [18,20,59] | * | |||
| Cyprinidae | Iberochondrostoma oretanum | CR | - | [47] | * | ||
| Anaecypris hispanica | EN | EN | [48] | * | |||
| Luciobarbus comizo | VU | VU | [20] | * | |||
| Squalius palaciosi | CR | EN | [20,60] | ? | |||
| Cyprinodontidae | Aphanius baeticus | EN | EN | [20,46,58] | * | ||
| Gasterosteidae | Gasterosteus aculeatus | LC | EN | [45,61] | * | ||
| Blenniidae | Salaria fluviatilis | LC | EN | [20] | ? | ||
| Introduced | Acipenseridae | Acipenser baerii | [56] | ? | |||
| Acipenser naccarii | [52,54] | * | |||||
| Esocidae | Esox lucius | [62] | * | ||||
| Cyprinidae | Tinca tinca | [20,44] | * | ||||
| Ictaluridae | Ameiurus melas | [50,59] | * | ||||
| Siluridae | Silurus glanis | [51] | * | ||||
| Fundulidae | Fundulus heteroclitus | [20,59,63] | * | ||||
| Cichlidae | Astronotus ocellatus | [64,65] | ? | ||||
| Australoheros facetus | [50] | * | |||||
| Characidae | Piaractus brachypomus | [66,67] | ? | ||||
| Loricariidae | Hypostomus sp. | [18] | ? |
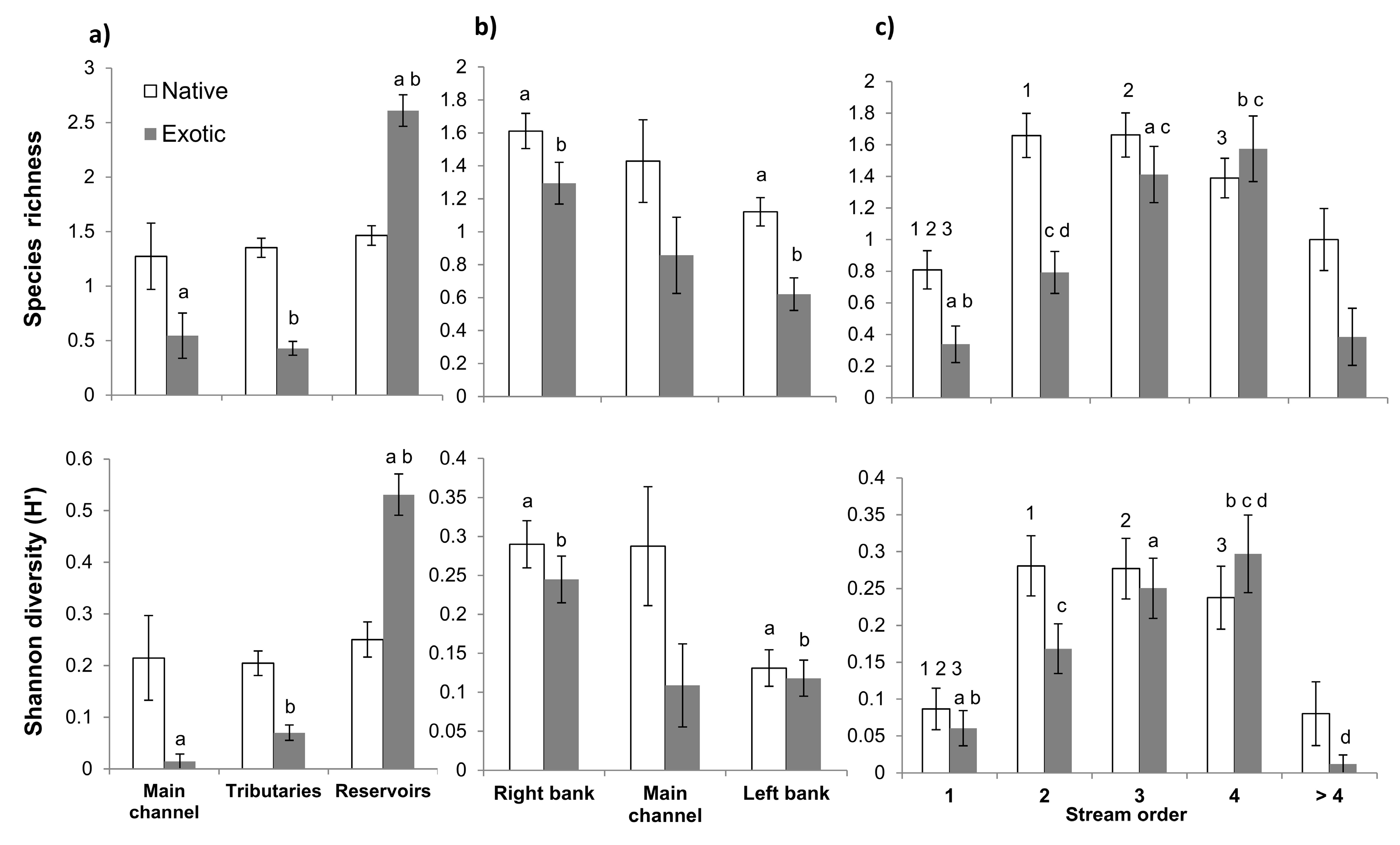
3.2. Patterns of Species Richness and Diversity
3.3. Conservation Status
4. Discussion
4.1. Guadalquivir Fish Biodiversity
4.2. Introduced Species
4.3. Conservation Status
4.4. Conservation and Management Recommendations
Supplementary Materials
Author Contributions
Funding
Institutional Review Board Statement
Data Availability Statement
Acknowledgments
Conflicts of Interest
References
- Loh, J.; Randers, J.; MacGillivray, A.; Kapos, V.; Jenkins, M.; Groombridge, B.; Cox, N. Living Planet Report; World Wide Fund for Nature: Gland, Switzerland, 1998. [Google Scholar]
- Revenga, C.; Mock, G. Freshwater Biodiversity in Crisis; Earth Trends World Resources Institute: Washington, DC, USA, 2000; pp. 1–4. Available online: https://netedu.xauat.edu.cn/jpkc/netedu/jpkc2009/szylyybh/content/wlzy/4/Freshwater%20Biodiversity%20in%20Crisis.pdf (accessed on 15 August 2022).
- Moyle, P.B.; Yoshiyama, R.M. Protection of aquatic biodiversity in California: A five-tiered approach. Fisheries 1994, 19, 6–18. [Google Scholar] [CrossRef]
- Cowx, I.G.; Collares-Pereira, M.L. Freshwater fish conservation: Options for the future. In Conservation of Freshwater Fishes: OPTIONS for the Future; Collares-Pereira, M.J., Cowx, I.G., Coelho, M.M., Eds.; Fishind News Books, Blackwell Science, Oxford: London, UK, 2002; pp. 443–452. [Google Scholar]
- Smith, K.G.; Darwall, W.R.T. (Eds.) The Status and Distribution of Freshwater Fish Endemic to the Mediterranean Basin; IUCN: Gland, Switzerland, 2006. [Google Scholar]
- Freyhof, J.; Brooks, E. European Red List of Freshwater Fishes; Publications Office of the European Union: Luxembourg, 2011; Available online: http://ec.europa.eu/environment/nature/conservation/species/redlist/downloads/European_freshwater_fishes.pdf (accessed on 15 August 2022).
- Bruton, M.N. Have fishes had their chips? The dilemma of threatened fishes. Environ. Biol. Fishes 1995, 43, 1–27. [Google Scholar] [CrossRef]
- Abell, R. Conservation biology for the biodiversity crisis: A freshwater follow-up. Conserv. Biol. 2002, 16, 1435–1437. [Google Scholar] [CrossRef]
- Kottelat, M.; Freyhof, J. Handbook of European Freshwater Fishes; Kottelat: Cornol, Switzerland, 2007. [Google Scholar]
- IUCN Red List of Threatened Species. Version 15.1. July 2022. Available online: www.iucnredlist.org (accessed on 7 September 2022).
- Cuttelod, A.; García, N.; Abdul, M.D.; Temple, H.; Katariya, V. The Mediterranean: A biodiversity hotspot under threat. In The 2008 Review of The IUCN Red List of Threatened Species; Vié, J.C., Hilton-Taylor, C., Stuart, S.N., Eds.; IUCN: Gland, Switzerland, 2008. [Google Scholar]
- García-Ruiz, J.M.; Nadal-Romero, E.; Lana-Renault, N.; Beguería, S. Erosion in Mediterranean landscapes: Changes and future challenges. Geomorphology 2013, 198, 20–36. [Google Scholar] [CrossRef]
- Ruiz, J.; Polo, M.J.; Díez-Minguito, M.; Navarro, G.; Morris, E.P.; Huertas, E.; Caballero, I.; Contreras, E.; Losada, M.A. The Guadalquivir estuary: A hot spot for environmental and human conflicts. In Environmental Management and Governance; Finkl, C.W., Makowski, C., Eds.; Advances in Coastal and Marine Resources; Springer: London, UK, 2015; Chapter 8; pp. 199–232. [Google Scholar]
- Mendiguchía, C.; Moreno, C.; García-Vargas, M. Evaluation of natural and anthropogenic influences on the Guadalquivir River (Spain) by dissolved heavy metals and nutrients. Chemosphere 2007, 69, 1509–1517. [Google Scholar] [CrossRef] [PubMed]
- Hermosín, M.C.; Calderon, M.J.; Real, M.; Cornejo, J. Impact of herbicides used in olive groves on waters of the Guadalquivir river basin (southern Spain). Agri. Ecosyst. Environ. 2013, 164, 229–243. [Google Scholar] [CrossRef]
- Vargas, J.; Paneque, P. Major Hydraulic Projects, Coalitions and Conflict. Seville’s Harbour and the Dredging of the Guadalquivir (Spain). Water 2015, 7, 6736–6749. [Google Scholar] [CrossRef]
- Carpintero, M. Characterization of Suspended Sediments in the Guadalquivir Estuary al Modeled Scale. Ph.D. Thesis, Universidad de Córdoba, Córdoba, Spain, 2015. [Google Scholar]
- Granado-Lorencio, C. The effect of man on the fish fauna of the River Guadalquivir, Spain. Fish. Res. 1991, 12, 91–100. [Google Scholar] [CrossRef]
- Doadrio, I. Catálogo de los peces de agua dulce del Museo Nacional de Ciencias Naturales. Museo Nacional de Ciencias Naturales; CSIC: Madrid, Spain, 1989; p. 61.
- Doadrio, I. Atlas y Libro Rojo de los Peces Continentales de España; Dirección General de Conservación de la Naturaleza-Museo Nacional de Ciencias Naturales: Madrid, Spain, 2001; 374p. [Google Scholar]
- Franco-Ruíz, A.; Rodríguez de los Santos, M. Libro Rojo de los Vertebrados Amenazados de Andalucía; Consejería de Medio Ambiente, Junta de Andalucía: Spain, 2001. [Google Scholar]
- Filipe, A.F.; Marques, T.A.; Seabra, S.; Tiago, P.; Ribeiro, F.; Costa, L.M.D.; Cowx, I.G.; Collares-Pereira, M.J. Selection of priority areas for fish conservation in Guadiana river basin, Iberian Peninsula. Conserv. Biol. 2004, 18, 189–200. [Google Scholar] [CrossRef]
- Magalhães, M.F.; Ramalho, C.E.; Collares-Pereira, M.J. Assessing biotic integrity in a Mediterranean watershed: Development and evaluation of a fishbased index. Fish. Manag. Ecol. 2008, 15, 273–289. [Google Scholar] [CrossRef]
- Confederación Hidrográfica del Guadalquivir. Plan Hidrológico de la Demarcación Hidrográfica del Guadalquivir. Available online: http://www.chguadalquivir.es (accessed on 15 June 2015).
- Gasith, A.; Resh, V.H. Streams in Mediterranean climate regions: Abiotic influences and biotic responses to predictable seasonal events. Annu. Rev. Ecol. Syst. 1999, 30, 51–81. [Google Scholar] [CrossRef]
- Navarro, G.; Huertas, I.E.; Costas, E.; Flecha, S.; Díez-Minguito, M.; Caballero, I.; López-Rodas, V.; Prieto, L.; Ruiz, J. Use of a real-time remote monitoring network (RTRM) to characterize the Guadalquivir estuary (Spain). Sensors 2012, 12, 1398–1421. [Google Scholar] [CrossRef]
- Rodríguez Díaz, J.A.; Weatherhead, E.K.; Knox, J.W.; Camacho, E. Climate change impacts on irrigation water requirements in the Guadalquivir river basin in Spain. Reg. Environ. Change 2007, 7, 149–159. [Google Scholar] [CrossRef]
- Clavero, M.; Blanco-Garrido, F.; Prenda, J. Fish fauna in Iberian Mediterranean river basins: Biodiversity, introduced species and damming impacts. Aquat. Conserv. 2004, 14, 575–585. [Google Scholar] [CrossRef]
- Bhat, A.; Blomquist, W. Policy, politics, and water management in the Guadalquivir River Basin, Spain. Water Resour. Res. 2004, 40, 22. [Google Scholar] [CrossRef]
- Ruiz, J.; Losada, M.A.; Polo, M.J.; García, J. Propuesta Metodológica Para Diagnosticar y Pronosticar las Consecuencias de las Actuaciones Humanas en el Estuario del Guadalquivir; Informe Técnico; Instituto de Ciencias Marinas de Andalucía, Consejo Superior de Investigaciones Científicas; Grupo de Dinámica de Flujos Ambientales, Centro Andaluz de Medio Ambiente—Universidad de Granada; Grupo de Dinámica Fluvial e Hidrología, Universidad de Córdoba; Grupo Albiotox, Universidad Complutense: Puerto de Sevilla, Spain, 2010. [Google Scholar]
- González-Ortegón, E.; Subida, M.D.; Cuesta, J.A.; Arias, A.M.; Fernández-Delgado, C.; Drake, P. The impact of extreme turbidity events on the nursery function of a temperate European estuary with regulated freshwater inflow. Estuar. Coast. Shelf Sci. 2010, 87, 311–324. [Google Scholar] [CrossRef]
- Díaz, M.; Campos, P.; Pulido, F.J. The Spanish dehesas: A diversity of land use and wildlife. In Farming and Birds in Europe: The Common Agricultural Policy and Its Implications for Bird Conservation; Pain, D., Pienkowski, M., Eds.; Academic Press: London, UK, 1997; pp. 178–209. [Google Scholar]
- Argüelles, A.; Berbel, J.; Gutiérrez, C. La evolución de la Cuenca del Guadalquivir (España). Rev. Obras Públicas 2012, 3537, 51–64. [Google Scholar]
- Confederación Hidrográfica del Guadalquivir. 2015b: Geoportal/Descargas/Embalses. Available online: http://idechg.chguadalquivir.es/geoportal/es/servicios/descargas.html?selectorFromDBProduct=Embalses (accessed on 15 June 2015).
- Cruz Villalón, J. La intervención del hombre en la ría y marismas del Guadalquivir. Eria Rev. Cuatrimest. Del Geogr. 1988, 16, 109–123, ISSN 0211-0563. [Google Scholar]
- Heggenes, J.; Brabrand, C.; Saltveit, S.J. Comparison of three methods for studies of stream habitat use by young brown trout and Atlantic salmon. Trans. Am. Fish. Soc. 1990, 119, 101–111. [Google Scholar] [CrossRef]
- Reynolds, J.B. Electrofishing. In Fisheries Techniques, 2nd ed.; Murphy, B.R., Willis, D.W., Eds.; American Fisheries Society: Bethesda, MD, USA, 1996; pp. 221–253. [Google Scholar]
- Bunt, C.; Cooke, S.J.; McKinley, R.S. Creation and maintenance of habitat downstream from a weir for the greenside darter (Etheostoma blenniodes) a rare fish in Canada. Environ. Biol. Fishes 1998, 51, 297–308. [Google Scholar] [CrossRef]
- Clavero, M.; Blanco-Garrido, F.; Prenda, J. Monitoring small fish populations in streams: A comparison of four passive methods. Fish. Res. 2006, 78, 243–251. [Google Scholar] [CrossRef]
- Leunda, P.M.; Elvira, B.; Ribeiro, F.; Miranda, R.; Oscoz, J.; Alves, M.J.; Collares-Pereira, M.J. International standardization of common names for Iberian endemic freshwater fishes. Limnetica 2009, 28, 189–202. [Google Scholar] [CrossRef]
- Moreno, C.E. Methods to Measure Biodiversity; M&T—Manuales y Tesis SEA: Zaragoza, Spain, 2001; Volume 1, 84p, Available online: http://entomologia.rediris.es/sea/manytes/metodos.pdf (accessed on 15 August 2022).
- IBM Corp. IBM SPSS Statistics for Windows, version 21.0; IBM Corp: Armonk, NY, USA, 2012. [Google Scholar]
- Hammer, O.; Harper, D.A.T.; Ryan, P.D. PAST: Paleontological Statistics software package for education and data analysis. Palaentolog. Electron. 2001, 4, 9. [Google Scholar]
- Clavero, M.; Villero, D. Historical ecology and invasion biology: Long-term distribution changes of introduced freshwater species. BioScience 2013, 64, 145–153. [Google Scholar] [CrossRef]
- Granado-Lorencio, C.; Hernando, J.A. Espinoso—Gasterosteus gymnurus. In Libro Rojo de los Vertebrados de Andalucía; Franco, A., Rodríguez, M., Eds.; Consejería de Medio Ambiente, Junta de Andalucía: Spain, 2001. [Google Scholar]
- Doadrio, I.; Carmona, J.A.; Fernández-Delgado, C. Morphometric study of the Iberian Aphanius (Actinopterygii, Cyprinodontiformes), with description of a new species. Folia Zool.-Praha 2002, 51, 67–79. [Google Scholar]
- Doadrio, I.; Carmona, J.A. A new species of the genus Chondrostoma Agassiz, 1832 (Actinopterygii, Cyprinidae) from the Iberian Peninsula. Graellsia 2003, 59, 29–36. [Google Scholar] [CrossRef]
- De Miguel, R.; Pino, E.; Ramiro, A.; Aranda, F.; De la Peña, J.P.; Doadrio, I.; Fernández-Delgado, C. On the occurrence of Anaecypris hispanica, an extremely endangered Iberian endemism, in the Guadalquivir River basin. J. Fish. Biol. 2010, 76, 1454–1465. [Google Scholar] [CrossRef] [PubMed]
- Gutiérrez-Estrada, J.C.; Prenda, J.; Oliva, F.; Fernández-Delgado, C. Distribution and hábitat Preferences of the Introduced Mummichog Fundulus heteroclitus (Linneaus) in South-western Spain. Estuar. Coast. Shelf Sci. 1998, 46, 827–835. [Google Scholar] [CrossRef]
- García de Lomas, J.; Dana, E.D.; López Santiago, J.; González, R.; Ceballos, G.; Ortega, F. First record of the North American black bullhead Ameiurus melas (Rafinesque, 1820) in the Guadalquivir Estuary (Southern Spain). Aquat. Invasions 2009, 4, 719–723. [Google Scholar] [CrossRef]
- Moreno-Valcárcel, R.; De Miguel, R.J.; Fernández-Delgado, C. The first record of the European catfish Silurus glanis Linnaeus, 1758 in the Guadalquivir River basin. Limnetica 2013, 32, 23–26. [Google Scholar] [CrossRef]
- Garrido-Ramos, M.A.; Soriguer, M.C.; de la Herrán, R.; Jamilena, M.; Ruíz Tejón, C.; Domezain, A.; Hernando, J.A.; Ruíz Rejón, M. Morphometric and genetic analysis as proof of the existence of two sturgeon species in the Guadalquivir river. Mar. Biol. 1997, 129, 33–39. [Google Scholar] [CrossRef]
- Doukakis, P.; Birstein, V.J.; DeSalle, R.; Ludwig, A.N.; Ludwig, A.; Machordom, A.; Almodóvar, A.; Elvira, B. Failure to confirm previous identification of two putative museum specimens of the Atlantic sturgeon, Acipenser sturio, as the Adriatic sturgeon, A. naccarii. Mar. Biol. 2000, 136, 373–377. [Google Scholar] [CrossRef]
- De la Herrán, R.; Robles, F.; Martínez-Espín, E.; Lorente, J.A.; Ruiz Rejón, C.; Garrido-Ramos, M.A.; Ruiz Rejón, M. Genetic identification of western sturgeons and its implication for conservation. Conserv. Genet. 2004, 5, 545–551. [Google Scholar] [CrossRef]
- Mateus, C.S.; Rodríguez-Muñoz, R.; Quintella, B.R.; Alves, M.J.; Almeida, P.R. Lampreys of the Iberian Peninsula: Distribution, population status and conservation. Endanger. Species Res. 2012, 16, 183–198. [Google Scholar] [CrossRef]
- Elvira, B.; Almodóvar, E. A morphological study of native sturgeon Acipenser sturio in Spain, and recent records of exotic Siberian sturgeon A. baerii. J. Appl. Ichthyol. 1999, 15, 278–279. [Google Scholar]
- Almaça, C.; Elvira, B. Past and present distribution of Acipenser sturio L., 1758 on the Iberian Peninsula. Bol. Inst. Esp. Oceanogr. 2000, 16, 11–16. [Google Scholar]
- Lozano Rey, L. Los Peces Fluviales de España; Academia de Ciencias Exactas, Físicas y Naturales: Madrid, Spain, 1935. [Google Scholar]
- Arias García, A.M. Macrofauna acuática. In Propuesta Metodológica Para Diagnosticar y Pronosticar las Consecuencias de las Actuaciones Humanas en el Estuario del Guadalquivir; Ruiz, J., Losada, M.A., Polo, M.J., García, J., Eds.; Informe técnico; Instituto de Ciencias Marinas de Andalucía (CSIC), Grupo de Dinámica de Flujos Ambientales (Centro Andaluz de Medio Ambiente—Universidad de Granada), Grupo de Dinámica Fluvial e Hidrología (Universidad de Córdoba), Grupo Albiotox (Universidad Complutense): Puerto de Sevilla, Spain, 2010. [Google Scholar]
- Doadrio, I. Descripción de un nuevo género y de una nueva especie Iberocypris palaciosi n. gen. n. sp. (Pisces, Cyprinidae). Doñana Acta Vertebr. 1980, 7, 5–16. [Google Scholar]
- Hernando, J.A. Notas sobre la distribución de los peces fluviales en el suroeste de España. Doñana Acta Vertebr. 1975, 2, 263–264. [Google Scholar]
- Fernández-Delgado, C.; Rincón, P.A.; Gálvez-Bravo, L.; De Miguel, R.J.; Oliva-Paterna, F.J.; Moreno-Valcárcel, R.; Pino, E.; Ramiro, A.; Peña, J.P. Distribución y Estado de Conservación de los Peces Dulceacuícolas del río Guadalquivir. Principales Áreas Fluviales para su Conservación; Ministerio de Agricultura, Alimentación y Medio Ambiente: Madrid, Spain, 2014; 275p.
- Fernandez-Delgado, C.; Hernando, J.A.; Herrera, M.; Bellido, M. Sobre el status taxonómico del genero Valencia Myers, 1928 en el suroeste de Iberia. Donana Acta Vertebr. 1986, 13, 161–163. [Google Scholar]
- Puentes, P.S. Peces de acuario en el Guadalquivir. El óscar tigre, nuevo en estas aguas. Trofeo Pesca 1996, 46, 96. [Google Scholar]
- Elvira, B. Pirañas en nuestras aguas. Trofeo Pesca 2004, 134, 182–183. [Google Scholar]
- Flórez, A. La piraña era Pacus. ABC Sevilla, 22 July 2007; p. 38. [Google Scholar]
- García-Novo, F.; Martín-Vicente, A.; Toja-Santillana, J. La Frontera de Doñana; Universidad de Sevilla: Sevilla, Spain, 2007. [Google Scholar]
- Elvira, B. Native and exotic freshwater fishes in Spanish river basins. Freshw. Biol. 1995, 33, 103–108. [Google Scholar] [CrossRef]
- Hernando, J.A.; Soriguer, M.C. Biogeography of the freshwater fish of the Iberian Peninsula. Limnetica 1992, 8, 243–253. [Google Scholar] [CrossRef]
- Nicola, G.G.; Elvira, B.; Almodóvar, A. Dams and fish passage facilities in the large rivers of Spain: Effects on migratory species. Arch. Hydrobiol. 1996, 113, 375–379. [Google Scholar] [CrossRef]
- Clavero, M.; Hermoso, V. Reservoirs promote the taxonomic homogenization of fish communities within river basins. Biodivers Conserv. 2011, 20, 41–57. [Google Scholar] [CrossRef]
- Menanteau, L. Les Marismas du Guadalquivir: Example de Transformation d’un Paysage Alluvial au Cours du Quaternaire recient. Ph.D. Thesis, University of Paris-Sorbone, París, France, 1982. [Google Scholar]
- Menanteau, L. Evolución histórica y consecuencias morfológicas de la intervención humana en las zonas húmedas: El caso de las marismas del Guadalquivir. In Monografías de la Dirección General del Medio Ambiente; Las zonas húmedas en Andalucía; Ministerio de Obras Públicas y Urbanismo: Madrid, Spain, 1984. [Google Scholar]
- Almança, E.C. La speciation chez les Cyprinidae de la Péninsule ibérique. Rev. Trav. L’institut Pêches Marit. 1976, 40, 399–411. [Google Scholar]
- Sheldon, A.L. Species diversity and longitudinal succession in stream fishes. Ecology 1968, 49, 193–198. [Google Scholar] [CrossRef]
- Horwitz, R.J. Temporal variability patterns and the distribution patterns of stream fishes. Ecol. Monogr. 1978, 48, 307–321. [Google Scholar] [CrossRef]
- Reeves, G.H.; Bisson, P.A.; Dambacher, J.M. Fish communities. In River Ecology and Management: Lessons from the Pacific Coastal Ecoregion; Naiman, R.J., Bilby, R.E., Eds.; Springer: New York, NY, USA, 1988. [Google Scholar]
- Aparicio, E.; Vargas, M.J.; Olmo, J.M.; de Sostoa, A. Decline of native freshwater fishes in a Mediterranean watershed on the Iberian peninsula: A quantitative assessment. Environ. Biol. Fishes 2000, 59, 11–19. [Google Scholar] [CrossRef]
- Corbacho, C.; Sanchez, J.M. Patterns of species richness and introduced species in native freshwater fish faunas of a Mediterranean-type basin: The Guadiana river (Southwest Iberian Peninsula). Regul. River 2001, 17, 699–707. [Google Scholar] [CrossRef]
- Hughes, M.; Gammon, J.R. Longitudinal changes in fish assemblages and water quality in the Willamette River, Oregon. Trans. Am. Fish. Soc. 1987, 116, 196–209. [Google Scholar] [CrossRef]
- Huston, M.A. Biological Diversity: The Coexistence of Species on Changing Landscapes; Cambridge University Press: Cambridge, UK, 1994. [Google Scholar]
- Levine, J.M.; D’Antonio, C.M. Elton revised: A review of evidence linking diversity and invasibility. Oikos 1999, 87, 15–26. [Google Scholar] [CrossRef]
- McArthur, R.H. Species-packing and competitive equilibrium for many species. Theor. Popul. Biol. 1970, 1, 1–11. [Google Scholar] [CrossRef]
- McArthur, R.H. Geographical Ecology: Patterns in the Distribution of Species; Harper and Row: New York, NY, USA, 1972. [Google Scholar]
- Case, T.J. Invasion resistance, species build-up and community collapse in metapopulation models with inter-species competition. Biol. J. Linn. Soc. 1991, 42, 239–266. [Google Scholar] [CrossRef]
- Hermoso, V.; Blanco-Garrido, F.; Prenda, J. Spatial distribution of exotic fish species in the Guadiana river basin, with two new records. Limnetica 2008, 27, 189–194. [Google Scholar] [CrossRef]
- Rahel, F.J. Homogenization of freshwater faunas. Annual. Rev. Ecol. Syst. 2002, 33, 291–315. [Google Scholar] [CrossRef]
- Martínez, P.J.; Chart, T.E.; Trammel, M.A.; Wullschlegef, J.G.; Bergersen, E.P. Fish species composition before and after construction of a main stem reservoir on the White River, Colorado. Environ. Biol. Fishes 1994, 40, 227–239. [Google Scholar] [CrossRef]
- Saunders, D.L.; Meeuwing, J.J.; Vincent, C.J. Freshwater protected areas: Strategies for conservation. Conserv. Biol. 2002, 16, 30–41. [Google Scholar] [CrossRef]
- Elvira, B.; Almodóvar, A. Freshwater fish introductions in Spain: Facts and figures at the beginning of the 21st century. J. Fish Biol. 2001, 59, 323–331. [Google Scholar] [CrossRef]
- Vinyoles, D.; Robalo, J.I.; de Sostoa, A.; Almodovar, A.; Elvira, B.; Nicola, G.G.; Fernández-Delgado, C.; Santos, C.S.; Doadrio, I.; Sarda-Palomeral, F.; et al. Spread of the alien bleak Alburnus alburnus (linnaeus, 1758) (Actinopterygii, Cyprinidae) in the Iberian Peninsula: The role of reservoirs. Graellsia 2007, 61, 101–110. [Google Scholar] [CrossRef]
- Copp, G.H.; Britton, R.; Cucherousset, J.; García-Berthou, E.; Kirk, R.; Peeler, E.; Stakènas, S. Voracious invader or benign feline? A review of the environmental biology of European catfish Silurus glanis in its native and introduced ranges. Fish Fish. 2009, 10, 252–282. [Google Scholar] [CrossRef]
- Hermoso, V.; Clavero, M.; Blanco-Garrido, F.; Prenda, J. Assessing freshwater fish sensivity to different sources of perturbation in a Mediterranean basin. Ecol. Freshw. Fish 2008, 18, 269–281. [Google Scholar] [CrossRef]
- Blanco-Garrido, F.; Clavero, M.; Prenda, J. Jarabugo (Anaecypris hispanica) and freshwater blenny (Salaria fluviatilis): Habitat preferences and relationship with exotic fish species in the middle Guadiana basin. Limnetica 2009, 28, 139–148. [Google Scholar] [CrossRef]
- Granado-Lorencio, C. Barbo comizo—Barbus comiza. In Libro Rojo de los Vertebrados de Andalucía; Franco, A., Rodríguez, M., Eds.; Consejería de Medio Ambiente, Junta de Andalucía: Spain, 2001. [Google Scholar]
- Limburg, K.E.; Waldman, J.R. Dramatic declines in north Atlantic diadromous fishes. Bioscience 2009, 59, 955–965. [Google Scholar] [CrossRef]
- Stanley, E.H.; Doyle, M.W. Trading off: The ecological effects of dam removal. Front. Ecol. Environ. 2003, 1, 15–22. [Google Scholar] [CrossRef]
- Fernández-Pasquier, V. Acipenser sturio L. in the Guadalquivir river, Spain. Water regulation and fishery as factors in stock decline from 1932 to 1967. J. Appl. Ichthyol. 1999, 15, 133–135. [Google Scholar] [CrossRef]
- Ramos-Merchante, A.; Prenda, J. The ecological and conservation status of the Guadalquivir River Basin (s Spain) through the application of a fish-based multimetric index. Ecol. Indic. 2018, 84, 45–59. [Google Scholar] [CrossRef]
- Pérez Pavón, M.J.; Paracuellos, M.; López Santiago, J.; Sigilló, N.; Garrido, J.R.; Martos, M.J.; Nevado, J.C. Salinete y fartet emblemas de la ictiofauna ibérica. Quercus 2012, 316, 28–36. [Google Scholar]
- Larios-López, J.E.; Tierno de Figueroa, J.M.; Alonso-Gonzáles, C.; Nebot Sanz, B. Distribution of brown trout (Salmo trutta Linnaeus, 1758) (Teleostei: Salmonidae) in its southwesternmost European limit: Possible causes. Ital. J. Zool. 2015, 82, 404–415. [Google Scholar] [CrossRef][Green Version]
- Cowx, I.G.; Collares-Pereira, M.J. Conservation of endangered fish species in the face of water resource development schemes in the Guadiana river, Portugal: Harmony of the incompatible. In Management and Ecology of River Fisheries; Cowx, I.G., Ed.; Fishing News Books, Blackwell Science, Oxford: London, UK, 2000; pp. 428–438. [Google Scholar]
- Doadrio, I.; Carmona, J.A. Pardilla oretana—Iberochondrostoma oretanum. In Enciclopedia Virtual de los Vertebrados Españoles; Salvador, A., Elvira, B., Eds.; Museo Nacional de Ciencias Naturales: Madrid, Spain, 2014; Available online: http://www.vertebradosibericos.org/ (accessed on 15 August 2022).





| Count | hm3/year | km2 | % | |
|---|---|---|---|---|
| Environmental information | ||||
| Human population (nº inhabitants) | 4,141,635 | |||
| Municipality (nº) | 429 | |||
| Annual average rainfall (mm) (1942–2005) | 561 | |||
| Annual average contribution | 7043 | |||
| Average net provision (m3/ha/year) | 2906 | |||
| Olive water demand (m3/ha/year) | 1500 | |||
| Environmental quality (nº water mass) | ||||
| Good or moderate ecological status | 252 | 56.9 | ||
| Poor or bad ecological status | 191 | 43.1 | ||
| Chemical status (nº water mass) | ||||
| Good chemical status | 46.1 | |||
| Bad chemical status | 53.9 | |||
| Nº pollution discharges | 1719 | |||
| Water use | ||||
| Supply | 436.41 | 10.9 | ||
| Industry | 36.26 | 0.9 | ||
| Agriculture | 3504.06 | 87.4 | ||
| Energy | 31 | 0.8 | ||
| Land use | ||||
| Irrigated crops | 8460 | 14.7 | ||
| Rainfed cultivation | 24,000 | 41.8 | ||
| Forests | 7140 | 12.4 | ||
| Scrublands | 10,000 | 17.4 | ||
| Dehesas * | 4000 | 7.0 | ||
| Grasslands | 1400 | 2.4 | ||
| Bare or sparsely vegetated land | 829 | 1.4 | ||
| Water (lagoons, marshes, reservoirs, etc.) | 880 | 1.5 | ||
| Unproductive soil (urban áreas, roads, etc.) | 730 | 1.3 |
| Family | Iberian Peninsula | Guadalquivir | |
|---|---|---|---|
| Native | Petromyzontidae | 6 | 1 (16.7) |
| Acipenseridae | 1 | 1 (100) | |
| Clupeidae | 2 | 2 (100) | |
| Anguillidae | 1 | 1 (100) | |
| Salmonidae | 2 | 1 (50) | |
| Cyprinidae | 37 | 8 (21.6) | |
| Cobitidae | 3 | 1 (33.3) | |
| Nemacheilidae | 1 | 0 (0) | |
| Cyprinodontidae | 2 | 1 (50) | |
| Valenciidae | 1 | 0 (0) | |
| Atherinidae | 1 | 1 (100) | |
| Gasterosteidae | 1 | 1 (100) | |
| Cottidae | 2 | 0 (0) | |
| Blenniidae | 1 | 1 (100) | |
| TOTAL | 61 | 19 (31.1) | |
| Introduced | Salmonidae | 4 | 1 (25.0) |
| Esocidae | 1 | 1 (100) | |
| Cyprinidae | 11 * | 6 (54.5) | |
| Cobitidae | 1 | 0 (0) | |
| Nemacheilidae | 1 | 0 (0) | |
| Ictaluridae | 2 | 1 (50) | |
| Siluridae | 1 | 1 (100) | |
| Cyprinodontidae | 1 | 0 (0) | |
| Fundulidae | 1 | 1 (100) | |
| Poeciliidae | 3 | 1 (33.3) | |
| Cichlidae | 1 | 1 (100) | |
| Centrarchidae | 2 | 2 (100) | |
| Percidae | 2 | 0 (0) | |
| TOTAL | 31 | 15 (48.4) |
| Family | Species | IUCN (2022) | RBSF (2001) | Prevalence (%) (n = 285) | |
|---|---|---|---|---|---|
| Native | Anguillidae | Anguilla anguilla | CR | VU | 0.7 |
| Salmonidae | Salmo trutta | LC | VU | 11.9 | |
| Cyprinidae | Luciobarbus sclateri | LC | LC | 58.6 | |
| Iberochondrostoma lemmingii | VU | VU | 2.1 | ||
| Pseudochondrostoma willkommii | VU | VU | 22.8 | ||
| Squalius alburnoides | VU | VU | 15.8 | ||
| Squalius pyrenaicus | - | VU | 8.1 | ||
| Cobitidae | Cobitis paludica | VU | VU | 15.4 | |
| Atherinidae | Atherina boyeri | LC | VU | 1.8 | |
| TOTAL | 76.5 | ||||
| Introduced | Salmonidae | Oncorhynchus mykiss | 1.8 | ||
| Cyprinidae | Alburnus alburnus | 8.1 | |||
| Carassius auratus | 3.5 | ||||
| Cyprinus carpio | 22.1 | ||||
| Gobio lozanoi | 0.4 | ||||
| Phoxinus spp. | 0.4 | ||||
| Poeciliidae | Gambusia holbrooki | 16.1 | |||
| Centrarchidae | Lepomis gibbosus | 18.6 | |||
| Micropterus salmoides | 23.5 | ||||
| TOTAL | 42.1 |
Publisher’s Note: MDPI stays neutral with regard to jurisdictional claims in published maps and institutional affiliations. |
© 2022 by the authors. Licensee MDPI, Basel, Switzerland. This article is an open access article distributed under the terms and conditions of the Creative Commons Attribution (CC BY) license (https://creativecommons.org/licenses/by/4.0/).
Share and Cite
Sáez-Gómez, P.; Prenda, J. Freshwater Fish Biodiversity in a Large Mediterranean Basin (Guadalquivir River, S Spain): Patterns, Threats, Status and Conservation. Diversity 2022, 14, 831. https://doi.org/10.3390/d14100831
Sáez-Gómez P, Prenda J. Freshwater Fish Biodiversity in a Large Mediterranean Basin (Guadalquivir River, S Spain): Patterns, Threats, Status and Conservation. Diversity. 2022; 14(10):831. https://doi.org/10.3390/d14100831
Chicago/Turabian StyleSáez-Gómez, Pedro, and José Prenda. 2022. "Freshwater Fish Biodiversity in a Large Mediterranean Basin (Guadalquivir River, S Spain): Patterns, Threats, Status and Conservation" Diversity 14, no. 10: 831. https://doi.org/10.3390/d14100831
APA StyleSáez-Gómez, P., & Prenda, J. (2022). Freshwater Fish Biodiversity in a Large Mediterranean Basin (Guadalquivir River, S Spain): Patterns, Threats, Status and Conservation. Diversity, 14(10), 831. https://doi.org/10.3390/d14100831

